RESEARCH/REVIEW ARTICLE

Isolation and description of a globally distributed cryosphere cyanobacterium from Antarctica

Ji Won Hong,1,2 Sung Hong Kim,3 Han-Gu Choi,4 Sung-Ho Kang5 & Ho-Sung Yoon1,2

1 Department of Biology, Kyungpook National University, Daegu 702-701, South Korea
2 Advanced Bio-resource Research Center, Kyungpook National University, Daegu 702-701, South Korea
3 Analysis Research Division, Daegu Center, Korea Basic Science Institute, Daegu 702-701, South Korea
4 Division of Life Sciences, Korea Polar Research Institute, Incheon 406-840, South Korea
5 Division of Polar Climate Research, Korea Polar Research Institute, Incheon 406-840, South Korea

Abstract

A previously uncultured cyanobacterium, strain KNUA009, was axenically isolated from a meltwater stream on Barton Peninsula, King George Island, South Shetland Islands, Antarctica. Molecular evidences showed that the isolate belongs to groups of globally distributed cryosphere cyanobacterial clones and this new isolate represents the first laboratory culture to be assigned to these groups. Strain KNUA009 was able to thrive at low temperatures ranging between 5°C and 20°C, but did not survive at temperatures of 25°C and above. As the isolate morphologically resembled Oscillatoria species, it is suggested that this cyanobacterium may represent a new species clade with cold resistance within the genus Oscillatoria.

Keywords
Barton Peninsular; cryosphere cyanobacteria; King George Island; uncultured Oscillatoria species.

Correspondence
Ho-Sung Yoon, Department of Biology, Kyungpook National University, Daegu 702-701, South Korea. E-mail: hyoon@knu.ac.kr

(Published: 8 August 2013)

Polar Research 2013. © 2013 J.W. Hong et al. This is an open-access article distributed under the terms of the Creative Commons Attribution-Noncommercial 3.0 Unported License (http://creativecommons.org/licenses/by-nc/3.0/), permitting all non-commercial use, distribution, and reproduction in any medium, provided the original work is properly cited.

Citation: Polar Research 2013, 32, 18529, http://dx.doi.org/10.3402/polar.v32i0.18529

 

Cyanobacteria are distributed in a wide variety of environmental niches playing an indispensable role in global carbon and nitrogen cycles. Due to their remarkable tolerance to a great range of environmental conditions, cyanobacteria are abundant in almost every conceivable environment, including polar and alpine habitats (Whitton & Potts 2000; Vincent 2007). It is therefore not surprising that cyanobacterial accumulations have been routinely observed in the cryosphere as the dominant phototrophs contributing a major component of the total ecosystem biomass (Vincent 1988; Broady 1996; Wynn-Williams 1996). This dominance is probably accounted for their high tolerance for the extreme conditions such as freeze–thaw cycles, UV radiation and large variations in nutrients.

Accordingly, high-altitude and high-latitude cyanobacteria are of special interest and several studies have focused on the cyanobacterial diversity of microbial mats in polar lakes and ponds based on both morphological and molecular approaches (Tang et al. 1997; Nadeau et al. 2001; Taton et al. 2006). Even though recent culture-independent molecular techniques have successfully been applied for assessing cyanobacterial diversity in the Antarctic ecosystems (Taton et al. 2003; Wood et al. 2008), the isolation and characterization of cyanobacterial strains still remain extremely important for many fields of research. Furthermore, the numbers of Antarctic cyanobacterial strains in culture collections and molecular data in public databases available are still very limited. Hence, polyphasic studies of culturable Antarctic cyanobacteria may allow for a better understanding of cyanobacterial diversity and physiology as well as enabling the biotechnological potential of these organisms to be exploited.

In this study, we have obtained an axenic culture of globally distributed but previously uncultured cyanobacterium from a temporal meltwater from King George Island, South Shetland Islands, West Antarctica.

Materials and methods

Sample collection and cyanobacterial isolation

Cyanobacterial mat samples were collected from a shallow ephemeral freshwater near King Sejong Station (62° 13′S−58° 47′W) located on Barton Peninsula, King George Island, West Antarctica, in January 2010. Aliquots (1 ml) of mat samples were inoculated into 100 ml BG-11 medium (Rippka et al. 1979) containing 250 µg cycloheximide ml−1 (Sigma, St. Louis, MO, USA) and incubated at 15°C with cool fluorescent light (approximately 70 µmole m−2 sec−1) in a light:dark cycle (16:8 h) until growth was apparent. Well-grown cyanobacterial cultures (1.5 ml) were centrifuged and streaked onto BG-11 agar. Emerging cyanobacterial filaments were then aseptically transferred to fresh BG-11 plates to separate cyanobacteria from contaminating bacteria. Cyanobacterial filaments were then streaked onto R2A and LB agar plates (Becton, Dickinson and Co., Sparks, MD, USA) and incubated for 14 days in the dark to check the axenic status of the culture. These steps were repeated until a pure culture of the cyanobacterium was obtained and the resulting pure culture was named as KNUA009 and the isolate was deposited at the Korean Collection for Type Cultures under the accession number KCTC AG40019.

Morphological and molecular identification

Strain KNUA009 was grown in BG-11 medium for 10 days at 15°C. Live cells were harvested and suspended in a drop of immersion oil and inspected at 1000× magnification on a Zeiss light microscope equipped with differential interference contrast optics (Carl Zeiss, Standort Göttingen, Vertrieb, Germany). Bergey's manual of systematic bacteriology (Castenholz 2001) was used for taxonomic description and morphotypic identification. For 16S rRNA gene sequence analysis, DNA was extracted by using DNeasy plant mini kit (Qiagen, Hilden, Germany) and polymerase chain reaction (PCR) conditions and the primer sets, CYA106F, CYA781R(a) and CYA781R(b), were used as described by Nübel et al. (1997). Due to the highly conserved nature of the 16S rRNA gene, two other genetic markers, the ribosomal 16S–23S intergenic spacer (ITS) region and region RuBisCO (ribulose-1,5-bisphosphate carboxylase/oxygenase) rbcLX, were employed. The ribosomal 16S–23S ITS region was evaluated using primers, 16S1407F and 23S30R (Taton et al. 2003). Region RuBisCO rbcLX was also amplified with primers, CW and CX, described by Rudi et al. (1998). Phylogenetic analysis was performed using the software package MEGA version 4.0 (Tamura et al. 2007) using the neighbour-joining method (Saitou & Nei 1987) with 1000 bootstrap replicates (Felsenstein 1985).

Physiological tests

A 10-day-old seed culture of strain KNUA009 (1 ml) was inoculated into BG-11 medium in triplicate and incubated for 20 days. Survival and growth of KNUA009 were examined at 5–30°C (at intervals of 5°C) to identify the optimum growth temperature of the culture. Acidity tolerance tests were performed at 15°C ranging from pH 2.0 to 13.0 (at intervals of pH 1.0 unit). A carbon utilization test was carried out using glucose, sucrose, fructose, ribose, sodium acetate, glycerol and glycolic acid as described by Lambert & Stevens (1986) and Miura & Yokota (2006). The cell biomass was separated from the bottom of the flask and thoroughly mixed by pipetting and samples taken from each time point were homogenized by sonification for 15 s on an ultrasonic cell disruptor (Model 550, Fisher Scientific, Pittsburgh, PA, USA). Cyanobacterial density was determined by measuring the turbidity of a culture at 750 nm on an Optimizer 2120UV spectrophotometer (Mecasys, Daejeon, South Korea).

Chemotaxonomic characterization

Fatty acid methyl esters were extracted from strain KNUA009 according to the standard protocol by Sasser (1990) and the fatty acid composition was determined by GC/MS (Jeol JMS700 mass spectrometer equipped with an Agilent 6890N GC, Agilent Technologies, Palo Alto, CA, USA) at Daegu Center, Korean Basic Science Institute. Peak identification and compound assignment were performed based on the electron impact mass spectrum. The National Institute of Standards and Technology mass spectral libraries were used as reference databases. The DNA G+C content of the isolate was determined by the high performance liquid chromatography method as described by Shin et al. (1996) at the Korean Culture Center of Microorganisms.

Results

Phylogenetic position determined by genetic markers

Molecular identification results are summarized in Table 1. Based on 16S rRNA gene sequence data, strain KNUA009 was most closely related to Antarctic cyanobacterial clones (JQ310327 & JQ310310) derived from Byers Peninsula with a sequence homology of 100%. The isolate also clustered with environmental clones from various extreme cryosphere around the world (Fig. 1). Its closest cultured organism was cyanobacterium cCLA-4 (HQ230226) with a sequence homology of only 90% (Table 1, Fig. 1). The 16S–23S ITS sequence analysis also showed that the closest sequence match for strain KNUA009 was an uncultured Antarctic cyanobacterial clone N184-8 (EU032395) recovered from a surface soil sample in Miers Valley with a sequence homology of 99%. It was also clustered together with other environmental clones obtained from either surface soil in Miers Valley or cyanobacterial mat in Lake Miers (Fig. 2). Leptolyngbya sp. GSE-PSE30-01B (HM018675) was the closest cultured relative for strain KNUA009, but the sequence homology was only 86%. Molecular characterization based on rbcLX region sequence comparison showed that uncultured bacterium clone ORU13 (X57359) was the closest match for strain KNUA009, but the query coverage was only 28%. This may be due to the lack of sequence data in GenBank for Antarctic cyanobacterial rbcLX genes, so no identification could be made with this data.

Fig 1
Fig. 1  The phylogenetic relationship of strain KNUA009 and its closely related species inferred from partial 16S rRNA gene sequence data. The type species of the genus Oscillatoria, Oscillatoria princeps Gomont NIVA CYA 150 (Suda et al. 2002) and four reference strains representing Oscillatoria (Castenholz 2001), Oscillatoria sancta PCC7515 (Cluster 1), Oscillatoria nigro-viridis PCC7112 (Cluster 2), Oscillatoria acuminata PCC6304 (Cluster 3) and Oscillatoria formosa PCC 6407 (Cluster 4) were included in the tree. Oscillatoria agardhii Gomont 1892 (Cluster 5) was excluded since it is now assigned to the genus Planktothrix as Planktothrix agardhii (Anagnostidis & Komárek 1988). Chloroflexus aurantiacus J-10-fl was used as outgroup. Bootstrap values are shown at each node. The scale bar represents a 1% difference in nucleotide sequences. Isolation source: aWard Hunt Lake, Nunavut, Canada; bIceland; cByers Peninsula, Antarctica; dFildes Peninsula, Antarctica; eThe Kuytun Glacier 51, Tianshan Mountains, China; fMarkham Ice Shelf, Canada; gOnyx River, Wright Valley, Victoria Land, East Antarctica; hThe Annapurna Range, Nepal; iLlong, the Pyrenees, Spain; jSupraglacial stream water, Antarctica; kBogota River, Colombia; lWesterhoefer Creek, Harz Mountains, Germany; mYellowstone Lake, Sedge Bay, USA.

Fig 2
Fig. 2  The phylogenetic relationship of strain KNUA009 and its closely related species were inferred from ITS sequence data. The scale bar represents a 1% difference in nucleotide sequences. Isolation source: aMeirsValley, Antarctica (Wood et al. 2008); bQiyi Glacier, the Qilian Mountains, China.


Table 1 Results from BLAST searches using 16S rRNA gene, intergenic spacer (ITS) and rbcLX sequences of strain KNUA009.
Marker gene Accession number Length (bp) Closest match (GenBank accession number) Overlap (%) Sequence similarity (%)
16S rRNA HQ201392 662 Cyanobacterium enrichment culture clone 5_10_5.3.5_H04-T7 (JQ310327)a 100 100
Cyanobacterium enrichment culture clone 5_10_5.4.8_D05-T7 (JQ310310)a 100 100
Cyanobacterium cCLA-4 (HQ230226)b 100 90
ITS HQ201393 670 Uncultured Antarctic cyanobacterium clone N184-8 (EU032395)c 100 99
Leptolyngbya sp. GSE-PSE30-01B (HM018675)d 65 87
rbcLX HQ201394 939 Uncultured bacterium clone ORU13 (X57359) 28 84
aIsolated from a freshwater sample, Byers Peninsula, Antarctica (Kleinteich et al. 2012).
bThe closest cultured relative of strain KNUA009 based on 16S rRNA gene sequence data isolated from Char Lake, Ellesmere Island, Canada (Harding et al. 2011).
cIsolated from a surface soil sample, Miers Valley, East Antarctica.
dThe closest cultured organism for strain KNUA009 based on ITS sequence data.

Morphology of strain KNUA009

Strain KNUA009 was filamentous with straight and flexible trichomes composed of disc-shaped vegetative cells (Fig. 3). Cells were about 3 µm in width and >20 µm up to approximately >500 µm in length, exhibiting gliding motility. Its terminal cells were dome-shaped and the cross-walls were clearly visible. No akinetes and heterocytes were observed. Its colour ranged from brown to olive and densely aggregated trichomes readily formed macroscopically visible mats.

Fig 3
Fig. 3  Light microscope images of Oscillatoria sp. KNUA009.

Physiological characteristics of strain KNUA009

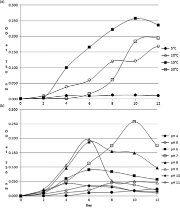
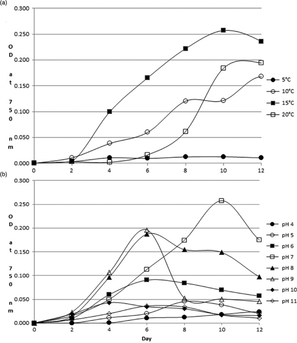
As shown in Fig. 4a, strain KNUA009 grew in a temperature range of 5–20°C whilst its optimal growth temperature was 15°C. However, this cyanobacterium could not survive at 25°C and above. Growth pH ranges were between pH 4.0 and 11.0 whereas optimal growth was attained at pH 7.0 (Fig. 4b). Since no alternative carbon sources tested here were utilized by strain KNUA009, this cyanobacterium appeared to be an obligate photoautotroph. The isolate did not show any growth in nitrogen-free BG-11 medium under its optimal growth conditions. Summarized characteristics for the strain are given in Table 2.

Fig 4
Fig. 4  Growth curves of strain KNUA009 grown under (a) various temperatures and (b) pH ranges. Error bars indicate standard deviation.


Table 2 Physiological characteristics of KNUA009.
Physiological factor Growth
Temperature 5–20°C
pH pH 4.0–pH 11.0
NaCl tolerance Up to 0.2 M
Carbon utilization of:
  Glucose None
  Sucrose None
  Ribose None
  Acetate None
  Fructose None
  Glycerol None
  Glycolic acid None
Growth on nitrogen-free medium None

Chemosystematic markers

The major fatty acids of the isolate were C16:0 (34.6±0.4%), C16:1ω5c (24.9±0.7%), C18:3ω3c (17.8±0.8%) and C18:2ω7c (15.5±0.8%). In addition, C18:1ω9c (5.2±0.7%), C18:0 (1.2±0.2%) and C16:1 (0.8±0.1%; double bond position unknown) were also detected. The G+C content of the genomic DNA of strain KNUA009 was 47.5 mol % which is within the mean DNA base composition (40–50 mol % G+C) of the genus Oscillatoria deposited at the Pasteur Culture Collection of Cyanobacteria (Castenholz 2001).

Discussion

In this research, we have successfully isolated a pure culture of a cryosphere cyanobacterium, Oscillatoria sp. KNUA009, and its identity was analysed at morphological, molecular, physiological and chemotaxonomic levels. Due to its morphological resemblance to Oscillatoria species (Komárek & Golubić 2004) and some of the chemotaxonomic evidences such as the DNA G+C mol % (Castenholz 2001) and polyunsaturated fatty acid contents (type 2, Kenyon et al. 1972; Li et al. 1998; Suda et al. 2002), it is suggested that this cyanobacterium belongs to members of the genus Oscillatoria. Nevertheless, the molecular evidences revealed that strain KNUA009 was still distant from the five reference strains representing the genus Oscillatoria (sequence similarities<90%), while it was clustered together with the unknown groups of cyanobacterial clones (sequence similarities >99%), which were globally found in high-altitude and high-latitude areas (Fig. 1). The presence of these uncultured psychrophilic and/or psychrotolerant cyanobacteria in the extreme environments has recently been identified only by culture-independent approaches such as 16S rRNA gene clone library screening or automated ribosomal ITS analysis fingerprinting (Wood et al. 2008; Xiang et al. 2009; Jungblut et al. 2010; Schmidt et al. 2011; Zeglin et al. 2011; Kleinteich et al. 2012).

Therefore, strain KNUA009 represents the first laboratory culture to be assigned to a group of uncultured cyanobacteria residing in the cryosphere. It is assumed that strain KNUA009 may have gained protection from the continuous light exposure, including harmful UV radiation, in Antarctica by forming highly layered and brown-pigmented mats since cyanobacteria generally protect themselves from excess irradiance by mat or crust formation. Our results also demonstrate the genetic similarities of these photosynthetic microorganisms residing in the cold biosphere all around the world and they agree with the previous hypothesis postulated by Castenholz (1992) that indigenous polar cyanobacteria are likely to be rare. Hence, this phylogenetically novel cyanobacterium may be a representative of a new species group with cold resistance within the genus Oscillatoria and it may serve as an excellent candidate for the future genetic, phylogenetic and physiological studies focusing on adaptations to the extreme conditions. It should also be noted that one of the major fatty acids produced by strain KNUA009 was α-linolenic acid (C18:3 ω3) which is a nutritionally important ω3 fatty acid.

Acknowledgements

This work was supported by the Global Frontier Program (2011-0031341) of the Ministry of Education, Science and Technology, South Korea. This research was also funded by Korea Polar Research Institute project number PE12030 (Research on biodiversity and changing ecosystems in King George Islands, Antarctica) and project number PE11030 (Studies on biodiversity and changing ecosystems in King George Island, Antarctica).

References

Anagnostidis K. & Komárek J. 1988. Modern approach to the classification of cyanophytes: 3. Oscillatoriales. Archiv für Hydrobiologie, Supplement 80, Algological Studies 50/53, 327–472.

Broady P.A. 1996. Diversity, distribution and dispersal of Antarctic terrestrial algae. Biodiversity and Conservation 5, 1307–1336. Publisher Full Text

Castenholz R.W. 1992. Species usage, concept, and evolution in the cyanobacteria (blue–green algae). Journal of Phycology 28, 737–745. Publisher Full Text

Castenholz R.W. 2001. General characteristics of the cyanobacteria. In D.R. Boone & R.W. Castenholz (eds.): Bergey's manual of systematic bacteriology. Pp. 474–487. New York: Springer.

Felsenstein J. 1985. Confidence limits on phylogenetics: an approach using the bootstrap. Evolution 39, 783–791. Publisher Full Text

Harding T., Jungblut A.D., Lovejoy C. & Vincent W.F. 2011. Microbes in High Arctic snow and implications for the cold biosphere. Applied and Environmental Microbiology 77, 3234–3243. PubMed Abstract | PubMed Central Full Text | Publisher Full Text

Jungblut A.D., Lovejoy C. & Vincent W.F. 2010. Global distribution of cyanobacterial ecotypes in the cold biosphere. Journal of the International Society for Microbial Ecology 4, 191–202.

Kenyon C.N., Rippka R. & Stanier R.Y. 1972. Fatty acid composition and physiological properties of some filamentous blue–green algae. Archives of Microbiology 83, 216–236.

Kleinteich J., Wood S.A., Küpper F.C., Camacho A., Quesada A., Frickey T. & Dietrich D. R. 2012. Temperature-related changes in polar cyanobacterial mat diversity and toxin production. Nature Climate Change 2, 356–360. Publisher Full Text

Komárek J. & Golubić S. 2004. Guide to the nomenclature and formal taxonomic treatment of oxyphototroph prokaryotes (cyanoprokaryotes). Accessed on the internet at http://www.cyanodb.cz/files/CyanoGuide.pdf on 29 August 2012

Lambert D.H. & Stevens S.E. 1986. Photoheterotrophic growth of Agmenellum quadruplicatum PR-6. Journal of Bacteriology 165, 654–656. PubMed Abstract | PubMed Central Full Text

Li R., Yokota A., Sugiyama J., Watanabe M., Hiroki M. & Watanabe M.M. 1998. Chemotaxonomy of planktonic cyanobacteria based on non-polar and 3-hydroxy fatty acid composition. Phycological Research 46, 21–28. Publisher Full Text

Miura S. & Yokota A. 2006. Isolation and characterization of cyanobacteria from lichen. Journal of General and Applied Microbiology 52, 365–374. PubMed Abstract | Publisher Full Text

Nadeau T.L., Milbrandt E.C. & Castenholz R.W. 2001. Evolutionary relationships of cultivated Antarctic oscillatoriaceans (cyanobacteria). Journal of Phycology 37, 650–654. Publisher Full Text

Nübel U., Garcia-Pichel F. & Muyzer G. 1997. PCR primers to amplify 16S rRNA genes from cyanobacteria. Applied and Environmental Microbiology 63, 3327–3332.

Rippka R., Deruelles J., Waterbury J.B., Herdman M. & Stanier R.Y. 1979. Genetic assignments, strain histories and properties of pure cultures of cyanobacteria. Journal of General Microbiology 111, 1–61. Publisher Full Text

Rudi K., Skulberg O.M. & Jakobsen K.S. 1998. Evolution of cyanobacteria by exchange of genetic material among phyletically related strains. Journal of Bacteriology 180, 3453–3461. PubMed Abstract | PubMed Central Full Text

Saitou N. & Nei M. 1987. The neighbor-joining method: a new method for reconstructing phylogenetic trees. Molecular Biology and Evolution 4, 406–425. PubMed Abstract

Sasser M.J. 1990. Identification of bacteria by gas chromatography of cellular fatty acids. Technical note 101. Newark, DE: Microbial ID.

Schmidt S.K., Lynch R.C., King A.J., Karki D., Robeson M.S., Nagy L., Williams M.W., Mitter M.S. & Freeman K.R. 2011. Phylogeography of microbial phototrophs in the dry valleys of the high Himalayas and Antarctica. Proceedings of the Royal Society 278, 702–708. Publisher Full Text

Shin Y.K., Lee J.S., Kim H.J., Joo W.H., Le J.D. & Park Y.H. 1996. Microbial DNA base composition (G+C mol %) and its taxonomic implications. Korean Journal of Life Science 6, 72–77.

Suda S., Watanabe M.M., Otsuka S., Mahakahant A., Yongmanitchai W., Nopartnaraporn N., Liu Y. & Day J.G. 2002. Taxonomic revision of water-bloom-forming species of oscillatorioid cyanobacteria. International Journal of Systematic and Evolutionary Microbiology 52, 1577–1595. PubMed Abstract | Publisher Full Text

Tamura K., Dudley J., Nei M. & Kumar S. 2007. MEGA4: molecular evolutionary genetics analysis (MEGA) software version 4.0. Molecular Biology and Evolution 24, 1596–1599. PubMed Abstract | Publisher Full Text

Tang E.P.Y., Tremblay R. & Vincent W.F. 1997. Cyanobacterial dominance of polar freshwater ecosystems: are high-latitude mat-formers adapted to low temperature? Journal of Phycology 33, 171–181. Publisher Full Text

Taton A., Grubisic S., Brambilla E., De Wit R. & Wilmotte A. 2003. Cyanobacterial diversity in natural and artificial microbial mats of Lake Fryxell (McMurdo Dry Valleys, Antarctica): a morphological and molecular approach. Applied and Environmental Microbiology 69, 5157–5169. PubMed Abstract | PubMed Central Full Text | Publisher Full Text

Taton A., Grubisic S., Ertz D., Hodgson D.A., Piccardi R., Biondi N., Tredici M.R., Mainini M., Losi D., Marinelli F. & Wilmotte A. 2006. Polyphasic study of Antarctica cyanobacterial strains. Journal of Phycology 42, 1257–1270. Publisher Full Text

Vincent W.F. 1988. Microbial ecosystems of Antarctica. Cambridge: Cambridge University Press.

Vincent W.F. 2007. Cold tolerance in cyanobacteria and life in the cryosphere. In J. Seckbach (ed.): Algae and cyanobacteria in extreme environments. Pp. 287–301. Dordrecht: Springer.

Whitton B.A. & Potts M. 2000. The ecology of cyanobacteria, their diversity in time and space. Dordrecht: Kluwer Academic Publishers.

Wood S.A., Rueckert A., Cowan D.A. & Cary S.C. 2008. Sources of edaphic cyanobacterial diversity in the dry valleys of eastern Antarctica. Journal of the International Society for Microbial Ecology 2, 308–320.

Wynn-Williams D.D. 1996. Antarctic microbial diversity: the basis of polar ecosystem processes. Biodiversity and Conservation 5, 1271–1294. Publisher Full Text

Xiang S.R., Shang T.C., Chen Y., Jing Z.F. & Yao T. 2009. Dominant bacteria and biomass in the Kuytun 51 Glacier. Applied and Environmental Microbiology 75, 7287–7290. PubMed Abstract | PubMed Central Full Text | Publisher Full Text

Zeglin L.H., Dahm C.N., Barrett J.E., Gooseff M.N., Fitpatrick S.K. & Takacs-Vesbach C.D. 2011. Bacterial community structure along moisture gradients in the parafluvial sediments of two ephemeral desert streams. Microbial Ecology 61, 543–556. PubMed Abstract | Publisher Full Text