RESEARCH/REVIEW ARTICLE

Standardized algal growth potential and/or algal primary production rates of maritime Antarctic stream waters (King George Island, South Shetlands)

Jana Kvíderová1,2 & Josef Elster1,2

1Institute of Botany, Academy of Sciences of the Czech Republic, Dukelská 135, CZ-379 82 Třeboň, Czech Republic
2Faculty of Science, University of South Bohemia, Branišovská 31, CZ-370 05 České Budějovice, Czech Republic

Abstract

In addition to the chemical analyses providing total nutrient content, standardized water trophic status bioassays are useful in the determination of available nutrients for primary producers. The aim of the study was to determine the standardized values of algal growth potential (AGP) and algal primary productivity rate (APPR) of maritime Antarctic stream water using modified AGP/APPR protocols. The standardized values of AGP and the APPR of oligotrophic and mesotrophic water samples from snow-melt streams were measured, and possible nutrient limitation and heavy metal inhibition were evaluated at 5°C and 25°C using polar and temperate strains of Stichococcus bacillaris, respectively. The water samples were enriched for the nutrient limitation tests with 1000 µg l−1 −N, 50 µg l−1 −P, and a mixture of 1000 µg l−1 −N+50 µg l−1 −P, and for the heavy metal inhibition tests with 1000 µg l−1 Na2-ethylenediaminetetraacetic acid (EDTA). The AGP of oligotrophic samples was significantly lower than that of the mesotrophic ones at both temperatures. In addition, AGP was significantly higher at 5°C than at 25°C. Oligotrophic samples were identified as being nitrogen limited, while no nutrient limitation was observed in the mesotrophic samples. No statistically significant heavy metal inhibition was observed at either temperature. The positive correlation of AGP and water nutrient content indicates that the method used accurately and comprehensively monitors the changes in biological availability of mineral nutrients and can provide a standardized reference point for similar exploration of freshwater ecosystems across both polar regions.

Keywords
Maritime Antarctic; microalgae; nutrient limitations; snow-melt stream water.

Correspondence
Jana Kvíderová, Institute of Botany, Academy of Sciences of the Czech Republic, Dukelská 135, CZ-379 82 Třeboň, Czech Republic. E-mail: kviderova@butbn.cas.cz

(Published: 3 October 2013)

Polar Research 2013. © 2013 J. Kvíderová & J. Elster. This is an open-access article distributed under the terms of the Creative Commons Attribution-Noncommercial 3.0 Unported License (http://creativecommons.org/licenses/by-nc/3.0/), permitting all non-commercial use, distribution, and reproduction in any medium, provided the original work is properly cited.

Citation: Polar Research 2013, 32, 11191, http://dx.doi.org/10.3402/polar.v32i0.11191

 

Climate change as an environmental problem of global magnitude is especially evident in the polar regions, where its impact on abiotic and biotic components of the ecosystem is most obvious. The strongest support for these changes is the significant loss of ice volume followed by regional warming in both the Arctic and Antarctic over the past 50 years (Cook et al. 2005; Anisimov et al. 2007). Over the period 1976–2001, the western part of the Antarctic Peninsula has experienced a rapid regional warming trend, which is much more pronounced than those observed in other Antarctic areas (Rivera et al. 2005 and references therein). The northern part of the Antarctic Peninsula (including associated islands) has a cold moist maritime climate, which allows for different hydro-terrestrial ecosystem (shallow wetlands, streams, shallow lakes and pools, seepages, etc.) formations to develop (Elster 2002), which do not exist elsewhere in Antarctica (Elster & Komarek 2003). It is expected that the chemical weathering processes will be more active in the Antarctic Peninsula than, for example, in the deserts of the northern polar regions.

Antarctic hydro-terrestrial ecosystems are comparably responsive to climate variations as other global aquatic systems; climate shifts influence releases of melting glaciers and snow-melt run-off. In glacial and snow-melt waters, the contents of mineral nutrients are distinctly identifiable with respect to their source. The stream water carries various sediments and nutrients released by melting ice and soil (Howard-Williams et al. 1986; Elster & Komarek 2003), so changes in stream periphyton primary production should be expected. Stream periphyton (cyanobacteria and eukaryotic microalgae) have to endure a highly variable seasonal water flow, temperature and water chemistry, all of which are important factors in determining the type of microbial assemblages and their biomass (Hawes 1989; Hawes & Brazier 1991; Vincent et al. 1993).

In the Antarctic peninsula region, three types of hydro-terrestrial ecosystems are recognized: temporary wet soil near snow fields, snow-fed streams of small to intermediate size and glacial rivulets running continuously during the summer season (Kawecka & Olech 1993; Luscinska & Kyc 1993; Komárek 1999; Elster & Komarek 2003). The snow-fed streams are the most common and diverse freshwater ecosystems (Elster & Komarek 2003). Their water trophic status, that is, the nutrient content of the water available for algal growth is generally low and their waters are regarded as oligotrophic, that is, low nitrogen and phosphorus content. However, their nutrient content, and therefore water trophic status, could be increased from external nutrient sources like rookeries or by increased weathering of rocks (Vincent & Laybourn-Parry 2008). The microalgae and cyanobacteria of these streams represent one of the most important parts of polar freshwater ecosystems (Elster 2002; Elster & Benson 2004), because the amount of fixed carbon is not only significant for the polar regions, but for the whole planet as well (e.g., Howard-Williams et al. 1986; Vincent & Howard-Williams 1986; Vincent 1988; Vincent et al. 1993; Vincent & James 1996; Elster 2002). Microalgal and cyanobacterial primary production rates are sensitive to changes in physical, chemical and biological environmental factors. Any changes in nutrient supply, that is, water trophic status will affect microalgal and cyanobacterial community structure and growth.

The possible impact of climatic changes on stream periphyton has been studied in both the Arctic and the Antarctic regions by in situ manipulation (Smith 1990; Elster & Svoboda 1995; Elster et al. 2001; Benstead et al. 2005). However, these in situ manipulation experiments are not always possible due to logistical and technical constraints, so modelling of these processes under laboratory conditions is required. In addition, there is a need for a simple standardized laboratory procedure for the determination and long-term monitoring of the nutrient load, that is, trophic status, of stream waters.

For routine evaluation of the trophic status of water samples, a standardized procedure, as defined by national standards such as “Practise for algal growth potential testing with Pseudokirschneriella subcapitata; ASTM D-3978-04” (ASTM International 2004) in the US and Micromethod of evaluation of water toxicity and algal growth potential by a growth bioassay; TNV 757741 in the Czech Republic (Lukavský et al. 1995), could be used. Such assays have been used worldwide since the second half of the last century (Miller et al. 1978) and are still used today (Peršić & Horvatić 2011), since chemical analyses alone cannot reveal synergistic effects of dissolved inorganic and organic compounds on living (micro)organisms (Lukavský 1992; McCormick & Stevenson 1998; US EPA 2002). These standardized procedures only determine the nutrient concentrations available to freshwater (micro) organisms, as compared to the absolute nutrient concentrations provided by chemical analyses. Therefore, a method of standardized long-term, regular monitoring of water trophic status in selected polar hydro-terrestrial ecosystems must be introduced. Standardized values of selected parameters, which reveal spatial and temporal changes in real nutrient availability and microbial productivity, are needed. For example, this method can determine the anthropogenic impact as it is commonly applied to temperate regions (Peršić & Horvatić 2011) or high-altitude areas (Edwards et al. 2000; Bernal-Brooks et al. 2003). In addition, the standardized values can also be used for comparison of different freshwater polar habitats regardless of their original phytoplankton or periphyton community structure.

In our study, two parameters defined in Micromethod of evaluation of water toxicity and algal growth potential by a growth bioassay; TNV 757741 (Lukavský et al. 1995) are recommended to be used in the proposed standardized water trophic status assay for polar waters, the algal growth potential (AGP) and the algal primary production rate (APPR). The AGP is defined as the highest observed dry weight content reached under specific cultivation conditions, which reflects the nutrient content of a water sample. The APPR is defined as the growth rate calculated as the slope of a linear regression of the natural logarithm of dry weight on time, during the exponential phase of the growth curve. So far, there are no data sets of AGP and APPR standardized values from polar streams or other hydro-terrestrial ecosystems.

We propose the following modifications to make this protocol suitable for polar waters. (1) A set of polar and temperate strains of chlorococcal microalgae of the genus Stichococcus (Trebouxiophyceae, Chlorophyta) should be used. The mesophilic and eutrophic microalgal strains required in these standards are not suitable for testing the water trophic status of polar stream waters, especially at low temperatures. Stichococcus strains are characterized by a broad temperature tolerance and their growth temperature ranges of 5–26°C for the polar strain and 8–28°C for the temperate strain (Kvíderová & Lukavský 2005) are suitable for this study. These strains are easy to cultivate and do not form any macroscopic clusters, which would affect cell counting and/or absorbance measurements. (2) The AGP test should be performed at low (5°C) and ambient (25°C) temperatures in order to compare patterns found in field and laboratory measurements. (3) Initial cell density should be increased to 1×105 cells ml−1. Higher inoculum concentrations could provide better tracking of the growth curve and data evaluation as seen from results of a standard microalgal bioassay (Kvíderová 2010). (4) Heavy metal should be restricted to Na2-ethylenediaminetetraacetic acid (EDTA) treatment only in order to implement two samples per one microplate. A basic heavy metal inhibition test should be included, since there is evidence of increased heavy metal concentrations in the Antarctic (Honda et al. 1987; Claridge et al. 1995; Bargagli et al. 1996; Sheppard et al. 1997; Bargagli, Monaci et al. 1998; Bargagli, Sanchez-Hernandez et al. 1998; Bargagli 2001).

For the initial AGP and APPR evaluations, samples from localities where climate change has been demonstrated and where the stream water samples of possible different water trophic status can be expected to be found would be the most suitable. One such locality is King George Island in the South Shetland Islands in maritime Antarctica (King 1994; Rivera et al. 2005). Its surface consists of rocks of volcanic origin, of which 90% are covered by ice. At Admiralty Bay, near the Polish polar station H. Arctowski, the primary productivity of two streams of different nutrient contents—ultra- to oligotrophic Petrified Forest Creek and oligo- to mesotrophic Ornithologist Creek—have been studied (Elster & Komarek 2003), providing ideal field reference points and water samples for the laboratory AGP/APPR assay.

The field study of Elster & Komarek (2003) revealed that primary production is surprisingly higher in the oligotrophic stream parts, although there was increased nutrient load in the mesotrophic part. Several possible explanations included a lack of phosphorus, toxic nitrogen or other compound concentrations, periphyton competition with bacteria and so on.

The aims of this study were to: (1) determine the standardized values of AGP and APPR of maritime Antarctic stream water from King George Island at 5 and 25°C using the modified AGP/APPR protocols as mentioned above; (2) evaluate possible mineral nutrient limitation and/or heavy metal inhibition using these modified AGP/APPR protocols; (3) find a possible positive correlation between the nutrient load in the water and AGP/APPR; (4) compare the results of the laboratory-evaluated AGP and APPR with in situ measurements of seasonal relative periphyton productivity of the same two melt-water streams (Elster & Komarek 2003), and also to compare previous gross periphyton primary production rates (measured either as oxygen production or 14C uptake) in continental as well as maritime Antarctic (e.g., Howard-Williams et al. 1986; Hawes 1993); and (5) characterize the difference between in situ and laboratory primary productivity measurements.

Materials and methods

Water sample collection

The water samples were collected in the ultra- to oligotrophic Petrified Forest Creek and oligo- to mesotrophic Ornithologist Creek, in the vicinity of the H. Arctowski Polish station on King George Island, South Shetlands, in maritime Antarctica. These creeks were visually morphologically distinct and were selected for the study of in situ periphyton relative primary production by Elster & Komarek (2003).

Both creeks originate in one (Ornithologist Creek) or several (Petrified Forest Creek) snow patches and flow into Admiralty Bay. Oligotrophic Petrified Forest Creek has a more granulated bottom, while Ornithologist Creek is in a more open valley, has a gradual stream slope, is situated at a lower elevation and is wider. The lower reaches of Ornithologist Creek flow through a penguin rookery. Four sampling sites of the oligotrophic Petrified Forest Creek were located at 85–106 m (Reach A), 245–263 m (Reach B), 461–476 m (Reach C) and 878–885 m (Reach D) from the seashore. Three sampling sites of the oligo-to mesotrophic Ornithologist Creek were located at 68–98 m (Reach A; mesotrophic due to vicinity of the penguin rookery; the nutrient enrichment is discussed in Elster & Komarek 2003 in detail), 338–353 m (Reach B, oligotrophic) and 695–713 m (Reach C, oligotrophic) from the seashore. Their detailed geomorphological characteristics and relative primary production field data are described elsewhere (Elster & Komarek 2003).

Water samples were collected during the summer of 1996–97, at 10-day intervals from 21 December 1996 to 10 March 1997. At each sampling point, a 250-ml sample volume was collected at a depth of less than 10 cm from the surface, filtered through GF/C filters (Whatman, Kent, UK) pre-washed by stream water, and frozen for transport. All chemical analyses and measurements of AGP and APPR were performed at the Institute of Botany in Třeboň, Czech Republic. The frozen samples were kept at −25°C and were completely thawed before analyses or inoculation. The chemical analyses and AGP/APPR evaluation were completed within several weeks after arriving from Antarctica (Elster & Komarek 2003).

Water chemistry

Phosphorus [as dissolved reactive phosphorus (DRP)] and nitrogen [as dissolved inorganic nitrogen (DIN)] were analyzed using flow injection analyses (Tecator, Höganäs, Sweden; Růžička & Hansen 1981). The DRP concentration was estimated from the reaction of −P with ammonium molybdate, and reduction by the reaction of stannous chloride to phosphomolybdenum blue (Tecator application note ASN 60/83; detection limit 5 µg l−1; Proctor & Hood 1954). The DIN concentration was calculated as the sum of concentrations of −N and −N. The −N concentration was determined by the gas diffusion method (Tecator application note ASN 50-0187; detection limit 10 µg l−1; Karlberg & Twengstrom 1983) and −N concentration by reaction with sulphonamide (Tecator application note ASN 62-01/83; detection limit 3 µg l−1).

AGP and APPR

From the total of 137 water samples—56 from Ornithologist Creek and 81 from Petrified Forest Creek—collected in 1996–97 (Elster & Komarek 2003), 30 samples were selected for the AGP and APPR analyses according to their nutrient content and sampling date. Ten samples originated from the oligotrophic Petrified Forest Creek, 10 from the oligotrophic reach of Ornithologist Creek and 10 from the lower mesotrophic reach of Ornithologist Creek (which was influenced by penguin excrement). The examined samples thus cover the full range of nutrient concentrations available in the studied streams.

The chlorococcal microalgae of the genus Stichococcus (Trebouxiophyceae, Chlorophyta) were selected for the AGP and APPR analyses, because of their wide ecological tolerance. The strains Stichococcus bacillaris Elster, 1998/28/51 (the polar strain isolated in Arctic periglacial soil in the vicinity of Ny-Ålesund, Svalbard) and Stichococcus bacillaris Hindák, 1984/15 (the temperate strain isolated in Lake Hafnersee, Austria) were used. Both strains were obtained from the Culture Collection of the Algal Laboratory (CCALA) in Třeboň, and pre-cultivated at 5–7°C for the polar strain and at 18–20°C for the temperate strain, under an irradiance of 50 µmol m−2 s−1 in Z-medium (Staub 1961).

The AGP and algal primary production rate (APPR) methodology (Lukavský 1992) was modified for the water samples of polar streams. The algae were cultivated in microplates (96 wells, flat bottoms) that were thoroughly washed in 1% (v/v) HCl and later in distilled water. The surrounding wells of the plate were filled with distilled water in order to decrease evaporation. The inner wells were filled with two samples, each sample in five columns with six wells. Each well contained a 200-µl sample. The columns were: the non-treated creek water sample (sample), creek water samples with varying enrichment levels (1) 1000 µg −N l−1 (+N), (2) 50 µg −P (+P), (3) a combination of 1000 µg −N l−1 and 50 µg −P l−1 (+NP) and (4) 1000 µg Na2-EDTA l−1. The additions of N and P were used to detect possible nitrogen and/or phosphorus limitations, and the addition of EDTA was used for the detection of any possible heavy metal inhibition. For the growth control, used as test validation, the strains were inoculated in a plate with the dilution series of the Z-medium (undiluted medium 1), 0.3, 0.1, 0.03, 0.01, 0.003, 0.001, 0.0003 and 0.0001 dilution factors, plus distilled water (0) as the negative control, each dilution in one column of six wells. As with the water samples, the volume of the medium was 200 µl in each well. All filled microplates were pre-sterilized by UV-C radiation for 2 h, and covered with lids and left in the dark overnight.

The pre-cultivated dense microalgal suspension of Stichococcus cells was washed by centrifugation in sterile 10-ml tubes at 315 g for 20 min to remove the medium. After the first centrifugation of the cell suspension in the medium, the cells were re-suspended in 0.5% (w/v) KCl in distilled water. This procedure was repeated twice. After washing, the cell density in 0.5% KCl was measured by cell counting in Bürker’s chamber, and the inoculum volume was calculated to get the initial concentration of 105 cells ml−1 to reach the lower detection limit of the plate reader (Kvíderová 2010). After inoculation, the plates were covered with transparent polyethylene food foil in order to reduce evaporation during cultivation.

The cultivation lasted until the stationary phase of the growth curve was reached in each treatment, which usually took 30–40 days. The polar strain was grown at 5–7°C, and the temperate strain at 23–25°C, both in a closed cultivation unit (Labio, Prague, Czech Republic). The polar strain growth temperature reflects natural Arctic conditions, while 25°C has been recommended as the standard temperature for the AGP/APPR tests. An irradiance of 15 µmol m–2 s−1 was used during the first two days of the experiment to acclimate the algae to the new cultivation conditions; thereafter, the irradiance was increased to 50 µmol m−2 s−1. The irradiance was measured by a PU-550 digital luxmeter (Metra Blansko, Bansko, Czech Republic) with the sensor modified for the measurement of photosynthetically active radiation in the range 400–700 nm. To prevent possible carbon depletion, the cultivation chamber of the unit was enriched with a 2% (v/v) CO2+air mixture and the microplates were shaken by a linear shaker at 50 rpm. The optical density at 750 nm (A750) was measured every second or third day by an iEMS automatic plate reader (LabSystems, Vantaa, Finland).

Values of A750 were converted to dry weight (DW, mg ml−1) according to conversion equations. See Kvíderová & Lukavský (2003) and Kvíderová (2010) for the conversion equation estimation procedure.

The equation for temperate Stichococcus bacillaris Hindák, 1984/15 is

The equation for polar Stichococcus bacillaris Elster, 1998/28/51 is

APG was determined as the highest observed DW content in the given sample at both 5°C (AGP5) and 25°C (AGP25). APPR was calculated as the slope of the linear regression of the lnDW versus time during the exponential phase of the growth curve (Kvíderová & Henley 2005) in each well of the microplate at both 5°C (APPR5) and 25°C (APPR25).

For a rough estimation of the gross primary production rate (µg C cm−2 h−1), the following assumptions were considered for the carbon content (µg C cm−2) calculation. The well bottom area of the microplate was colonized by all microalgal cells in the well and the carbon content of the DW was 50% (Padisák 2003).

Statistics

The tested null hypothesis stated that there were no effects of nutrient or EDTA additions on the standardized AGP or APPR values. The null hypothesis also stated that there were no differences in AGP and/or APPR between the strains in the growth control. Before processing the data, the measured A750 values were subjected to K-criterion statistics in order to exclude outliers; the K-criterion was performed for n=6 and significance level of 0.05 (Likeš & Laga 1978). The normality of the data was also tested and no transformation was required. The differences in AGP and/or APPR between the strains in the growth control were tested by t-test. The difference in AGP/APPR in individual control strains was tested by one-way ANOVA. Nutrient limitation (effect of nutrient addition) was tested by two-way ANOVA, and the heavy metal inhibition tests by one-way ANOVA, using Statistica 9.0 software (StatSoft, Tulsa, OK, USA). The comparison of strain-specific nutrient requirements was evaluated by a t-test for each dilution. The results were considered significant if the p-value was lower than 0.05.

Results

Nutrient content in samples

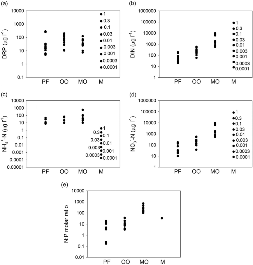
The range of nutrient concentrations in the water samples studied corresponds to the cultivation medium dilutions in the range from 0.0001 to 0.3 (Fig. 1). The DRP and DIN concentrations in the samples approximately correspond to media dilutions in the ranges 0.0003–0.1 (5–283 µg DRP l−1) and 0.0001–0.003 (20–185.9 µg DIN l−1) for the oligotrophic Petrified Forest Creek; 0.001–0.1 (10.5–195 µg DRP l−1) and 0.0003–0.01 (58.2–574 µg DIN l−1) for the oligotrophic reach of Ornithologist Creek, and finally 0.001–0.03 (7.45–124 µg DRP l−1), and 0.003–0.3 (583.3–9663 µg DIN l−1) for the reach of Ornithologist Creek influenced by penguin excrements. Concentrations of −N in the water samples of all three locations were always higher than in the Z-medium, that is, above 1.7 µg −N l−1. −N concentrations ranged from 7.78 to 44.8 µg −N l−1 in oligotrophic Petrified Forest Creek, from 10 to 66.6 µg −N l−1 for the oligotrophic reach of Ornithologist Creek, and from 10 to 571 µg −N l−1 for the mesotrophic reach of Ornithologist Creek influenced by penguin excrement. Concentrations of −N in the samples corresponds to media dilutions in the range 0.0001–0.003 (10–174 µg −N l−1) for the oligotrophic Petrified Forest Creek, 0.0003–0.01 (37.3–564 µg −N l−1) for the oligotrophic reach of Ornithologist Creek, and 0.003–0.3 (545–9560 µg −N l−1) for the mesotrophic reach of Ornithologist Creek influenced by penguin excrement. The Z-medium molar N:P ratio of 33.4 was higher than in the oligotrophic Petrified Forest Creek (0.17–19.1). The N:P ratio values in the oligotrophic reach of Ornithologist Creek ranged from 3.28 to 35.4 and were in the range of lower to slightly exceeding the N:P ratio of the Z-medium, indicating a possible nitrogen limitation in the oligotrophic Petrified Forest Creek and in the oligotrophic reaches of Ornithologist Creek. However, the Z-medium N:P ratio was lower than in the mesotrophic reach of Ornithologist Creek (101–712), indicating a possible phosphorus limitation.

Fig 1
Fig. 1  The nutrient concentration range of the water samples compared to medium dilutions. (a) Dissolved reactive phosphorus (DRP); (b) dissolved inorganic nitrogen (DIN); (c) −N, (d) −N; and (e) N:P ratio. The oligotrophic reach of Petrified Forest Creek is abbreviated to PF, the oligotrophic reach of Ornithologist Creek to OO and the mesotrophic reach of Ornithologist Creek influenced by penguin excrement to MO. M denotes medium. The number at each point indicates the dilution. The N:P ratio remains the same for all dilutions of the medium.

Strain-specific nutrient requirements

Data from the growth control plates revealed lower nutrient requirements of the polar strain (Fig. 2, Table 1). The AGP of the polar strain was zero (or close to zero) in dilutions from 0.01 to 0.0001 and in distilled water, and increased rapidly for Z-medium dilutions above 0.01. The maximum AGP at medium dilution of 0.3 was followed by a slight decline in the undiluted Z-medium, indicating possible nutrient over-saturation. The temperate strain AGP concentration was very low in Z-medium dilutions up to 0.03, and then the AGP rose continuously. No nutrient saturation or even oversaturation was observed in the temperate strain in undiluted Z-medium. The AGP of both strains varied at different nutrient concentrations, the polar strain started to grow with lower nutrients, that is, at higher Z-medium dilutions, and produced significantly higher biomass in Z-media dilutions in the range 0.03–0.3 compared to the temperate strain. In undiluted Z-medium, the AGP of the polar strain was lower than the AGP of the temperate strain (Fig. 2, Table 1).

Fig 2
Fig. 2  Comparison of (a) algal growth potential (AGP) and (b) algal primary productivity rate (APPR) of the two experimental strains measured in the nutrient concentration gradient. Circle outlines represent the polar strain and the filled circles represent the temperate strain. Each point corresponds to one microplate well. DW denotes dry weight.


Table 1 The growth of the experimental Stichococcus bacillaris strains expressed as the values (mean ± SD; n=6 in for each strain and dilution) of algal growth potential (AGP) and algal primary productivity rate (APPR) in the nutrient concentration gradient. The superscript letter(s)—a,b,c,d,e— in each strain and AGP/APPR indicates a homologous group recognized by Tukey honestly significant difference test at p=0.05 (n=6 in each nutrient treatment; the negative control—distilled water is always included in group a). The statistical significance of the differences between the strains evaluated by t-test (n= 6 for each strain and dilution) is identified with one asterisk for p<0.05, two asterisks for p<0.01 and three for p<0.001.
  AGP (mg dry weight ml−1) APPR (d−1)
Strain Arctic Temperate   Arctic Temperate  
Dilution
Undiluted Z-medium 0.098±0.050b 0.227±0.09c * 0.339±0.116b 0.413±0.099e  
0.3 0.139±0.022c 0.094±0.019b ** 0.326±0.064b 0.315±0.076e  
0.1 0.108±0.01bc 0.040±0.005ab *** 0.341±0.178b 0.279±0.063de  
0.03 0.102±0.020b 0.009±0.067a ** 0.333±0.081b 0.170±0.085bcd  
0.01 0.010±0.019a 0.014±0.004a   0.097±0.111a 0.269±0.130cde *
0.003 0.000±0.000a 0.007±0.002a *** 0.000±0.000a 0.099±0.049ab **
0.001 0.000±0.000a 0.007±0.002a *** −0.010±0.025a 0.0124±0.112abc *
0.0003 0.000±0.000a 0.007±0.001a *** −0.026±0.062a 0.093±0.026ab **
0.0001 0.000±0.000a 0.006±0.003a ** 0.000±0.000a 0.030±0.035ab  
Distilled water 0.000±0.000a 0.009±0.003a *** 0.017±0.029a 0.003±0.005a  

Similar responses of both strains to nutrient availability were observed for measurements of APPR (Fig. 2, Table 1). The APPR of the polar strain was negligible in Z-medium dilution of 0.01 or less. The APPR suddenly reached a maximum at Z-medium dilution of 0.03 and remained stable even in undiluted Z-medium. The APPR of the temperate strain was low at Z-medium dilutions up to 0.003 and increased continuously reaching its maximum at a Z-medium dilution of 0.3. At very high dilutions (0.01–0.0001), the polar strain had a lower APPR than the temperate one. In the dilution range from 0.3 to 0.03, in which the AGP of the polar strain was significantly higher, the APPRs of the polar and temperate strains were comparable (Fig. 2, Table 1).

The AGP and APPR of Antarctic stream waters

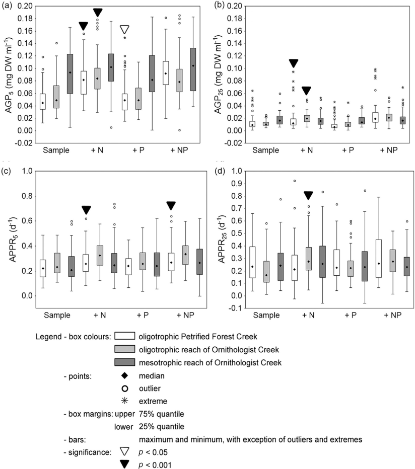
The AGP5 (polar strain) of the non-treated samples was higher than AGP25 (temperate strain) by 350% in the oligotrophic Petrified Forest Creek (one-way ANOVA, n=120, F=115.8, p<0.001; Table 2, Fig. 3), by 467% the oligotrophic reach of Ornithologist Creek (one-way ANOVA, n=120, F=172.7, p<0.001; Table 2, Fig. 3), and by 516% in the mesotrophic reach of Ornithologist Creek (one-way ANOVA, n=120, F=221.3, p<0.001; Table 2, Fig. 3).

Fig 3
Fig. 3  Algal growth potential (AGP) and algal primary productivity rate (APPR) measured at 5 and 25°C, respectively, for nutrient limitation determination. (a) AGP at 5°C (AGP5); (b) AGP at 25°C (AGP25); (c) APPR at 5°C (APPR5); and (d) APPR at 25°C (APPR25). Sample=non-treated sample; +N=enrichment by −N; +P=enrichment by −P; +NP=enrichment by −N and −P mixture. The outliners are defined as values higher than the 75% quantile+1.5×(75% quantile−25% quantile) or lower than the 25% quantile −1.5×(75% quantile–25% quantile), and extremes as values higher than the 75% quantile+3×(75% quantile–25% quantile) or lower than the 25% quantile–3×(75% quantile–25% quantile). The significance refers to statistical significance of the difference between the untreated sample and the nutrient-enriched one. DW denotes dry weight.


Table 2 Mean±SD and statistical significance (p) of algal growth potential (AGP) and algal primary productivity rate (APPR), evaluated by two-way ANOVA, n=240 for nutrient limitation (Sample, +N, +P and +NP treatments) and by one-way ANOVA, n=120 for heavy metal inhibition (Sample and+ethylenediaminetetraacetic acid [EDTA] treatments). AGP5 and AGP25 were determined at 5°C (the polar strain) and 25°C (the temperate strain) for the measured samples, respectively. The statistical significance of the differences between the treatments and the control is identified with one asterisk for p<0.05 and three asterisks for p<0.001.
  Samplea +Nb +Pc +NPd +EDTAe  
AGP5 (mg dry weight ml−1)
 Petrified Forest—oligotrophic 0.049±0.021 0.080±0.026*** 0.052±0.029* 0.093±0.030 0.042±0.022  
 Ornithologist—oligotrophic reach 0.056±0.026 0.089±0.033*** 0.054±0.024 0.084±0.036 0.046±0.023  
 Ornithologist—mesotrophic reach 0.093±0.038 0.099±0.036 0.093±0.039 0.103±0.040 0.087±0.032  

           
AGP25 (mg dry weight ml−1)
 Petrified Forest—oligotrophic 0.014±0.014 0.019±0.019*** 0.010±0.009 0.027±0.024*** 0.011±0.006  
 Ornithologist—oligotrophic reach 0.012±0.005 0.020±0.008*** 0.011± 0.007 0.022±0.009 0.010±0.005  
 Ornithologist—mesotrophic reach 0.018±0.010 0.017±0.010 0.016±0.007 0.019±0.012 0.016±0.008  

           
APPR5 (d−1)
 Petrified Forest—oligotrophic 0.233±0.093 0.278±0.112*** 0.240±0.086 0.284±0.119 0.236±0.108  
 Ornithologist—oligotrophic reach 0.265±0.105 0.324±0.112*** 0.281±0.103 0.327±0.104 0.309±0.127  
 Ornithologist—mesotrophic reach 0.234±0.130 0.278±0.147 0.266±0.136 0.288±0.139 0.235±0.105  

           
APPR25 (d−1)
 Petrified Forest—oligotrophic 0.281±0.183 0.245±0.169 0.274±0.159 0.300±0.172 0.225±0.165  
 Ornithologist—oligotrophic reach 0.207±0.135 0.308±0.154*** 0.235±0.119 0.277±0.126 0.194±0.112  
 Ornithologist—mesotrophic reach 0.259±0.169 0.286±0.187 0.258±0.176 0.244±0.122 0.307±0.184  
aNon-treated samples.
bEnrichment by −N.
cEnrichment by −P.
dEnrichment by −N and −P mixture.
eEnrichment by Na2-EDTA.

At low temperatures (5–7°C), the AGP5 of the mesotrophic reach of the Ornithologist Creek was higher by 48 and 40%, than AGP5 of oligotrophic Petrified Forest Creek and of the oligotrophic reach of Ornithologist Creek, respectively (one-way ANOVA, n=180, F=78.1, p<0.001; Fig. 3, Table 2). At moderate temperature (25°C), the AGP25 of the mesotrophic reach of the Ornithologist Creek was 23% higher and 33% lower than AGP25 of the oligotrophic Petrified Forest Creek and the oligotrophic reach of Ornithologist Creek, respectively (one-way ANOVA, n=180, F=21.2, p<0.001; Fig. 3, Table 2).

The N enrichment increased AGP5 (polar strain) by 63% in the oligotrophic Petrified Forest Creek and by 58% in the oligotrophic reach of Ornithologist Creek compared to AGP5 without any nutrient enrichment (Fig. 3, Table 2). Similarly, the AGP25 (temperate strain) also rose significantly after N enrichment by 35 and 66% compared to AGP25 without any nutrient enrichment in the two creeks specified above (Fig. 3, Table 2). The N addition did not affect the AGP5 or AGP25 in the mesotrophic reach of Ornithologist Creek (Fig. 3, Table 2).

The slightly positive effect of additional P, an increase of 6% as compared to AGP without any nutrient enrichment, was observed only in the oligotrophic Petrified Forest samples at 5°C. However, at 25°C, the stimulation effect of the P addition was not confirmed (Fig. 3, Table 2). The P enrichment did not affect the AGP5 and AGP25 in the oligotrophic and mesotrophic reaches of Ornithologist Creek (Fig. 3, Table 2).

The N+P treatment resulted only in significantly higher AGP (93%) as compared to AGP without any nutrient enrichment at 25°C in the oligotrophic Petrified Forest Creek (Fig. 3, Table 2). The addition of N+P did not increase the AGP5 and AGP25 of the oligotrophic samples from Ornithologist Creek or of the mesotrophic reach of Ornithologist Creek.

Despite the higher AGP5 in contrast to AGP25, the APPR5 (polar strain) of the non-enriched samples was lower than APPR25 (temperate strain) by 17% in oligotrophic Petrified Forest Creek (one-way ANOVA; n=120; F=4.85; P=0.029; Table 2, Fig. 3) and by 10% in the mesotrophic reaches of Ornithologist Creek (one-way ANOVA; n=118; F=78,0; p<0.001; Table 2, Fig. 3), with the exception of APPR5, which was higher by 28% in the oligotrophic reach of Ornithologist Creek (one-way ANOVA; n=120; F=6.73; p=0.011; Table 2, Fig. 3).

Similar to AGP5, APPR5 was stimulated by 19 and 22% in the oligotrophic Petrified Forest Creek and the oligotrophic reach of Ornithologist Creek, respectively (Fig. 3, Table 2), only by N enrichment. However, at 25°C, only the APPR25 of the oligotrophic reach of Ornithologist Creek was significantly increased (by 49%, Fig. 3, Table 2) and no effect was detected in the oligotrophic Petrified Forest Creek. In the mesotrophic reach of Oligotrophic Creek, the N addition did not affect the APPR5 or APPR25 (Fig. 3, Table 2).

In contrast to AGP5, no effect of P or N+P addition on APPR5 and APPR25 was observed either in the oligotrophic Petrified Forest Creek, or in the oligotrophic and mesotrophic part of Ornithologist Creek (Fig. 3, Table 2). The different response pattern of AGP and APPR at 5 and 25°C was probably caused by different nutrient requirements of the experimental strains mentioned above.

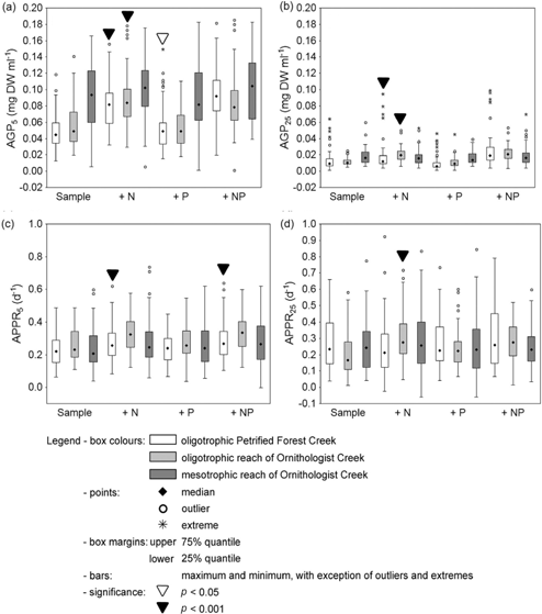
No statistically significant heavy metal inhibition of AGP and APPR was observed with either strain or at either temperature (Table 2, Fig. 4).

Fig 4
Fig. 4  Algal growth potential (AGP) and algal primary productivity rate (APPR) measured at 5 and 25°C, respectively, for the heavy metal inhibition test. (a) AGP at 5°C (AGP5); (b) AGP at 25°C (AGP25); (c) APPR at 5°C (APPR5); and (d) APPR at 25°C (APPR25). Sample=non-treated sample; +EDTA=enrichment by Na2-ethylenediaminetetraacetic acid. The outliners are defined as values higher than the 75% quantile+1.5×(75% quantile–25% quantile) or lower than the 25% quantile–1.5×(75% quantile–25% quantile), and extremes as values higher than the 75% quantile+3×(75% quantile–25% quantile) or lower than the 25% quantile–3×(75% quantile–25% quantile). DW denotes dry weight.

Correlation analysis confirmed that AGP was a good predictor of water trophic status, expressed as the molar sum of inorganic nitrogen in the form of −N and −N and inorganic phosphorus in the form of −P, at both temperatures (r2=0.788, p<0.001 for AGP5; r2=0.647, p<0.001 for AGP25). No such statistically significant correlations were found for APPR5 and APPR25.

The recalculated gross primary production rates, based on given assumptions and AGP5 and AGP25 values, corresponded to 0.003±0.002 and 0.003±0.002 µg C cm−2 h−1 in oligotrophic Petrified Forest Creek, 0.003±0.001 and 0.006±0.002 µg C cm−2 h−1 in the oligotrophic reach of Ornithologist Creek and 0.004±0.001 and 0.010±0.004 µg C cm−2 h−1 in the mesotrophic reach of Ornithologist Creek, respectively (mean+standard deviation, n=6).

Discussion

Comparison of in situ and in vivo measurements

Comparisons of standardized AGP and/or APPR with field primary production measurements will always be difficult, considering that the methods for gross primary production measurement used in polar hydro-terrestrial environments cannot easily be applied in laboratory experiments. There are several reasons why data from laboratory experiments and field measurements differ. First of all, our laboratory tests (AGP) were performed as batch cultivations under well-defined, stable conditions using defined algal strains, while in the Antarctic diverse microalgal/cyanobacterial stream community is adapted to local environmental conditions and the stream could be considered as continuous cultivation. Second, recalculation of the DW-to-carbon content can be inaccurate due to various assumptions; for example, for recalculation of DW to organic carbon we used a value of 50% (Padisák 2003). However, organic carbon content in the DW of Stichococcus strains could be higher and differ at different growth stages. The recalculated values of the gross primary production rates from our laboratory data are two or three orders of magnitude lower than previously measured field data. The gross periphyton primary production rate in polar streams (measured either as ash-free DW, oxygen production, or as 14C uptake) was in the range 0.39–4.53 µg C cm−2 h−1 (Vincent & Howard-Williams 1986; Hawes 1993; Hawes & Howard-Williams 1998; Elster & Komarek 2003). In addition, Elster & Komarek (2003) and Howard-Williams & Vincent (1989) also showed that benthic stream communities in Antarctica, either in the ponds of the McMurdo Ice Shelf or in the snow-melt streams on King George Island, were extremely rich in non-chlorophyll organic carbon. Even if it is considered that the phytoplankton primary production in polar lakes, expressed as the photosynthesis rate, is generally low compared to other cold waters (below 0.16–1.12 g C g−1 Chl a h−1; Markager et al. 1999). In addition, the phytoplankton biomass content is about one order of magnitude lower compared to the benthic community (Bonilla et al. 2005), therefore these field data are still higher than our laboratory measurements.

In spite of the differences mentioned above, comparison of the patterns observed in the field and the laboratory should reveal important information on ecosystem processes. We found such a discrepancy in the experimental data sets. While the relative primary productivity was lower in the mesotrophic reach of Ornithologist Creek in situ (Elster & Komarek 2003), its AGP values were higher in laboratory experiments, indicating the presence of some processes that impede microalgal/cyanobacterial growth in the field.

AGP and APPR assay

Although standardized laboratory tests do not include all environmental factors affecting primary production in the field, the introduced microplate method can essentially still be used for routine water trophic status monitoring and/or mineral nutrients limitation testing using AGP as the main evaluation parameter. In central Europe, various authors evaluated AGP in order to quantify the amounts of inorganic and organic compounds in water, ranging from katarobic to hypertrophic (Miller et al. 1978; Sládeček 1979; Marvan et al. 1981; Žáková 1986). Our data from Ornithologist Creek correspond to both oligotrophic (upper reach of the creek) and mesotrophic (lower reach of the creek influenced by penguin excrement) types, whereas water from the oligotrophic Petrified Forest Creek has an ultra- to oligotrophic character.

According to our results, AGP seems to be a good proxy for water trophic status even in a modified microassay due to a good correlation between the nutrient content and AGP at both experimental temperatures. In contrast to AGP, APPR does not seem to be a good predictor of water trophic status, especially in oligotrophic waters. Even though the APPR values follow those of the AGP, the pattern is not statistically significant. This is probably due to the spectrophotometric measurements being the basis of APPR estimates. The tested water samples had a very low nutrient content; the observed A750 values did not usually exceed 0.1 in the stationary phase. Experimental errors, which are approximately 10%, could hide the effects of individual treatments in the exponential growth phase. The significant differences in AGP and APPR at dilutions of 0.01 and lower were probably caused by the use of different brands of microplates, in terms of their absorbance at 750 nm, because AGP is estimated from A750 values. The difference in A750 could even reach 0.005–0.01, corresponding to 0.007–0.013 mg DW ml−1 in the polar strain and 0.004–0.009 mg DW ml−1 in the temperate strain (Kviderova, unpubl. data). Thus, the different brands of microplates can significantly affect the measurements in a much diluted medium. However, the data can be corrected by subtracting the values measured in filtered distilled water before data processing. Other methods for biomass content evaluation, for example chlorophyll fluorescence measurement, should increase the sensitivity of the AGP/APPR method. The application of fluorescence techniques can increase the sensitivity of the bioassay methods (Kvíderová 2010).

Growth requirements of experimental strains

Although the uptake kinetics and the exact individual nutrient requirements for both studied strains are not known in detail, the dilution series method revealed that the polar Stichococcus strain produces more biomass in lower nutrient concentrations than the temperate one. The control samples (Z-medium dilution series) revealed that the AGP of the polar strain had a higher value, in comparison with the temperate one, in Z-medium dilution range from 0.03 to 0.3, that is, nutrient concentrations similar to water samples. In addition, the AGP5 of the tested Antarctic stream water samples was significantly higher than AGP25. Since APPR5 and APPR25 are comparable at Z-medium dilutions of 0.3 to 0.03, it seems that Arctic S. bacillaris is better adapted to low nutrient conditions, possibly due to higher nutrient uptake efficiency and/or better utilization of mineral nutrients. The adaptation of nutrients uptake or nutrients utilization may reflect the conditions at the original localities. The polar strain was isolated from newly deglaciated soil (in the vicinity of Ny-Ålesund in Svalbard) in a nutrient-poor and low-temperature environment. In similar ecosystems, nutrient concentrations range from 0.2 to 0.84 g Ntot kg−1 in soil, and up to 15 mg Ptot kg−1 in soil under a cyanobacterial mat (Liengen & Olsen 1997), and can reach values of up to 52.5 ppm NO3 and 0.14 ppm P2O5 (Minami et al. 1996). However, the temperate strain was isolated from slightly mesotrophic Lake Hafnersee, Austria where the −N concentrations ranged from 231 to 2550 µg l−1 at a depth of 10 m, and the −N concentration ranged from 39 to 832 µg l−1 at a depth range of 0–6 m, while phosphorus concentrations (as Ptot) ranged from 8 to 30 µg l−1 at a depth range of 0–10 m in 2006 (Schulz et al. 2007). Since the negative effect of elevated nitrogen on microalgal growth was proven in polar soil Chlorella-like species (Shukla et al. 2011), the inhibition of polar Stichococcus strain growth in high nutrient content seems to be possible.

AGP of polar stream water samples

The AGP5 and AGP25 of the ultra- to oligotrophic Petrified Forest Creek and the oligotrophic reach of Ornithologist Creek were significantly lower than the mesotrophic waters of Ornithologist Creek influenced by the penguin rookery, indicating lower nutrient content in the ultra- to oligotrophic samples. Mineral nutrient content in the water samples was the principal factor influencing primary production of the Antarctic freshwater ecosystem with N and P being the most important limiting nutrients (Elster & Komarek 2003). It has been shown that Antarctic hydro-terrestrial ecosystems (lotic—lakes and pools, and lentic—streams) differ in nutrient (N and P) limitations. Laybourn-Parry (2003) concluded that most Antarctic lake phytoplankton systems are limited by phosphorus, while nutrient limitation has only a minor effect on periphyton growth in benthic communities (Hawes & Howard-Williams 1998; Elster & Komarek 2003). Similar results were also observed in High Arctic lakes; nutrient limitation was proven only for phytoplankton, probably promoting the growth of chlorophyte and chromophyte microalgae, while the benthic community seems to be insensitive to the addition of nutrients (Bonilla et al. 2005). Several studies of Antarctic streams concluded that mineral nutrient limitation appears to have a minor effect on periphyton growth in a lotic ecosystem, indicating that the periphyton does not likely affect nutrient limitation in both lotic and lentic habitats (Vincent & Howard-Williams 1986; Howard-Williams & Vincent 1989; Hawes & Brazier 1991; Vincent et al. 1993; Hawes & Howard-Williams 1998; Elster & Komarek 2003).

The N and P concentrations and their ratio define the AGP, APPR and species composition. The N:P ratio should be a good indicator of nutrient limitation. The high N:P ratio results in P limitation, and vice versa and N is the limiting nutrient when this ratio is low. The optimum ratio is species specific, with the average being around 15 (Rhee & Gotham 1980; Stelzer & Lamberti 2001). However, the optimum N:P ratio for the tested strains of Stichococcus is not known. Elster & Komarek (2003) showed that the water of ultra- to oligotrophic Petrified Forest Creek has poor DIN, which results in a low N:P ratio. The lack of inorganic nitrogen could have a negative effect on periphyton growth in situ. Our laboratory experiments, based on a standardized method of AGP testing (Lukavský 1992), indeed directly suggested N limitation in the ultra- to oligotrophic samples. The amount of added N was enough to increase the N:P ratio in favour of higher microalgal production, due to greater P availability. In contrast, in the mesotrophic reach of Ornithologist Creek, where penguin excrement fertilizes the stream (mesotrophic water) through the addition of nitrates, periphyton growth was probably negatively influenced by a relative lack of phosphorus (low DRP concentration and high N:P ratio [Elster & Komarek 2003]). Also, further N enrichment of the mesotrophic water from Ornithologist Creek did not affect AGP, because the nitrogen content was already high and possibly even toxic.

The observed DRP concentrations are generally not limiting for microalgal growth (Grover 1989) and are comparable with oligotrophic and mesotrophic water types. In our experiments, the addition of P did not increase microalgal growth, since further additions decreased the low N:P ratio and N availability in the oligotrophic Petrified Forest Creek and the oligotrophic reach of Ornithologist Creek. The N:P ratio in the mesotrophic reach of Ornithologist Creek is one to two orders of magnitude higher than in the ultra- to oligotrophic waters. The addition of P could lead to increased microalgal productivity and decrease the extremely high N:P ratio caused by high N concentration from bird excrement. However, P enrichment did not result in the expected increase of microalgal production in our experiments, probably because the amount of added P (50 µg l−1) was too low to substantially change the N:P ratio.

In contrast to the laboratory water trophic status evaluation, the higher primary production was observed in the oligotrophic Petrified Forest Creek and the oligotrophic reach of Ornithologist Creek (Elster & Komarek 2003). Several possible factors that could limit the periphyton growth in the mesotrophic reach of Ornithologist Creek were proposed: P limitation, toxic N concentration, presence of other toxic compounds, periphyton competition with guano-decomposing bacteria for nutrients, etc. (Elster & Komarek 2003). The possible P limitation, indicated by high N:P ratio, was not detected, but could not be ruled out either, by P enrichment in our experiments (see discussion above). High nitrogen concentrations were probably not toxic to the periphyton community in the field, since in our experiment the highest AGP5 and AGP25 values were observed in the mesotrophic reach of Ornithologist Creek.

Although data on nitrogen toxicity are not common, the effect depends on the chemical form of nitrogen and on the experimental strain. Generally, the growth inhibition occurs at nitrogen concentrations higher than 5–17 mg N l−1 (Chu 1943). However, the range is much broader for different microalgae. For example, growth inhibition of Desmodesmus (Scencedesmus) quadricauda by nitrogen occurred at concentrations above ca. 300 mg N l−1 (Přibil & Marvan 1970), while growth of Chlorella vulgaris was inhibited at concentrations above 31.5 mg l−1 (Venkataraman 1969 and references therein). For the experimental Arctic Stichococcus strain, the inhibition should occur at concentrations above 25 mg DIN l−1. No inhibition was observed in the temperate strain, indicating different nutrient requirements.

Heavy metal inhibition

Any heavy metal growth inhibition could be detected by Micromethod of evaluation of water toxicity and AGP by a growth bioassay; TNV 757741 (Lukavský et al. 1995) and the presence of the heavy metals has been considered as one factor which could have decreased relative algal primary production measured in situ (Elster & Komarek 2003). Relatively high heavy metal concentrations were found in some inhabited Antarctic areas (Claridge et al. 1995; Sheppard et al. 1997). Selected Antarctic regions are also naturally enriched with Cd from the upwelling of marine sediment (Honda et al. 1987; Bargagli et al. 1996). Additionally, in the Antarctic, the negative effect of heavy metals could have been multiplied by other natural stress factors (Mayer et al. 1998). Mercury accumulation observed in penguin rookeries (Bargagli, Monaci et al. 1998) could have been one of the possible explanations for the lower productivity in that reach of Ornithologist Creek influenced by the penguin excrement (Elster & Komarek 2003). In our experiments, heavy metal inhibition was not identified in any of the oligotrophic and mesotrophic types of water samples, so heavy metal inhibition can be excluded as a cause of lower periphyton productivity in the mesotrophic reach.

Other non-tested factors affecting primary production in situ

The results of the AGP assay confirmed higher available nutrient content and excluded heavy metal inhibition in the reach of Ornithologist Creek influenced by penguin excrement, so other mechanisms for the depression of primary production in situ must be considered. Competition for nutrients between primary producers (microalgae and cyanobacteria) and guano-decomposing bacteria remains the most probable explanation for the decreased primary production in the mesotrophic part of Ornithologist Creek observed in situ (Elster & Komarek 2003).

The interactions between bacteria and primary producers (microalgae and cyanobacteria) are complex and influenced by environmental conditions, for example, nutrient input, nutrient stoichiometric imbalance or UV radiation, especially in oligotrophic environment (Cole 1982; Carrillo et al. 2002; Cotner & Biddanda 2002; Danger et al. 2007). Bacteria could inhibit phytoplankton growth due to competition for nutrients (Rhee 1972; Currie & Kalff 1984; Jansson 1993; Joint et al. 2002) or due to the production of inhibitory compounds such as antibiotics (Lemos et al. 1985), oxychlororaphine and 1-hydroxyphenazine (Dakhama et al. 1993) or spore germination inhibitors (Egan et al. 2001) that suppress algal growth. The presence of ecologically significant bacterial biomass in the mesotrophic reach of Ornithologist Creek, probably originating from the penguin rookery, is likely (Elster & Komarek 2003); these bacteria could out-compete the primary producers for available nutrients.

Application of the proposed method

The strong correlation of the standardized values of AGP and the water nutrient load in oligotrophic and mesotrophic stream waters indicates that a standardized procedure for water trophic status determination, in this case AGP, can provide standardized reference points for a similar exploration of other shallow freshwater ecosystems across both polar regions (localities with similar and/or the same geological substrate type), which themselves form a natural gradient of climate change. Since the weathering rate is linearly correlated with average air temperature (Barnes et al. 2006; Convey et al. 2009), temperature increase will likely speed up the melting rate of glaciers and the weathering rate of geological bedrock. A study at eight Icelandic glaciated and non-glaciated catchments (Gislason et al. 2009) found an 8–30% increase in the mechanical weathering rate and a 4–14% increase in the chemical weathering rate for each Celsius degree of temperature increase. It seems probable that the weathering processes will affect the load and availability of nutrients to primary producers.

Using the method presented in this article, it should be possible to easily, accurately and comprehensively monitor the changing availability of mineral nutrients for cyanobacteria/microalgae growth, which is likely to occur with continued global warming. The field study of the chemical and biological water properties of hydro-terrestrial environments should combine laboratory measurements of the standardized AGP, and the results of both field and laboratory methods should be important indicators of the expected climate changes. Field studies include periphyton species composition and their spatial distribution, water mineral nutrients content, periphyton primary production and decomposition rates, zoobenthos composition and grazing rates. These results, especially those of repeated measurements at the same sites, should be stored in databases together with geographic information system data. Field observation data sets and standardized values of defined parameters, such as those proposed for the AGP values in this study, would become a valuable tool to assess changes or trends in spatial and/or temporal scales in polar streams. Long-term observations will provide data for models of the possible effects of climate change on polar hydro-terrestrial ecosystems.

Acknowledgements

The authors thank Dr. Ondřej Komárek for the samples provided, Ms. Diana Jerkovicová for the measurements of AGP and APPR at 5°C and the personnel of the Analytical Laboratory of the Institute of Botany in Třebon for nutrient analyses of the stream water samples. They are very grateful to Mrs. Jana Šnokhousová for her technical assistance. They also thank all reviewers for their critical comments. Language correction was carried out by Keith Edwards. This research was supported by a project from the Grant Agency of the Academy of Sciences of the Czech Republic (grant no. KJB600050708) and by projects from the Ministry of Education of the Czech Republic (Kontakt ME 934, ME 945 and LM2010009 CzechPolar), by project reg. no. CZ.1.07/2.2.00/28.0190 funded by the European Social Fund and from the government budget of the Czech Republic, and as a long-term research development project no. RVO 67985939.

References

Anisimov O.A., Vaughan D.G., Callaghan T.V., Furgal C., Marchant H., Prowse T.D., Vilhjálmsson H. & Walsh J.E. 2007. Polar regions (Arctic and Antarctic). In M.L. Parry et al. (eds.): Climate change 2007: Impacts, adaptation and vulnerability. Contribution of working group II to the fourth assessment report of the intergovernmental panel on climate change. Pp. 653–685. Cambridge: Cambridge University Press.

ASTM International. 2004. Practise for algal growth potential testing with Pseudokirschneriella subcapitata; ASTM D3 978–04. West Conshohocken, PA: ASTM International.

Bargagli R. 2001. Trace metals in Antarctic organisms and the development of circumpolar biomonitoring networks. Reviews of Environmental Contamination and Toxicology 171, 53–110.

Bargagli R., Monaci F., Sanchez-Hernandez J.C. & Cateni D. 1998. Biomagnification of mercury in an Antarctic marine coastal food web. Marine Ecology Progress Series 169, 65–76. Publisher Full Text

Bargagli R., Nelli L., Ancora S. & Focardi S. 1996. Elevated cadmium accumulation in marine organisms from Terra Nova Bay (Antarctica). Polar Biology 16, 513–520. Publisher Full Text

Bargagli R., Sanchez-Hernandez J.C., Martella L. & Monaci F. 1998. Mercury, cadmium and lead accumulation in Antarctic mosses growing along nutrient and moisture gradients. Polar Biology 19, 316–322. Publisher Full Text

Barnes D.K.A., Hodgson D.A., Convey P., Allen C.S. & Clarke A. 2006. Incursion and excursion of Antarctic biota: past, present and future. Global Ecology and Biogeography 15, 121–142. Publisher Full Text

Benstead J.P., Deegan L.A., Peterson B.J., Huryn A.D., Bowden W.B., Superkropp K., Buzby K.M., Green A.C. & Vacca J.A. 2005. Responses of a beaded Arctic stream to short-term N and P fertilization. Freshwater Biology 50, 277–290. Publisher Full Text

Bernal-Brooks F.W., Davalos-Lind L. & Lind O.T. 2003. Seasonal and spatial variation in algal growth potential and growth-limiting nutrients in a shallow endorheic lake: Lake Pátzcuaro (Mexico). Lakes & Reservoirs: Research & Management 8, 83–93. Publisher Full Text

Bonilla S., Villeneuve V. & Vincent W.F. 2005. Benthic and planktonic algal communities in a High Arctic Lake: pigment structure and contrasting responses to nutrient enrichment. Journal of Phycology 41, 1120–1130. Publisher Full Text

Carrillo P., Medina-Sanchez J.M. & Villar-Argaiz M. 2002. The interaction of phytoplankton and bacteria in a high mountain lake: importance of the spectral composition of solar radiation. Limnology and Oceanography 47, 1294–1306. Publisher Full Text

Chu S.P. 1943. The influence of the mineral composition of the medium on the growth of planktonic algae: part II. The influence of the concentration of inorganic nitrogen and phosphate phosphorus. Journal of Ecology 31, 109–148. Publisher Full Text

Claridge G.G.C., Cambell I.B., Powell H.K.J., Amin Z.H. & Balks M.R. 1995. Heavy metal contamination in some soils of the McMurdo Sound region, Antarctica. Antarctic Science 7, 9–14. Publisher Full Text

Cole J.J. 1982. Interactions between bacteria and algae in aquatic ecosystems. Annual Review of Ecology and Systematics 13, 291–314. Publisher Full Text

Convey P., Bindschadler R., di Prisco G., Fahrbach E., Gutt J., Hodgson D.A., Mayewski P.A., Summerhayes C.P., Turner J. & ACCE Consortium 2009. Antarctic climate change and the environment. Antarctic Science 21, 541–563. Publisher Full Text

Cook A.J., Fox A.J., Vaughan D.G. & Ferringo J.G. 2005. Retreating glacier fronts on the Antarctic Peninsula over the past half-century. Science 308, 541–544. PubMed Abstract | Publisher Full Text

Cotner J.B. & Biddanda B.A. 2002. Small players, large role: microbial influence on biogeochemical processes in pelagic aquatic ecosystems. Ecosystems 5, 105–121. Publisher Full Text

Currie D.J. & Kalff J. 1984. A comparison of the abilities of freshwater algae and bacteria to acquire and retain phosphorus. Limnology and Oceanography 29, 298–310. Publisher Full Text

Dakhama A., Noue J. & Lavoie M. 1993. Isolation and identification of antialgal substances produced by Pseudomonas aeruginosa. Journal of Applied Phycology 5, 297–306. Publisher Full Text

Danger M., Leflaive J., Oumarou C., Ten-Hage L. & Lacroix G. 2007. Control of phytoplankton–bacteria interactions by stoichiometric constraints. Oikos 116, 1079–1086.

Edwards A.C., Cook Y., Smart R. & Wade A.J. 2000. Concentrations of nitrogen and phosphorus in streams draining the mixed land-use Dee Catchment, north-east Scotland. Journal of Applied Ecology 37, 159–170. Publisher Full Text

Egan S., James S., Holmstrom C. & Kjelleberg S. 2001. Inhibition of algal spore germination by the marine bacterium Pseudoalteromonas tunicata. FEMS Microbiology Ecology 35, 67–73. PubMed Abstract | Publisher Full Text

Elster J. 2002. Ecological classification of terrestrial algal communities in polar environments. In L. Beyer & M. Botler (eds.): Geoecology of Antarctic ice-free coastal landscapes. Pp. 303–326. Berlin: Springer.

Elster J. & Benson E.E. 2004. Life in the polar terrestrial environment with a focus on algae and cyanobacteria. In B.J. Fuller et al. (eds.): Life in the frozen state. Pp. 111–150. Boca Raton, FL: CRC Press.

Elster J. & Komarek O. 2003. Ecology of periphyton in a meltwater stream ecosystem in the maritime Antarctica. Antarctic Science 15, 189–201. Publisher Full Text

Elster J. & Svoboda J. 1995. In situ simulation and manipulation of a glacial stream ecosystem in the Canadian High Arctic. In D. Jenkins et al. (eds.): Ecosystem manipulation experiments: scientific approaches, experimental design and relevant results. Pp. 254–263. Brussels: Commission of the European Communities, Institute of Hydrology, UK and Environment Canada.

Elster J., Svoboda J. & Kanda H. 2001. Controlled environmental platform used in temperature manipulation study of a stream periphyton in the Ny-Alesund, Svalbard. In J. Elster et al. (eds.): Algae and extreme environments. Pp. 63–75. Stuttgart: Cramer.

Gislason S.R., Oelkers E.H., Eiriksdottir E.S., Kardjilov M.I., Gisladottir G., Sigfusson B., Snorrason A., Elefsen S., Hardardottir J., Torssander P. & Oskarsson N. 2009. Direct evidence of the feedback between climate and weathering. Earth and Planetary Science Letters 277, 213–222. Publisher Full Text

Grover J.P. 1989. Phosphorus-dependent growth kinetics of 11 species of freshwater algae. Limnology and Oceanography 34, 341–348. Publisher Full Text

Hawes I. 1989. Filamentous green algae in freshwater streams on Signy Island, Antarctica. Hydrobiologia 172, 1–18. Publisher Full Text

Hawes I. 1993. Photosynthesis in thick cyanobacterial films: a comparison of annual and perennial Antarctic mat communities. Hydrobiologia 252, 203–209. Publisher Full Text

Hawes I. & Brazier P. 1991. Freshwater stream ecosystems of James Ross Island, Antarctica. Antarctic Science 3, 265–271. Publisher Full Text

Hawes I. & Howard-Williams C. 1998. Primary production processes in streams of the McMurdo Dry Valleys, Antarctica. In J.C. Priscu (ed.): Ecosystem dynamics in a polar desert: the McMurdo Dry Valleys, Antarctica. Pp. 129–140. Washington, DC: American Geophysical Union. Pp.

Honda K., Yamamoto Y. & Tatsukawa R. 1987. Distribution of heavy metals in Antarctic marine ecosystem. Proceedings of the NIPR Symposium on Polar Biology 1, 184–197.

Howard-Williams C., Vincent L., Broady P.A. & Vincent W.F. 1986. Antarctic stream ecosystems: variability in environmental properties and algal community structure. Internationale Revue der Gesampten Hydrobiologie 71, 511–544. Publisher Full Text

Howard-Williams C. & Vincent W.F. 1989. Microbial communities in southern Victoria Land streams (Antarctica) I. Photosynthesis. Freshwater Biology 16, 219–233.

Jansson M. 1993. Uptake, exchange, and excretion of orthophosphate in phosphate-starved Scenedesmus quadricauda and Pseudomonas K7. Limnology and Oceanography 38, 1162–1178. Publisher Full Text

Joint I., Henriksen P., Fonnes G.A., Bourne D., Thingstad T.F. & Riemann B. 2002. Competition for inorganic nutrients between phytoplankton and bacterioplankton in nutrient manipulated mesocosms. Aquatic Microbial Ecology 29, 145–159. Publisher Full Text

Karlberg B. & Twengstrom S. 1983. Application based on gas diffusion and flow injection analysis. Focus 6, 14.

Kawecka B. & Olech M. 1993. Diatom communities in the Vanishing and Ornithology Creek, King George Island, South Shetlands, Antarctica. Hydrobiologia 269/270, 327–333. Publisher Full Text

King J.C. 1994. Recent climate variability in the vicinity of the Antarctic Peninsula. International Journal of Glaciology 14, 357–369.

Komárek J. 1999. Diversity of cyanoprokaryotes (cyanobacteria) of King George Island, maritime Antarctica: a survey. Algological Studies 129, 181–193.

Kvíderová J. 2010. Rapid algal toxicity assay using variable chlorophyll fluorescence for Chlorella kesslerii (Chlorophyta). Environmental Toxicology 25, 554–563. Publisher Full Text

Kvíderová J. & Henley W.J. 2005. The effect of ampicillin plus streptomycin on growth and photosynthesis of two halotolerant chlorophyte algae. Journal of Applied Phycology 17, 301–307. Publisher Full Text

Kvíderová J. & Lukavský J. 2003. The cultivation of Phaeodactylum tricornutum in crossed gradients of temperature and light. Algological Studies 110, 67–80. Publisher Full Text

Kvíderová J. & Lukavský J. 2005. The comparison of ecological characteristics of Stichococcus (Chlorophyta) strains isolated from polar and temperate regions. Algological Studies 118, 127–140. Publisher Full Text

Laybourn-Parry J. 2003. Polar limnology—the past, the present and the future. In A.H.L. Huiskes et al. (eds.): Antarctic biology in a global context. Pp. 321–329. Leiden: Backhuys Publishers.

Lemos M.L., Toranzo A.E. & Barja J.L. 1985. Antibiotic activity of epiphytic bacteria isolated from intertidal seaweeds. Microbial Ecology 11, 149–163. Publisher Full Text

Liengen T. & Olsen R.A. 1997. Nitrogen fixation by free-living cyanobacteria from different coastal sites in a High Arctic tundra, Spitzbergen. Arctic and Alpine Research 29, 470–477. Publisher Full Text

Likeš J. & Laga J. 1978. Kritéria pro odlehlá pozorování. (Criteria for outliers.) In J. Likeš & J. Laga (eds.): Základní statistické tabulky. (Basic statistical tables.) Pp. 182–185. Prague: State Publishing House of Technical Literature.

Lukavský J. 1992. The evaluation of algal growth potential (AGP) and toxicity of water by miniaturized growth bioassay. Water Research 26, 1409–1413. Publisher Full Text

Lukavský J., Maršálek B. & Fremlová L. 1995. Mikrometoda stanovení toxicity a trofického potenciálu růstovým testem. (Micromethod of evaluation of water toxicity and algal growth potential by a growth bioassay.) Odvětvová technická norma vodního hospodářství TNV 75 77 41. Prague: Czech Office for Standards, Metrology and Testing.

Luscinska M. & Kyc A. 1993. Algae inhabiting creeks in the region of “H. Arctowski” Polish Antarctic Station, King George Is., South Shetlands. Polish Polar Research 14, 393–405.

Markager S., Vincent W.F. & Tang E.P.Y. 1999. Carbon fixation by phytoplankton in High Arctic lakes: implications of low temperature for photosynthesis. Limnology and Oceanography 44, 597–607. Publisher Full Text

Marvan P., Sládečková A. & Žáková Z. 1981. A proposal to a standard procedure for AGP evaluation. Vodní hospodářství B 31, 5–8.

Mayer P., Frickmann J., Christensen E.R. & Nyholm N. 1998. Influence of growth conditions on the results obtained in algal toxicity assays. Environmental Toxicology and Chemistry 17, 1091–1098. Publisher Full Text

McCormick P.V. & Stevenson R.J. 1998. Periphyton as a tool for ecological assessment and management in the Florida Everglades. Journal of Phycology 34, 726–733. Publisher Full Text

Miller W.E., Greene J. & Shiroyama T. 1978. The Selenastrum capricornutum PRINTZ algal assay bottle test. Corvallis, OR: US Environmental Protection Agency.

Minami Y., Kanda H. & Masuzawa T. 1996. The relationship between distribution of bryophytes and soil conditions on deglaciated Arctic terrain in Ny-Alesund. Proceedings of the NIPR Symposium on Polar Biology 9, 307–312.

Padisák J. 2003. Phytoplankton. In P.E. O’Sullivan & C.S. Reynolds (eds.): The lakes handbook. Limnology and limnetic ecology. Pp. 251–308. Oxford: Blackwell.

Peršić V. & Horvatić J. 2011. Spatial distribution of nutrient limitation in the Danube River Floodplain in relation to hydrological connectivity. Wetlands 31, 933–944. Publisher Full Text

Proctor C.M. & Hood A.R. 1954. Determination of phosphate in sea water by an iso-butanol extraction procedure. Journal of Marine Research 13, 112–132.

Přibil S. & Marvan P. 1970. Uptake of nitrogen. In J. Nečas & O. Lhotský (eds.): Annual report of the Laboratory of Algology for the year 1969. Pp. 99–102. Třeboň: Institute of Microbiology, Academy of Sciences of the Czech Republic.

Rhee G.Y. 1972. Competition between an alga and an aquatic bacterium for phosphate. Limnology and Oceanography 17, 505–514. Publisher Full Text

Rhee G.-Y. & Gotham I.J. 1980. Optimum N:P ratio and coexistence of planktonic algae. Journal of Phycology 16, 486–489. Publisher Full Text

Rivera A., Casassa G., Thomas R., Rignot E., Zamora R., Antunez D., Acuna C. & Orderes F. 2005. Glacier wastage on Southern Adelaide Island, Antarctica, and its impact on snow runway operations. Annals of Glaciology 41, 57–62. Publisher Full Text

Růžicka J. & Hansen E.H. 1981. Flow injection analysis. New York: John Wiley.

Sheppard D.S., Deely J.M. & Edgerley W.H.L. 1997. Heavy metal content of meltwaters from the Ross Dependency, Antarctica. New Zealand Journal of Marine and Freshwater Research 31, 313–325. Publisher Full Text

Shukla S.P., Kvíderová J. & Elster J. 2011. Nutrient requirements of polar Chlorella-like species. Czech Polar Reports 1, 1–10. Publisher Full Text

Schulz L., Reichmann M., Ambros M., Rauter A. & Fresner A. 2007. Karntner Seenbericht 2007. (Karntner Lake report 2007.). Klagenfurt am Worthersee, Austria: Carinthian Institute for Lake Research.

Sládecek V. 1979. Biologické hodnocení trofie a eutrofizace. (Biological evaluation of trophy and eutrophication.) Paper presented at the 5th conference of the Czechoslovakian Limnological Society. 11–13 September 1979, Ústí nad Labem, Czechoslovakia.

Smith R.I.L. 1990. Signy Island as a paradigm of biological and environmental change in Antarctic terrestrial ecosystems. In K.R. Kerry & G. Hempel (eds.): Antarctic ecosystem, ecological change and conservation. Pp. 32–50. Berlin: Springer.

Staub R. 1961. Ernahrungsphysiologisch-autokologische Untersuchungen an der planktonische Blaualge Ocillatoria rubescens DC. (Study of nutrition physiology and autecology of planktic blue-green alga Oscillatoria rubescens DC.) Schweizerische Zeitschrift für Hydrologie 23, 82–198.

Stelzer R.S. & Lamberti G.A. 2001. Effects of N:P ratio and total nutrient concentration on stream periphyton community structure, biomass and elemental composition. Limnology and Oceanography 646, 356–367. Publisher Full Text

US EPA (US Environmental Protection Agency). 2002. Methods for evaluating wetland condition: using algae to assess environmental conditions in wetlands. EPA-822-R-02-021. Washington, DC: Office of Water, US Environmental Protection Agency.

Venkataraman G.S. 1969. The cultivation of algae. New Dehli: Indian Council of Agricultural Research.

Vincent W.F. 1988. Microbial ecosystems of Antarctica. Cambridge: Cambridge University Press.

Vincent W.F. & Howard-Williams C. 1986. Antarctic stream ecosystems: physiological ecology of a blue-green algae periphyton. Freshwater Biology 16, 216–233.

Vincent W.F., Howard-Williams C. & Broady P.A. 1993. Microbial communities and processes in Antarctic flowing waters. In E.I. Friedmann (ed.): Antarctic microbiology. Pp. 543–569. New York: Wiley-Liss.

Vincent W.F. & James M.R. 1996. Biodiversity in extreme aquatic environments: lakes, ponds and streams of Ross Sea Sector, Antarctica. Biodiversity and Conservation 5, 1451–1471. Publisher Full Text

Vincent W.F. & Laybourn-Parry J. (eds.) 2008. Polar lakes and rivers: limnology of Arctic and Antarctic ecosystems. Oxford: Oxford University Press.

Žáková Z. 1986. Criteria of evaluation of trophy, classification, mapping. In O. Lhotský et al. (eds.): Algal assays and their application. Pp. 41–47. Brno, Czech Republic: ČSVTS.