RESEARCH/REVIEW ARTICLE

Elevation and volume changes of seven Dickson Land glaciers, Svalbard, 1960–1990–2009

Jakub Małecki1,2,3

1 Institute of Geoecology and Geoinformation, Adam Mickiewicz University, ul. Dzięgielowa 27, PL-61-680 Poznań, Poland
2 Department of Arctic Geology, University Centre in Svalbard, NO-9171 Longyearbyen, Norway
3 Department of Geosciences, University of Oslo, P.O. Box 1047 Blindern, NO-0316 Oslo, Norway

Abstract

Melting Svalbard glaciers have been recognized as an early indicator of climate change. Large parts of Svalbard remain insufficiently investigated, including Dickson Land, in the quasi-continental interior of Svalbard. In this study, elevation and volume changes of seven glaciers located in the Pyramiden region are assessed by analysing contour lines from 1960 topographic maps and photogrammetrically derived 1990 and 2009 digital elevation models. Mass loss was documented for all seven glaciers. In the period 1960–1990, their average elevation change rate was −0.49 m a−1, while in the more recent period, 1990–2009, it was more negative at −0.78 m a−1, caused by a significant equilibrium line altitude shift with post-1990 rise in summer temperatures. Large variation in elevation change rates between individual glaciers was found and is attributed mainly to aspect and hypsometry. This highlights the importance of choosing a representative sample when investigating mass balance of whole regions. Evidence of a rapid increase in thinning rates in the upper parts of the studied glaciers, linked to decreasing albedo in former accumulation zones, was also found.

Keywords
Central Svalbard; Dickson Land; Pyramiden; glacier thinning; geometry changes; glacier volume.

Correspondence
Jakub Małecki, Institute of Geoecology and Geoinformation, Adam Mickiewicz University, ul. Dzięgielowa 27, PL-61-680 Poznań, Poland. E-mail: malecki.jk@gmail.com

(Published: 8 October 2013)

Polar Research 2013. © 2013 J. Małecki. This is an open-access article distributed under the terms of the Creative Commons Attribution-Noncommercial 3.0 Unported License (http://creativecommons.org/licenses/by-nc/3.0/), permitting all non-commercial use, distribution, and reproduction in any medium, provided the original work is properly cited.

Citation: Polar Research 2013, 32, 18400, http://dx.doi.org/10.3402/polar.v32i0.18400

 

Melting land ice masses release fresh water back to the hydrosphere to contribute to sea-level rise (SLR), which has been recognized as one of the most important impacts of climate change on the global environment (Symon et al. 2005). Mean SLR rate has been estimated as 2.1 mm a−1, averaged over the last five decades (Church et al. 2011), increasing to ca. 3.1 mm a−1 over the last 20 years, largely due to enhanced ice melt (Kaser et al. 2006; Meier et al. 2007). The cryospheric input contributes about half of the current total annual sea-level change (Cazenave et al. 2009), with a significant portion (ca. 60%; Meier et al. 2007) originating from “small” ice bodies (i.e., not the Greenland and Antarctic ice sheets). It is predicted that small glaciers and ice caps will remain important SLR-contributors throughout the 21st century, making the observation of the world’s cryosphere and ocean level a top scientific priority (Kaser et al. 2006; Meier et al. 2007; Radić & Hock 2011).

Mass change of glaciers is traditionally measured at stakes distributed on their surface, often along centre-lines. As shown in previous work (e.g., Soruco et al. 2009; Barrand et al. 2010), this approach, called the glaciological method, introduces errors associated with data extrapolation from points to whole glaciers or regions. Alternatively, in the so-called geodetic method, maps or digital elevation models (DEMs) from different epochs are compared to provide insight into glacier mass change measurement without the need for data extrapolation (e.g., Finsterwalder 1954; Echelmeyer 1996; Andreassen et al. 2002; Cox & March 2004). In general, the geodetic method is considered to be more reliable over longer periods, while the glaciological method is better suited for investigating interannual mass balance variability (Andreassen 1999; Elsberg et al. 2001; Cox & March 2004).

Geometric changes of glaciers reflect their state and response to variable climate (Paterson 1994). By analysing the surface elevation variations, one may measure volume change and mass balance of a given glacier. New research tools and recent advances in research methods in glaciology have led to an increase in geometry and volume change data (e.g., elevation products from the LIDAR and ICESat satellites and gravimetry products from the GRACE satellite), significantly improving global estimates of potential SLR (e.g., Velicogna 2009; Nuth et al. 2010; Rignot et al. 2011; James et al. 2012).

An important repository of Arctic glaciers is the archipelago of Svalbard, with its 34.6 · 103 km2 of glacier cover (Moholdt et al. 2010), representing approximately 15% of the glaciated area in the Arctic islands (Dyurgerov & Meier 1997). The greatest glacier cover is along the coasts of Spitsbergen, Svalbard’s largest island, and on the larger eastern islands, which are covered with extensive ice caps. Since about 1920, Svalbard glaciers have been retreating from their Little Ice Age maximum moraines (Nørdli & Kohler 2003). Several studies have attempted to estimate Svalbard-wide mass balance, using different methods (Dowdeswell et al. 1997; Hagen, Kohler et al. 2003; Hagen, Melvold et al. 2003; Nuth et al. 2007; Moholdt et al. 2010). All indicate mass loss, varying from −0.12 m w.eq. a−1 (water equivalent per year; Hagen, Kohler et al. 2003) to −0.55 m w.eq. a−1 (Dowdeswell et al. 1997). The most recent estimate of −0.19 m w.eq. a−1 (including calving) corresponds to about 1% of global cryospheric SLR contribution (0.013 mm a−1 for 2003–08; Moholdt et al. 2010). Individual small glaciers in Svalbard (<100 km2) have been observed for several decades and reveal a clear trend of mass loss (e.g., Jania & Hagen 1996; Kohler et al. 2007; Nuth et al. 2007; Sobota 2007, 2011; Kääb 2008; Barrand et al. 2010; Nuth et al. 2010; James et al. 2012). High elevation ice caps and ice fields are generally closer to zero balance, or even a slight positive balance, such as the Austfonna ice cap (Hagen, Kohler et al. 2003; Hagen, Melvold et al. 2003; Bamber et al. 2004; Moholdt et al. 2010, Nuth et al. 2010). However, less is known about ice masses and their response to climate change in the archipelago’s interior, which is characterized by low precipitation and high summer temperature compared to the coastal areas.

Dickson Land (1.5·103 km2), situated the furthest from maritime influence, is covered with ice only in 14%, while glacier-cover of Svalbard as a whole is four times higher (Hagen et al. 1993). According to a new inventory of the region’s glaciers (Małecki, unpubl. ms.), the total area of Dickson Land ice masses is about 200 km2 and contains a significant number (ca. 130) of glaciers and permanent ice patches, which have been not been explicitly included in Svalbard mass balance estimates due to prior lack of data. This paper presents elevation and volume change data for seven glaciers in the Pyramiden region over two periods, 1960–1990 and 1990–2009.

Study area

The studied glaciers include Bertilbreen (BLB), Svenbreen (SVB), Vestre Muninbreen (VMB), Austre Muninbreen (AMB), Ferdinandbreen (FDB), Elsabreen (ELB) and an unnamed glacier known as 16 819 in the Svalbard database (Hagen et al. 1993) and called No Namebreen (NNB) in this study (Fig. 1). All are situated in the Billefjorden and Austfjorden basins of Dickson Land, some kilometres north of the abandoned Russian mining town of Pyramiden. The mean annual temperature at Svalbard Airport, 50 km south of Pyramiden, is −5.1°C, and the mean summer (June–August) temperature is 4.9°C, as measured by the Norwegian Meteorological Institute in the period 1981–2010. Meteorological investigations in the study area have shown that summers are similarly warm to those at Svalbard Airport or even warmer (Rachlewicz 2003, 2009a, b; Przybylak et al. 2006; Przybylak et al. 2007; Rachlewicz & Styszyńska 2007; Láska et al. 2012), and according to Korjakin et al. (1985), it is the warmest region in Spitsbergen in the summer months. Previous investigations of glaciers in this region were concerned with their geomorphological impact on the landscape (e.g., Karczewski 1989; Kostrzewski et al. 1989; Gibas et al. 2005; Rachlewicz 2009a, b; Szuman & Kasprzak 2010; Ewertowski et al. 2010, 2012; Evans et al. 2012), although Soviet scientists performed detailed glaciological work on BLB in the 1970s and 1980s (e.g., Gohman et al. 1982; Žuravlev et al. 1983; Gokhman & Khodakov 1986; Gokhman 1987; Troicki 1988).

Fig 1
Fig. 1  Location of the studied glaciers. Glacier names are abbreviated as follows: Bertilbreen (BLB), Svenbreen (SVB), Vestre Muninbreen (VMB), Austre Muninbreen (AMB), Ferdinandbreen (FDB), Elsabreen (ELB) and an unnamed glacier referred to as NNB in this study.

The studied glaciers represent different sizes, types, aspects and elevation range (Table 1, Fig. 1). All of them have been continuously retreating since the termination of Little Ice Age, at sometime around 1920 (Rachlewicz et al. 2007). Radar soundings on the two largest glaciers, BLB and SVB (both ca. 4 km2), show that they are relatively shallow, with maximum depth not exceeding 150 m, and that they are mostly cold, with limited zones of temperate ice in their deeper sections (Žuravlev et al. 1983; Małecki 2013). VMB and AMB may have similar thermal structure due to their size, while the other ice masses, NNB, FDB and ELB, are most likely entirely cold, as they are relatively small and probably too shallow to have any temperate ice. The thermal regime of the studied glaciers influences their dynamic activity, recognized by Hagen et al. (2005) as a crucial element in understanding elevation changes. Direct measurements performed on BLB and SVB indicate maximum flow velocities on the order of only 2–3 m a−1, (Mavlyudov 2010; Małecki 2013) and none of the studied glaciers are known to surge. Therefore, overall dynamically driven elevation changes are assumed to be small compared to those driven by climate, for the study period (Nuth et al. 2007; James et al. 2012).


Table 1 The studied glaciers and their 1990 geometry properties. Glacier names are abbreviated as follows: Bertilbreen (BLB), Svenbreen (SVB), Vestre Muninbreen (VMB), Austre Muninbreen (AMB), Ferdinandbreen (FDB), Elsabreen (ELB) and an unnamed glacier referred to as NNB in this study.
  BLB SVB VMB AMB NNB FDB ELB
Area (km2) 4.36 3.98 3.62 2.54 1.34 1.17 0.50
Min elevation (m) 130 170 220 240 250 240 240
Median elevation (m) 490 475 445 490 430 430 470
Max elevation (m) 740 780 780 760 550 665 695
Mean slope (deg) 9 10 9 11 9 14 20
General aspect S E S SW NE E N
Type characteristic Simple valley glacier, single accumulation basin Complex valley glacier, multiple accumulation basins Simple valley glacier, single accumulation basin, confluent with AMB Complex valley glacier, two accumulation basins, confluent with VMB Cirque glacier Cirque/outlet glacier fed from BLB Cirque glacier

Data

The 1960 glacier geometry was taken from a 1:100 000 topographic map by the Norwegian Polar Institute (NPI), constructed from 1:50 000 vertical aerial images (Norwegian Polar Institute 1988). Contour lines of 50 m vertical interval were digitized by and obtained from the NPI. In 1990In 1990a similar NPI photogrammetric survey was carried out over the study area, with images obtained at a scale of 1:15 000. From these photographs, the NPI created a DEM with 20 m resolution. The most recent survey took place in 2009. Digital images taken by the NPI with ground resolution of about 0.5 m were used to generate a new DEM by Strzelecki (2013). However, about 5% of the 1990 area of VMB is missing, in the lateral part close to the front, because of incomplete photographic coverage. Therefore, elevation change in this area is interpolated from the neighbouring surveyed zone to obtain a full-coverage map of the 1990–2009 elevation variations for VMB. DEM resolution is 20 m for most of the studied ice masses, but 8 m resolution for BLB and FDB. To check for potential misalignments of the available data, a universal co-registration correction was used, as described in detail by Nuth & Kääb (2011). The data sets were iteratively aligned to the 1990 DEM until the computed misalignments in x, y and z directions were lower than 0.2 m.

Methods

Kääb (2008) and Nuth et al. (2010) demonstrate that even though the vertical resolution of 1960s–1970s maps is relatively low, they may be successfully used for glaciological analysis of large (80–260 km2) ice caps or for comparably sized regions. Here it is shown that geometry changes of individual small glaciers (≤4 km2) located in a mountainous terrain may be assessed as well. Digitized contour lines were exported to a point format, and each vertex was interpolated to the grid of the 1990 DEM by bilinear interpolation. Hence, local elevation differences (dh) between 1960 and 1990 could be obtained only at these points on the glacier surface. To extrapolate dh from their point locations to whole glaciers, three different procedures were used, which is somewhat similar to those described in Kääb (2008).

In Method A, a map of surface elevation changes of 20 m resolution was created using estimated dh at each point. Different interpolation schemes were tested: kriging, inverse distance weighting and the Topo to Raster tool (a discretized thin plate spline technique available in ESRI ArcGIS software). In the latter, contours of equal elevation change at the glacier fronts are drawn manually because high gradients of dh and sparse data produced unrealistic patterns, i.e., closed zones of high surface lowering along contours, with areas of modest thinning between them. The Topo to Raster procedure, with manual corrections, gave the best results, showing good agreement between gridded values of the interpolated raster and the measured dh at each point, as well as smooth transition between zones of high and low dh in contrast to the other interpolation schemes. Topo to Raster was therefore chosen as the best approach for interpolation of available data. When compared to results delivered by other interpolation schemes, it gave the most negative values due to manual improvements at the fronts, where other techniques failed to reflect high thinning. Obviously, spatial variability of glacier elevation changes described with this method is somewhat simplified as it lacks the input data from wide areas between the contour lines, but it reproduces the general pattern well.

In Method B, a DEM with 20 m resolution was generated from the 1960 contour lines using a finite difference interpolation technique, to create a hydrologically correct relief model (Hutchinson 1989). The DEM was aligned to the 1990 DEM grid, so the latter could be subtracted from 1960 DEM, resulting in a raster of elevation differences. The method’s weak point is the questionable quality of the 1960 DEM, derived from sparse contour lines.

In Method C, glacier elevation changes along 1960 contours were averaged and then multiplied by the area of elevation bin centred at the contour (using the hypsometry of the larger glacier) to calculate volume change in a particular zone. Volume changes in each elevation bin were then summed to obtain dV. This method seemed to underestimate surface elevation change, as contour lines tend to be more curved (i.e., have more vertices) in the lateral zones of glaciers, where elevation change is smaller than in the glacier centre (Nuth et al. 2007).

As a measure of average surface elevation change, , between 1960 and 1990, Method A is used due to the superior results.

Geometry changes for the 1990–2009 epoch were estimated by subtracting the co-registered and aligned 2009 DEM from the 1990 DEM. For DEMs with 20 m grids, the subtraction is straightforward. However, for BLB and FDB a 2009 DEM with finer resolution (8 m) was available, so before subtraction the 20 m 1990 DEM is first resampled to 8 m resolution, using bilinear interpolation.

From the resulting rasters, total volume change of each glacier, dV, was first computed. Glacier-wide surface lowering, , was inferred by dividing dV by the average area of a glacier in the studied period. Even though the dynamics are considered as being of low importance in elevation changes, interpretation of the results needs to be undertaken with caution. However, when dh information is integrated over the whole glacier into , the dynamic component of surface motion in x and y directions cancels, if steady state is assumed (Paterson 1994).

Errors

To evaluate errors for Method A, it was used to calculate in the second studied period (1990–2009), for which DEMs are available. The results of the tests were in good agreement with those obtained by DEM differencing. Residuals ranged from −0.62 to 0.55 m. If weighted by area of the studied glaciers, the mean difference in between Method A and DEM differencing was −0.24 m, with a standard deviation of 0.42 m. In terms of percentage, Method A gave on average more negative values by 2%, with differences ranging from −5% to 4% for individual glaciers, in relation to DEM-obtained results. Therefore, it is assumed that overall performance of Method A is similar to DEM differencing.

To estimate overall errors, elevation differences from non-glacier covered terrain were investigated using 18 000 (1960–1990) and 35 000 (1990–2009) test-points. Because this work focuses on very small glaciers, where relatively steep sections (potentially causing large elevation errors) comprise significant portions of their area, it was important to pay particular attention to slope distribution. In this error assessment, it is assumed that elevation errors may be described by slope and surface type. Hence, conventional elevation error histograms (Fig. 2a) only partially represent uncertainties of the available data sets because they are inferred from non-glacier covered mountainous terrain. Ice and snow surfaces are characterized by greater elevation errors than rock terrain due to low radiometric contrast on aerial images used for map/DEM construction. In this study, glacier ice with good contrast has error characteristics similar to that of non-glacier covered terrain, while for snow-covered areas the error is assumed to be doubled (Nuth et al. 2010).

Fig 2
Fig. 2  Errors of data sets used in this study. (a) Frequency distribution of elevation errors in co-registered data sets. Note the histograms are inferred from terrain surrounding the glaciers. (b) Elevation error against slope for rock terrain and glacier ice. For snow-covered surfaces, the error is assumed to be twice as large.

Test-points were grouped in 1° slope bins, for which root mean square error was calculated, representing mean elevation error of an individual point at a given slope (Ep ). Ep increases with slope and is well described by a third order polynomial function (Fig. 2b). Slope histograms for the glaciers were extracted, and the polynomial functions were used to convert these to Ep histograms. Then, for each glacier and epoch, a weighted mean of Ep was calculated to obtain error values representative for the whole population of points lying within each glacier’s boundaries (Eg ). The total error of the elevation change measurement of each glacier ( ) was calculated by dividing Eg by the square root of the sample size (N):



Elevation errors are spatially autocorrelated, so it was not appropriate to use the number of sample points; rather, 1000 m as a correlation scale was used (e.g., Nuth et al. 2007; James et al. 2012), and N becomes the glacier area in km2. Total elevation change errors computed with this method ranged from ±3 to ±15 m for individual glaciers.

Results

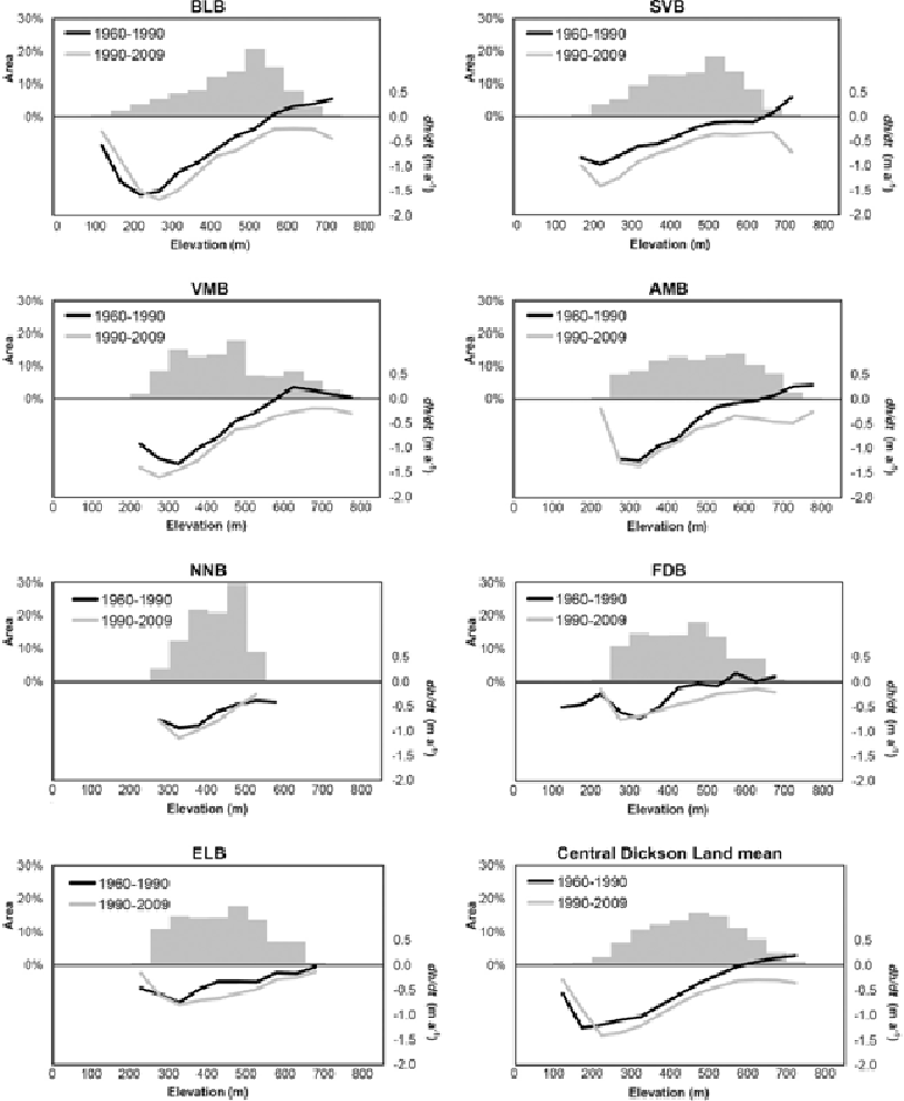
Elevation changes in the first analysed period, 1960–1990, are calculated using different procedures and compared in Table 2. The final maps of elevation changes from both periods are shown in Fig. 3, and the results are quantified in Table 3, together with volume changes and error estimates. Mean annual change in 50 m elevation bins for both study intervals is compared in Fig. 4.

Fig 3
Fig. 3  Annual surface elevation change rate dh/dt, for study glaciers: (a) 1960–1990; and (b) 1990–2009. Glacier names are abbreviated as follows: Bertilbreen (BLB), Svenbreen (SVB), Vestre Muninbreen (VMB), Austre Muninbreen (AMB), Ferdinandbreen (FDB), Elsabreen (ELB) and an unnamed glacier referred to as NNB in this study.

Fig 4
Fig. 4  Annual elevation change rates, dh/dt, averaged in each 50 m elevation bin relative to mean hypsometry of the study period (1990, grey columns). Glacier names are abbreviated as follows: Bertilbreen (BLB), Svenbreen (SVB), Vestre Muninbreen (VMB), Austre Muninbreen (AMB), Ferdinandbreen (FDB), Elsabreen (ELB) and an unnamed glacier referred to as NNB in this study.


Table 2 Comparison of elevation changes (, in m) of study glaciers for epoch 1960–1990, using different methods. Method A—Topo to Raster is chosen as final measure of . Glacier names are abbreviated as follows: Bertilbreen (BLB), Svenbreen (SVB), Vestre Muninbreen (VMB), Austre Muninbreen (AMB), Ferdinandbreen (FDB), Elsabreen (ELB) and an unnamed glacier referred to as NNB in this study.
  BLB SVB VMB AMB NNB FDB ELB
Method A—Topo to Raster −15.8 −9.5 −19.7 −13.9 −20.3 −10.5 −13.2
Method A—inverse distance weighting −13.7 −8.8 −18.5 −12.7 −19.0 −9.8 −12.4
Method A—kriging −13.2 −8.6 −18.2 −12.6 −18.6 −9.5 −11.8
Method B −14.4 −9.3 −17.4 −14.3 −19.9 −10.7 −14.2
Method C −12.3 −6.7 −18.3 −12.5 −16.2 −7.7 −12.7


Table 3 Elevation and volume changes in the two studied periods. Glacier names are abbreviated as follows: Bertilbreen (BLB), Svenbreen (SVB), Vestre Muninbreen (VMB), Austre Muninbreen (AMB), Ferdinandbreen (FDB), Elsabreen (ELB) and an unnamed glacier referred to as NNB in this study.
  BLB SVB VMB AMB NNB FDB ELB Overall
1960–1990 (m) −15.8 ±5.0 −9.5 ±5.6 −19.7 ±5.4 −13.9 ±6.9 −20.3 ±8.8 −10.5 ±9.6 −13.2 ±15.0 −14.8 ±6.5
1990–2009 (m) −14.6 ±3.0 −11.7 ±3.3 −18.2 ±3.1 −15.3 ±4.2 −15.3 ±5.7 −15.6 ±6.6 −15.2 ±10.4 −14.8 ±3.9
1960–2009 (m) −30.4 ±5.7 −20.9 ±6.3 −39.3 ±6.1 −29.9 ±7.8 −35.3 ±9.8 −24.6 ±10.8 −29.7 ±16.8 −29.8 ±7.3
1960–1990 (m a−1) −0.53 ±0.17 −0.32 ±0.19 −0.66 ±0.18 −0.46 ±0.23 −0.68 ±0.29 −0.35 ±0.32 −0.44 ±0.50 −0.49 ±0.22
1990–2009 (m a−1) −0.77 ±0.16 −0.61 ±0.17 −0.96 ±0.16 −0.81 ±0.22 −0.81 ±0.30 −0.82 ±0.35 −0.80 ±0.55 −0.78 ±0.21
1960–2009 (m a−1) −0.62 ±0.12 −0.43 ±0.13 −0.80 ±0.12 −0.61 ±0.16 −0.72 ±0.20 −0.50 ±0.22 −0.61 ±0.34 −0.61 ±0.15
change after 1990 (%) −45% −94% −46% −74% −19% −136% −82% −58%
dV 1960–1990 (106 m3) −74.0 ±25.0 −39.5 ±24.2 −76.0 ±22.1 −37.6 ±19.6 −31.1 ±15.1 −14.5 ±15.4 −8.0 ±10.8 −280.6 ±132
dV 1990–2009 (106 m3) −59.3 ±13.1 −45.0 ±13.0 −57.9 ±11.3 −34.6 ±10.7 −18.6 ±7.6 −16.1 ±7.7 −5.0 ±5.2 −236.5 ±69
dV 1960–2009 (106 m3) −133.3 ±28.2 −84.5 ±27.5 −133.9 ±24.8 −72.2 ±22.3 −49.8 ±16.9 −30.5 ±17.2 −13.0 ±12.0 −517.2 ±149
dV/dt 1960–1990 (106 m3 a−1) −2.47 ±0.83 −1.32 ±0.81 −2.53 ±0.74 −1.25 ±0.65 −1.04 ±0.50 −0.48 ±0.51 −0.27 ±0.36 −9.35 ±4.4
dV/dt 1990–2009 (106 m3 a−1) −3.12 ±0.69 −2.37 ±0.69 −3.05 ±0.60 −1.82 ±0.56 −0.98 ±0.40 −0.85 ±0.40 −0.26 ±0.27 −12.45 ±3.6
dV/dt 1960–2009 (106 m3 a−1) −2.72 ±0.58 −1.72 ±0.56 −2.73 ±0.51 −1.47 ±0.46 −1.02 ±0.34 −0.62 ±0.35 −0.26 ±0.24 −10.55 ±3.0
dV/dt change after 1990 (%) −26% −80% −20% −45% +5% −75% +2% −33%

The results show a typical pattern for glaciers with a negative mass balance: high thinning at fronts with limited thickening (1960–1990) or no thickening at all, even in the highest parts (1990–2009). The greatest thinning was on VMB, with −0.66 and −0.96 m a−1, respectively, for the first and second periods, for a total of −39.3 m elevation change over the entire glacier for 1960–2009. NNB thinned in total by 35.3 m with high rates of −0.68 and −0.81 m a−1. Other glaciers experienced less thinning, ranging from −0.32 to −0.53 m a−1 for 1960–1990 and from −0.61 to −0.82 m a−1 for 1990–2009. For all glaciers, the latter period was characterized by significantly higher thinning rates compared to the first period. The area-weighted mean of in 1960–1990 was −0.49 m a−1, with some thickening above 575 m, while after 1990 it increased by 54% to −0.78 m a−1 and no elevation increase occurred even at higher elevations.

In terms of volume, all glaciers have experienced significant losses (Table 3). VMB volume change (dV) since 1960 was the most prominent, with −134 · 106 m3, and a ca. 20% acceleration in volume loss rate (dV/dt) between the two epochs. Total volume loss for BLB was 133 · 106 m3, with a similar acceleration in dV/dt (26%). SVB lost 84 · 106 m3 of ice in total, experiencing the greatest acceleration in volume loss rate (80%) in the second period. Only two of the smaller glaciers, NNB and ELB, show a deceleration in the volume loss rate, decreasing by +5% and +2%, respectively, most likely due to decrease of glacier area exposed for melt. The total dV for all the study glaciers is −517 · 106 m3 since 1960, with a 52% increase in dV/dt after 1990. This represents a roughly 39% volume loss, based on 1960 volume estimates by Hagen et al. (1993).

For the largest study glaciers, the increase in thinning rates after 1990 shows a clear trend with altitude (Fig. 5). In the lower and middle elevation bands, dh/dt was relatively stable, with thinning increased by 0.2–0.4 m a−1. At higher elevations, the thinning rates increased the most, by up to 1.1 m a−1. For the three smallest glaciers, no such trend is visible.

Fig 5
Fig. 5  Change in dh/dt between two periods, 1960–1990 and 1990–2009, of glaciers in central Dickson Land. The horizontal dashed line indicates average position of zero elevation change in the period 1960–1990. Note the greatest thinning increase above the former geodetic equilibrium. Glacier names are abbreviated as follows: Bertilbreen (BLB), Svenbreen (SVB), Vestre Muninbreen (VMB) and Austre Muninbreen (AMB).

Discussion

Earlier studies of other small Svalbard glaciers concluded that climate shift is the main driver of elevation changes (e.g., Kohler et al. 2007; Barrand et al. 2010; James et al. 2012). From the beginning of the study interval, in 1960, summer temperature at Svalbard airport (50 km from the study area) has been rising by 0.02°C a−1; since 1990, the trend is even more pronounced, at 0.07°C a−1 (James et al. 2012). There is no significant trend in snow precipitation and accumulation, although there may be a slight recent decrease (Pinglot et al. 1999; Pohjola et al. 2002; Førland & Hanssen-Bauer 2003), so glaciers receive an increasing energy available for melt which is not balanced by higher accumulation input. Therefore, a strong link between climate and negative volume changes of the glaciers studied in this paper is anticipated.

The observed trends of general glacier wastage are similar to those found in previous work in other Svalbard regions (e.g., Dowdeswell et al. 1997; Hagen, Kohler et al. 2003; Hagen, Melvold et al. 2003; Nuth et al. 2007; Rachlewicz et al. 2007; Sobota 2007, 2011; Zagórski et al. 2008; Moholdt et al. 2010; Nuth et al. 2010). Unfortunately, the number of papers which could be used for a direct interregional comparison is limited, mainly due to differences in temporal coverage of earlier works and methods involved. The published long-term (1960s−2000s) elevation changes of individual Svalbard ice masses from different regions were −0.55 m a−1 and −0.61 m a−1 (Kääb 2008), −0.41 and −0.58 m a−1 (Barrand et al. 2010), −0.25, −0.32, −0.44, −0.64 and −0.87 m a−1 (James et al. 2012, excluding glaciers with partial data coverage). In this paper, the average surface lowering in central Dickson Land for the period 1960–2009 was −0.61 m a−1 (Table 3). While it is true that the mass loss of glaciers in this quasi-continental study area is faster than on the larger, more coastally influenced Svalbard ice masses (−0.36 m a−1; Nuth et al. 2010), there is no evidence of more negative than on small valley glaciers elsewhere in the archipelago. It may be explained by the higher elevation of Dickson Land ice masses, which partly offsets high summer temperature and limited precipitation.

An important finding of this study is the apparent acceleration of thinning after 1990. In the first studied period, the mean zero-change line was situated at 575 m. In the more recent epoch, the average dh/dt did not approach zero at all, implying that the geodetic equilibrium has shifted by about 150 m up-glacier. In effect, overall glacier in the period 1990–2009 was on average 58% more negative than between 1960 and 1990. The thinning increase is particularly marked in the upper zones of the study glaciers, in agreement with Kohler et al. (2007) and James et al. (2012). Figure 5 shows that the most negative changes occur above 500–600 m a.s.l., corresponding to the approximate position of zero-change line between 1960 and 1990. While the traditionally defined equilibrium line altitude may be situated below this elevation (if ice submergence is not balanced by mass gain), it is assumed here that above the geodetic equilibrium elevation the only source of surface elevation increase would be net accumulation. Therefore, the observed post-1990 acceleration of surface lowering in areas that previously have been experiencing net mass surplus may indirectly support the hypothesis that this process is caused by albedo change due to faster snow removal under the warming climate (Kohler et al. 2007; James et al. 2012).

The highest zones of glaciers used to be covered with snow or firn throughout the summer season, but warming after 1990 has most likely been progressively removing snow to uncover ice. When ice is exposed, its lower albedo increases energy absorption and therefore melting. Albedo in the lower ablation zone remains at the same levels, so thinning rates there are more stable. This mechanism is in agreement with direct observations by the author from the last decade when little or no snow remains during summers, so that firn and ice melt, even in the highest areas of glaciers. The role of strong dh/dt acceleration cannot be neglected in future projections of Svalbard contribution to SLR, but further detailed observations are needed, as there are other possible mechanisms. As outlined in James et al. (2012), those may include a shift in atmospheric stratification, albedo change due to debris incorporation from the rock walls, increased ablation due to lack of internal accumulation, or change in energy balance conditions of glacial valleys due to ice area decay.

This study revealed that neighbouring glaciers of similar size and type may show very different dh/dt curves, illustrating the problem of sample size and quality when assessing regional mass balance trends. Important factors modulating general mass loss are aspect and area-altitude distribution. Between 1960 and 2009, the greatest changes occurred either on glaciers receiving the highest amounts of solar radiation or on glaciers with more area at lower elevations. Therefore, VMB, NNB, BLB and AMB all had very high overall mass loss, while SVB, FDB and ELB have been thinning at slower rates. This underscores the importance of careful site selection for region-wide mass balance assessments. Ideally one should measure elevation change on all glaciers in a particular area to obtain a convincing regional mass balance.

Conclusions

This study focuses on the little investigated central Svalbard glaciers of Dickson Land. Between 1960 and 2009, the overall of seven glaciers analysed here ranged from −20.9 to −39.3 m, equivalent to a roughly 39% volume loss. In the first period, 1960–1990, the study glaciers have thinned at fronts with some limited thickening in their upper parts, with =−0.49 m a−1. In response to rising summer temperatures, the zero-change elevation increased by about 150 m, and the thinning rates in all elevation bands increased by 58% for =−0.78 m a−1. Between neighbouring and somewhat similar glaciers, significant differences in mass change are observed, underscoring the importance of choosing a representative sample when investigating mass balance of whole regions, which should particularly consider aspect and hypsometry. Glaciers in the study area have been losing mass at a similar rate as other small, land-terminating glaciers in different Svalbard regions, even though the local climate is more continental than in other areas. This can be explained by the relatively high elevation of local ice-masses, which partly offsets the unfavourable climatic conditions. The results also show a strong increase in thinning rates in the upper elevations of glaciers, as has been found for other areas of Svalbard, and which has been attributed to albedo decreasing in the accumulation zones.

Acknowledgements

This work is part of the Dickson Land Ice Masses Evolution project, funded by the Polish National Science Centre through grant no. N N 306 062940. The author wishes to thank J.O. Hagen for his encouragement to submit this paper to Polar Research and C. Nuth for instructive discussions concerning data co-registration. Thanks are due to Matt Strzelecki for sharing the 2009 DEM; his research funding was provided by the Ministry of Science and Higher Education in Poland through grant no. N306284335. Detailed comments and constructive critique of the reviewers are deeply appreciated as they greatly helped to improve the manuscript. The cooperation of the NPI is gratefully acknowledged, and thanks are particularly due to A. Skoglund for providing the 1960 topography data and to H. Aas for help in providing 2009 aerial images. The 1990 DEM created by the NPI has been obtained via the Norge Digitalt programme. The author also wishes to thank the staff of the Department of Geosciences and the Research Council of Norway for a fruitful stay at the University of Oslo.

References

Andreassen L.M. 1999. Comparing traditional mass balance measurements with long-term volume change extracted from topographical maps: a case study of Storbreen glacier in Jotunheimen, Norway, for the period 1940–1997. Geografiska Annaler 81A, 467–476. Publisher Full Text

Andreassen L.M., Elvehøy H. & Kjøllmoen B. 2002. Using aerial photography to study glacier changes in Norway. Annals of Glaciology 34, 343–348. Publisher Full Text

Bamber J., Krabill W., Raper V. & Dowdeswell J. 2004. Anomalous recent growth of part of a large Arctic ice cap: Austfonna, Svalbard. Geophysical Research Letters 30, L12402, doi: 10.1029/2004GL019667. Publisher Full Text

Barrand N.E., James T.D. & Murray T. 2010. Spatio-temporal variability in elevation changes of two High-Arctic valley glaciers. Journal of Glaciology 56, 771–780. Publisher Full Text

Cazenave A., Dominh K., Guinehut S., Berthier E., Llovel W., Ramillien G., Ablain M. & Larnicol G. 2009. Sea level budget over 2003–2008: a reevaluation from GRACE space gravimetry, satellite altimetry and Argo. Global and Planetary Change 65, 83–88. Publisher Full Text

Church J.A., White N.J., Konikow L.F., Domingues C.M., Cogley J.G., Rignot E., Gregory J.M., van den Broeke M.R., Monaghan A.J. & Velicogna I. 2011. Revisiting the Earth’s sea-level and energy budgets from 1961 to 2008. Geophysical Research Letters 38, L18601, doi: 10.1029/2011GL048794. Publisher Full Text

Cox L.H. & March R.S. 2004. Comparison of geodetic and glaciological mass-balance techniques, Gulkana Glacier, Alaska, U.S.A. Journal of Glaciology 50, 363–370. Publisher Full Text

Dowdeswell J.A., Hagen J.O., Björnsson H., Glazovsky A.F., Harrison W.D., Holmlund P., Jania J., Koerner R.M., Lefauconnier B., Ommanney C.S.L. & Thomas R.H. 1997. The mass balance of circum-Arctic glaciers and recent climate change. Quaternary Research 48, 1–14. Publisher Full Text

Dyurgerov M.B. & Meier M.F. 1997. Mass balance of mountain and subpolar glaciers: a new global assessment for 1961–1990. Arctic and Alpine Research 29, 379–391. Publisher Full Text

Echelmeyer K.A., Harrison W.D., Larsen C.F., Sapiano J., Mitchell J.E., Adalgeirsdottir G. & Sombardier L. 1996. Airborne surface profiling of glaciers: a case-study in Alaska. Journal of Glaciology 42, 538–547.

Elsberg D.H., Harrison W.D., Echelmeyer K.A. & Krimmel R.M. 2001. Quantifying the effects of climate and surface change on glacier mass balance. Journal of Glaciology 47, 649–658. Publisher Full Text

Evans D.J.A., Strzelecki M., Milledge D.G. & Orton C. 2012. Hørbyebreen polythermal glacial system, Svalbard. Journal of Maps 8, 146–156. Publisher Full Text

Ewertowski M., Kasprzak L., Szuman I. & Tomczyk A.M. 2010. Depositional processes within the frontal ice-cored moraine system, Ragnar glacier, Svalbard. Quaestiones Geographicae 29, 27–36. Publisher Full Text

Ewertowski M., Kasprzak L., Szuman I. & Tomczyk A.M. 2012. Controlled, ice-cored moraines: sediments and geomorphology. An example from Ragnarbreen, Svalbard. Zeitschrift für Geomorphologie 51, 53–74. Publisher Full Text

Finsterwalder R. 1954. Photogrammetry and glacier research with special reference to glacier retreat in the eastern Alps. Journal of Glaciology 2, 306–315.

Førland E.J. & Hanssen-Bauer I. 2003. Past and future climate variations in the Norwegian Arctic: overview and novel analyses. Polar Research 22, 113–124. Publisher Full Text

Gibas J., Rachlewicz G. & Szczuciński W. 2005. Application of DC resistivity soundings and geomorphological surveys in studies of modern Arctic glacier marginal zones, Petuniabukta, Spitsbergen. Polish Polar Research 26, 239–258.

Gohman V.V., Troicki L.S. & Hodakov V.G. 1982. Gidrotermičeski režim i vodochozojstviennaja rol lednika Bertil na Špicbergenie. (Hydrothermal regime of Bertil glacier in Svalbard and its role in water management.) Materialy Glyaciologičeskih Issledovanij 45, 154–159.

Gokhman V.V. 1987. Two types of intraglacial meltwater regime for the Bertil glacier, Svalbard. Polar Geography and Geology 11, 241–248. Publisher Full Text

Gokhman V.V. & Khodakov V.G. 1986. Hydrological investigations in the Mimer River basin, Svalbard, in 1983. Polar Geography and Geology 10, 309–316. Publisher Full Text

Hagen J.O., Eiken T., Kohler J. & Melvold K. 2005. Geometry changes of Svalbard glaciers—mass balance or dynamic response? Annals of Glaciology 42, 255–261. Publisher Full Text

Hagen J.O., Kohler J., Melvold K. & Winther J.-G. 2003. Glaciers in Svalbard: mass balance, runoff and freshwater flux. Polar Research 22, 145–159. Publisher Full Text

Hagen J.O., Liestøl O., Roland E. & Jørgensen T. 1993. Glacier atlas of Svalbard and Jan Mayen. Oslo: Norwegian Polar Institute.

Hagen J.O., Melvold K., Pinglot F. & Dowdeswell J.A. 2003. On the net mass balance of the glaciers and ice caps in Svalbard, Norwegian Arctic. Arctic, Antarctic and Alpine Research 35, 264–270.

Hutchinson M.F. 1989. A new procedure for gridding elevation and stream line data with automatic removal of spurious pits. Journal of Hydrology 106, 211–232. Publisher Full Text

James T.D., Murray T., Barrand N.E., Sykes H.J., Fox A.J. & King M.A. 2012. Observations of enhanced thinning in the upper reaches of Svalbard glaciers. The Cryosphere 6, 1369–1381. Publisher Full Text

Jania J. & Hagen J.O. 1996. Mass balance of Arctic glaciers. IASC Report 5. Sosnowiec, Poland: Faculty of Earth Science, University of Silesia.

Kääb A. 2008. Glacier volume changes using ASTER satellite stereo and ICESat GLAS laser altimetry. A test study on Edgeøya, eastern Svalbard. IEEE Transactions on Geoscience and Remote Sensing 46, 2823–2830. Publisher Full Text

Karczewski A. 1989. The development of the marginal zone of the Hørbyebreen, Petuniabukta, central Spitsbergen. Polish Polar Research 10, 371–377.

Kaser G., Cogley J.G., Dyurgerov M.B., Meier M.F. & Ohmura A. 2006. Mass balance of glaciers and ice caps: consensus estimates for 1961–2004. Geophysical Research Letters 33, L19501, doi: 10.1029/2006GL027511. Publisher Full Text

Kohler J., James T.D., Murray T., Nuth C., Brandt O., Barrand N.E., Aas H.F. & Luckman A. 2007. Acceleration in thinning rate on western Svalbard glaciers. Geophysical Research Letters 34, L18502, doi: 10.1029/2007GL030681. Publisher Full Text

Korjakin V.S., Krenke A.N. & Tareeva A.M. 1985. Rasčetnaja akkumuljacija na vysote granicy pitanija lednikov. (Estimated accumulation at the equilibrium line altitude of glaciers.) In B.M. Kotljakov (ed.): Gljaciologija Špicbergena. (Glaciology of Spitsbergen.) Pp. 54–62. Moscow: Nauka.

Kostrzewski A., Kaniecki A., Kapuściński J., Klimczak R., Stach A. & Zwoliński Z. 1989. The dynamics and rate of denudation of glaciated and non-glaciated catchments, central Spitsbergen. Polish Polar Research 10, 317–367.

Láska K., Witoszová D. & Prošek P. 2012. Weather patterns of the coastal zone of Petuniabukta, central Spitsbergen in the period 2008–2010. Polish Polar Research 33, 297–318.

Małecki J. 2013. The present-day state of Svenbreen (Svalbard) and changes of its physical properties after the termination of the Little Ice Age. PhD thesis, Adam Mickiewicz University, Poznań, Poland.

Mavlyudov B.R. 2010. Peščera lednika Bertil, Špicbergen: istorija i sovremennost’. (The cave of Bertil glacier: past and present.) In A.A. Gunko et al. (eds.): Speleologia i spelestologia: razvitie i vzaimodejstvie nauk. Materialy meždunarodnoj naućno-praktićeskoj konferencii. (Speleology and speleostology: development and interaction of science. Proceedings of international scientific and practical conference.) Pp. 9–12. Naberežnye Čelny: Naberežnye Čelny State Pedagogical Institute.

Meier M.F., Dyurgerov M.B., Rick U.K., O’Neel S., Pfeffer W.T., Anderson R.S., Anderson S.P. & Glazovsky A.F. 2007. Glaciers dominate eustatic sea-level rise in the 21st century. Science 317, 1064–1067. PubMed Abstract | Publisher Full Text

Moholdt G., Nuth C., Hagen J.O. & Kohler J. 2010. Recent elevation changes of Svalbard glaciers derived from ICESat laser altimetry. Remote Sensing of Environment 114, 2756–2767. Publisher Full Text

Nørdli P.Ø. & Kohler J. 2003. The early 20th century warming. Daily observations at Green Harbour, Grønfjorden, Spitsbergen. DNMI KLIMA Rapp. 12/03. Oslo: Norwegian Meteorological Institute.

Norwegian Polar Institute. 1988. Dicksonfjorden, Spitsbergen. 1: 100 000. Sheet C7. Oslo: Norwegian Polar Institute.

Nuth C. & Kääb A. 2011. Co-registration and bias corrections of satellite elevation data sets for quantifying glacier thickness change. The Cryosphere 5, 271–290. Publisher Full Text

Nuth C., Kohler J., Aas H.F., Brandt O. & Hagen J.O. 2007. Glacier geometry and elevation changes on Svalbard (1936–90): a baseline dataset. Annals of Glaciology 46, 106–116. Publisher Full Text

Nuth C., Moholdt G., Kohler J., Hagen J.O. & Kääb A. 2010. Svalbard glacier elevation changes and contribution to sea level rise. Journal of Geophysical Research—Earth Surface 115, F01008, doi: 10.1029/2008JF001223. Publisher Full Text

Paterson W.S.B. 1994. The physics of glaciers. 3rd edn. New York: Pergamon.

Pinglot J.F., Pourchet M., Lefauconnier B., Hagen J.O., Isaksson E., Vaikmae R. & Kamiyama K. 1999. Accumulation in Svalbard glaciers deduced from ice cores with nuclear tests and Chernobyl reference layers. Polar Research 18, 315–321. Publisher Full Text

Pohjola V., Martma T., Meijer H.A.J., Moore J.C., Isaksson E., Vaikmae R. & Van de Wal R.S.W. 2002. Reconstruction of three centuries of annual accumulation rates based on the record of stable isotopes of water from Lomonosovfonna, Svalbard. Annals of Glaciology 35, 57–62. Publisher Full Text

Przybylak R., Araźny A., Gluza A., Hojan M., Migała K., Sikora S., Siwek K. & Zwoliński Z. 2006. Porównanie warunków meteorologicznych na zachodnim wybrzeżu Spitsbergenu w sezonie letnim 2005 r. (Diversification of meteorological conditions on the western coast of Spitsbergen during summer season of 2005.) Problemy Klimatologii Polarnej 16, 125–138.

Przybylak R, Kejna M, Araźny A., Maszewski R., Gluza A., Hojan M., Migała K., Sikora S., Siwek K. & Zwoliński Z. 2007. Zróżnicowanie warunków meteorologicznych na zachodnim wybrzeżu Spitsbergenu w sezonie letnim 2006 r. (Diversification of meteorological conditions on the western coast of Spitsbergen during summer season of 2006.) In R. Przybylak et al. (eds.): Abiotyczne środowisko Spistbergenu w latach 2005–2006 w warunkach globalnego ocieplenia. (Abiotic environment of Spitsbergen in years 2005–2006 under conditions of global warming.) Pp. 179–194. Toruń, Poland: Nicolaus Copernicus University.

Rachlewicz G. 2003. Warunki meteorologiczne w zatoce Petunia (Spitsbergen środkowy) w sezonach letnich 2000 i 2001. (Meteorological conditions in Petunia bay [central Spitsbergen] during summer seasons 2000 and 2001.) Problemy Klimatologii Polarnej 13, 127–138.

Rachlewicz G. 2009a. Contemporary sediment fluxes and relief changes in High Arctic glacierized valley systems (Billefjorden, Central Spitsbergen). Uniwersytet im. Adama Mickiewicza w Poznaniu, seria geografia nr 87. Poznań, Poland: Wydawnictwo Naukowe UAM.

Rachlewicz G. 2009b. River floods in glacier-covered catchments of the High Arctic: Billefjorden-Wijdefjorden, Svalbard. Norsk Geografisk Tidskrift 63, 115–122. Publisher Full Text

Rachlewicz G. & Styszyńska A. 2007. Porównanie przebiegu temperatury powietrza w Petuniabukta i Svalbard-Lufthavn (Isfjord, Spitsbergen) w latach 2001–2003. (Comparison of the course of air temperature in Petuniabukta and Svalbard-Lufthavn [Isfjord, Spitsbergen] in the years 2001–2003.) Problemy Klimatologii Polarnej 17, 121–134.

Rachlewicz G., Szczuciński W. & Ewertowski M. 2007. Post-“Little Ice Age” retreat rates of glaciers around Billefjorden in central Spitsbergen, Svalbard. Polish Polar Research 28, 159–186.

Radić V. & Hock R. 2011. Regionally differentiated contribution of mountain glaciers and ice caps to future sea-level rise. Nature Geoscience 4, 91–94. Publisher Full Text

Rignot E., Velicogna I., van den Broeke M.R., Monaghan A. & Lenaerts J. 2011. Acceleration of the contribution of the Greenland and Antarctic ice sheets to sea level rise. Geophysical Research Letters 38, L05503, doi: 10.1029/2011GL046583. Publisher Full Text

Sobota I. 2007. Selected methods in mass balance estimation of Waldemar Glacier, Spitsbergen. Polish Polar Research 28, 249–268.

Sobota I. 2011. Snow accumulation, melt, mass loss, and the near-surface ice temperature structure of Irenebreen, Svalbard. Polar Science 5, 237–336. Publisher Full Text

Soruco A., Vincent C., Francou B., Ribstein P., Berger T., Sicart J.E., Wagnon P., Arnaud Y., Favier V. & Lejeune Y. 2009. Mass balance of Glaciar Zongo, Bolivia, between 1956 and 2006, using glaciological, hydrological and geodetic methods. Annals of Glaciology 50, 1–8. Publisher Full Text

Strzelecki M. 2013. High Arctic paraglacial coastal evolution in northern Billefjorden, Svalbard. PhD thesis, Durham University.

Symon C., Arris L. & Heal B. (eds.) 2005. Arctic climate impact assessment. Cambridge: Cambridge University Press.

Szuman I. & Kasprzak L. 2010. Glacier structures influence on moraines development (Hørbye glacier, central Spitsbergen). Quaestiones Geographicae 29, 65–73. Publisher Full Text

Troicki L.S. 1988. O balanse massy lednikov raznyh typov na Špicbergenie. (On the mass balance of different types of glaciers on Spitsbergen.) Materialy Glyaciologičeskih Issledovanij 63, 117–121.

Velicogna I. 2009. Increasing rates of ice mass loss from the Greenland and Antarctic ice sheets revealed by GRACE. Geophysical Research Letters 36, L19503, doi: 10.1029/2009GL040222. Publisher Full Text

Zagórski P., Siwek K., Gluza A. & Bartoszewski S.A. 2008. Changes in the extent and geometry of the Scott Glacier, Spitsbergen. Polish Polar Research 29, 163–185.

Žuravlev A.B., Mačeret J.J. & Bobrova. L.I. 1983. Radiolokalicjonnije issledovanije na poljarnom lednike s zimnym stokom. (Radio-echo sounding investigations on a polar glacier with winter discharge.) Materialy Glyaciologičeskih Issledovanij 46, 143–149.