RESEARCH/REVIEW ARTICLE

Recent air and ground temperature increases at Tarfala Research Station, Sweden

Ulf Jonsell,1 Regine Hock1,2 & Martial Duguay3

1 Department of Earth Sciences, Uppsala University, SE-75236 Uppsala, Sweden
2 Geophysical Institute, University of Alaska, Fairbanks, AK 99775, USA
3 Department of Physical Geography and Quaternary Geology, Stockholm University, SE-106 91 Stockholm, Sweden

Abstract

Long-term data records are essential to detect and understand environmental change, in particular in generally data-sparse high-latitude and high-altitude regions. Here, we analyse a 47-year air temperature record (1965–2011) at Tarfala Research Station (67° 54.7′N, 18° 36.7′E, 1135 m a.s.l.) in northern Sweden, and a nearby 11-year record of 100-m-deep ground temperature (2001–11; 1540 m a.s.l.). The air temperature record shows a mean annual air temperature of −3.5±0.9°C (±1 standard deviation σ) and a linear warming trend of ±0.042°C yr−1. The warming trend shows large month-to-month variations with the largest trend in January followed by October. Also, the number of days with positive mean daily temperatures and positive degree-day sums has increased during the last two decades compared to the previous period. Temperature lapse rates derived from the mean daily Tarfala record and an air temperature record at the borehole site average 4.5°C km−1 and tend to be higher in summer than in winter. Mean summer air temperatures at Tarfala explain 76% of the variance of the summer glacier mass balance of nearby Storglaciären. Consistent with the observed increase in Tarfala's air temperature, the ground temperature record shows significant permafrost warming with the largest trend (0.047°C yr−1) found at 20 m depth.

Keywords
Air temperature; climate change; permafrost; lapse rate; degree-days; NAO.

Correspondence
Ulf Jonsell, Department of Earth Sciences, Uppsala University, SE-75236 Uppsala, Sweden. E-mail: ulfygge@gmail.com

(Published: 15 July 2013)

Polar Research 2013. © 2013 U. Jonsell et al. This is an open-access article distributed under the terms of the Creative Commons Attribution-Noncommercial 3.0 Unported License (http://creativecommons.org/licenses/by-nc/3.0/), permitting all non-commercial use, distribution, and reproduction in any medium, provided the original work is properly cited.

Citation: Polar Research 2013, 32, 19807, http://dx.doi.org/10.3402/polar.v32i0.19807

 

Studies analysing climate variability and trends at local scales are paramount in understanding and predicting the sensitivity of high-latitude ecosystems and local populations to climate change. Global climate models driven by standardized emission scenarios (Solomon et al. 2007) generally predict that warming in high-latitude environments over the coming century will be substantially larger than the global mean, in particular during the winter months (Chapman & Walsh 2007; AMAP 2011). However, long-term records that help reveal climate change are relatively scarce in the high latitudes (especially at high altitudes), relative to the rest of the planet.

Here, we analyse a 47-year continuous air temperature record collected at Tarfala Research Station (henceforth referred to as Tarfala) in northern Sweden. The record constitutes the longest continuous high alpine temperature record in Sweden and is of additional significance due to Tarfala's proximity to Storglaciären, one of the best-studied glaciers in the world. Grudd & Schneider (1996) reported on the air temperatures in Tarfala for the period 1946–1995. Here, we provide an updated analysis of Tarfala's temperature record and focus on the period 1965–2011 when year around, continuous measurements are available through automatic recording systems. We explore the relation between Tarfala's temperature and Storglaciären's mass balance as well as the North Atlantic Oscillation (NAO). We also analyse an 11-year record of ground temperatures in a 100-m borehole nearby. Isaksen et al. (2007) and Christiansen et al. (2010) presented details of the ground temperature record for the first years of operation. Here, we give an update including an analysis of the entire record with a focus on temperature trends.

Study site

Tarfala Research Station (67° 54.7′N, 18° 36.7′E, 1135 m a.s.l.) is located in a typical sub-Arctic high alpine valley ranging approximately between 800 and 2100 m a.s.l. (Fig. 1). The valley is oriented towards the south with several glaciers occupying the western side. Discontinuous permafrost is present throughout the valley (King 1984). The station was founded in 1945 when a long-term monitoring programme was initiated with a primary focus on the mass balance of Storglaciären (3 km2), roughly 1 km from Tarfala. The record is the longest detailed continuous glacier mass-balance record in the world (Holmlund et al. 2005). To study glacier–climate interactions, meteorological measurements were started simultaneously.

Fig 1
Fig. 1  Location and overview map of the Tarfala valley, including sites where air temperature was recorded (Tarfala Research Station) and where ground and air temperature were recorded (PACE). Contour interval is 50 m.

Data

Air temperature data

Here, we analyse Tarfala's continuous mean daily temperature record that dates back to 1 January 1965. Data prior to 1965 are restricted to the summer months (Grudd & Schneider 1996) and not considered here. From 1965 to 1989, air temperatures were measured with Pt100 platinum resistance thermometers (Vaisala, Vantaa, Finland) placed in a Stevenson-type radiation screen and recorded every minute by chart recorders. In 1988, an automatic weather station was installed in immediate vicinity to the Stevenson screen including an MP100 temperature/humidity sensor (Rotronic, Bassersdorf, Switzerland) placed into a multi-plate radiation shield (Young, Traverse City, MI, USA). Both systems were operated in parallel until 1998 to allow direct comparison. The new system sampled data every 10 s, and hourly (May–September) or three-hourly means (October–April), and daily means were stored on a Campbell Scientific Datalogger (Logan, UT, USA). Hourly means all year around became available in 1995. Since 1 July 1989, the data from the automatic station have been used in the Tarfala temperature series. After 1990, several additional Pt100 temperature sensors have been added at the same site for comparison and as backup for instrument failures. More details about the Tarfala weather station, including an analysis of the data prior to 1965, are given by Grudd & Schneider (1996).

In July 1995, the Swedish Meteorological and Hydrological Institute installed an automatic weather station approximately 20 m east of the Tarfala weather station as part of their national network. These data and those from the additional sensors at the Tarfala station were used to fill occasional gaps in the data series based on regression relationships between the data of these sensors and Tarfala's Rotronic sensor. When simultaneous measurements were not available, gaps (19 days between 1985 and 1994) were filled using downscaled ERA-40 (produced by the European Centre for Medium-Range Weather Forecasts) data of the grid cell containing Tarfala (Radić & Hock 2006). A month-long gap in January 2009 was filled by a monthly mean temperature derived from regression analysis of historic January temperatures between the Swedish Meteorological and Hydrological Institute for station Katterjokk (515 m a.s.l., approximately 60 km NNW of Tarfala) and Tarfala. Temperature data from this period are omitted in the analysis of sub-monthly timescales.

The daily mean air temperature series from Tarfala 1965–2011 used in this study is available through Stockholm University's Bolin Centre database (http://www.bolin.su.se/data/).

Borehole temperature data

In March 2000, a shallow (15 m) and a deep borehole (100 m) were drilled at Tarfalaryggen at an elevation of 1540 m a.s.l., approximately 1.6 km north-east of Tarfala. The boreholes are part of a series of boreholes drilled and instrumented between 1998 and 2000 along a north–south transect from the Mediterranean to Svalbard as part of the Permafrost and Climate in Europe (PACE) project (under the umbrella of the European Union's Fourth Framework Programme), aiming at long-term monitoring of permafrost (Harris et al. 2001; Harris et al. 2003).

Bedrock at the drill site consists of massive amphibolite, which is overlain by an unconsolidated regolith of roughly 4 m. The surface is blocky and largely lacks vegetation (Isaksen et al. 2007). Permafrost thickness is estimated at 350 m±19 m (Isaksen et al. 2001). The depth of seasonal temperature variations defined as the depth where seasonal amplitudes are ≤0.1°C was approximately 20 m below the surface (Isaksen et al. 2007). During winter, the area is usually covered by a thin snow cover (<0.3 m).

The boreholes were instrumented with negative temperature coefficient YSI 44006 thermistors (Yellow Spring Instruments, Yellow Springs, OH, USA; Von der Muehll & Holub 1992), with an estimate absolute accuracy of ±0.05°C and a relative accuracy of ±0.02°C. The thermistor chain in the 100 m hole included 30 thermistors spaced apart with increasing distance between sensors with depth ranging from 0.2 m in the first metre and 10 m beyond 30 m below the surface, and denser spacing again beyond 90 m below the surface. The 15 m hole contained 17 thermistors with the same spacing as the 100 m hole and served as quality control. All thermistors recorded the temperature once every 24 h. More frequent measurements (every 6 h) are recorded at all thermistors in the shallow hole and the first 11 thermistors of the deep borehole (down to 5 m below the surface). More information about the borehole and its instrumentation has been presented by Sollid et al. (2000), Isaksen et al. (2001) and Isaksen et al. (2007). Due to disturbance from the drilling activities, temperatures at shallow depths initially showed a significant cooling and therefore only borehole data from 2001 onwards, when the temperature signal had stabilized, are used here.

At the borehole site, air temperature is measured at 2 m above the ground using a Vaisala HMP45D temperature–humidity sensor mounted in a solar radiation shield. Prior to installation, the sensor was installed at the Tarfala weather station for several weeks for calibration.

Part of the borehole data has been presented and discussed in previous publications (e.g., Harris et al. 2003; Isaksen et al. 2007; Christiansen et al. 2010). However, many of the previous analyses were limited to a short time period, hampering trend detection. Here, we present updates on ground temperatures and their trends based on the available time series 2001–11.

Results and discussion

Air temperature

Annual temperatures.

Mean annual air temperature at Tarfala Research Station averaged over 1965–2011 is −3.5±0.9°C (±1 standard deviation σ). Annual means range from −5.7°C (1966) to −1.7°C (2003).

Annual air temperatures have increased significantly over the study period with a statistically significant (p=0.01) temperature trend of +0.042°C yr−1 (Fig. 2). Annual temperature anomalies relative to the 1965–1994 mean are shown in Fig. 3, indicating that the last two decades have been warmer than the earlier period. Since 1989, annual mean temperature anomalies relative to 1965–1994 have been positive except for two years, and eight of the 10 warmest years during the 47-year study period have occurred between 1999 and 2011. The period 1995–2011 was 1.0°C warmer than the period 1965–1994 (Table 1).

Fig 2
Fig. 2  Monthly means and annual means (including 5-year running mean) of the Tarfala Research Station air temperature record, 1965–2011.

Fig 3
Fig. 3  Mean annual air temperature anomalies at Tarfala Research Station, 1965–2011, relative to the 1965–94 mean.


Table 1 Mean annual, seasonal and monthly air temperature at Tarfala Research Station 1995–2011 and 1965–1994, the temperature difference (δT) between the later and the earlier period and δT that is statistically significant at p=0.01 using ANOVA test.
  T (°C) 1995–2011 T (°C) 1965a–94 δT (°C) δT (°C) at p=0.01
Annual −2.8 −3.8 1.0 0.7
Seasons
  Wintera −9.9 −11.0 1.1 0.6
  Spring −5.5 −6.2 0.7 0.2
  Summer 6.4 5.5 0.9 0.6
  Autumn −2.3 −3.8 1.5 1.1
Months
  January −9.7 −11.7 2.0 1.3
  February −11.1 −10.9 −0.2
  March −9.5 −9.9 0.4
  April −5.8 −7.0 1.2 0.6
  May −1.2 −1.5 0.3
  June 4.1 3.7 0.4
  July 8.0 7.0 1.0 0.6
  August 7.0 5.8 1.2 0.8
  September 2.5 0.8 1.7 1.2
  October −2.7 −4.3 1.6 1.0
  November −6.8 −8.0 1.2 0.6
  December −9.0 −10.3 1.3 0.5
aFirst winter is 1966, that is, December 1965–February 1966.

Seasonal variations.

Mean monthly temperatures range from −18.6°C (February 1966) to +11.7°C (July 2003). July (7.4±1.4°C;±1σ), followed by August tend to be the warmest months and February (−11.0±2.7°C), followed by January, the coldest. The mean seasonal temperature amplitude based on monthly averages is 20.4±2.3°C (±1σ). Year-to-year variability of mean monthly temperatures as expressed by the standard deviation (Fig. 4a) shows a distinct seasonal cycle with considerably larger variability in winter than in summer. The variability was assessed for two periods separately (1965–1994 and 1995–2011) but differences are negligible for all months.

Fig 4
Fig. 4  (a) Standard deviation (SD) of mean monthly air temperatures at Tarfala Research Station for the periods 1965–1994 and 1995–2011, and temperature trends for each month over the period 1965–2011. (b) Monthly temperature anomalies for the period 1967–2009 relative to the monthly mean temperature averaged over the period 1965–1994. Anomalies are computed from five-year running means.

Figure 4b shows monthly anomalies with respect to the mean over the period 1965–1994 indicating considerable warming in the last 10–15 years but also large year-to-year variability. Linear warming trends range from close to 0°C yr−1 (June, not significant) to 0.067°C yr−1 (January, significant at p=0.05). Warming trends vary considerably from month to month, although the period September–January tends to have experienced larger trends than the remaining months.

Table 1 compares the mean annual temperatures averaged for the earlier 1965–1994 period and the later 1995–2011 period. With the exception of February, all monthly means are warmer in the latter period than the earlier period (up to 2.0°C, January). However, the temperature difference that is significant (p=0.01) is considerably smaller for all months.

Figure 5 illustrates changes in the multi-year average seasonal air temperature cycles over the study period revealing a steady increase in average temperatures during October, November and December and large variability in winter (DJF).

Fig 5
Fig. 5  Seasonal cycles of air temperature averaged over 10-year periods between 1965 and 2011. Note the last period (2005–11) only includes 7 years.

Temperature lapse rates

Snow and ice melt models often use temperature lapse rates, that is, linear temperature decreases with increasing elevation to extrapolate point temperature measurements to the domain of interest (e.g., Hock & Holmgren 2005; Gardner et al. 2009). Here, we use the mean daily temperature measurements at Tarfala and at the PACE borehole site, located 410 m higher than Tarfala (Fig. 1) to compute temperature lapse rates and to investigate their seasonal variation. We emphasize that our lapse rates are near-surface lapse rates referring to the temperature changes along the terrain slopes rather than free-air adiabatic lapse rates. Lapse rates are defined positive if the temperature decreases with increasing elevation.

The air temperature series at the PACE site had substantial gaps due to instrument failure. We did not fill the gaps but only used the existing data in the subsequent analysis. The available mean daily data generally correlate well with Tarfala's air temperatures (Fig. 6). As expected from their higher altitude, the borehole site temperatures are systematically lower. Using all available mean daily data, we find an average lapse rate of 4.5± 4.6°C km−1 (±1σ). Mean monthly lapse rates (based on all available daily lapse rates in each month) vary between roughly 2 and 6°C km−1 (Fig. 7). Lapse rates tend to be higher from May to October. The scatter is large in all months, though smaller for the summer months. Higher summer time lapse rates are consistent with the findings from Radić & Hock (2006), who derived lapse rates from Tarfala's temperature data and ERA-40 reanalysis data. Their values are somewhat higher (up to 8°C km−1 in summer); however, their lapse rates are not directly comparable since they are affected by possible horizontal temperature differences between the grid cell and Tarfala's data and other re-analysis biases.

Fig 6
Fig. 6  Mean daily air temperature at Tarfala Research Station versus air temperature at the Permafrost and Climate in Europe (PACE) borehole site on Tarfala Ridge (Fig. 1). The solid line is a linear fit.

Fig 7
Fig. 7  Monthly mean air temperature lapse rates calculated from all available mean daily air temperature data from the Tarfala Research Station and the Permafrost and Climate in Europe (PACE) borehole site. Bars extend over±1σ based on all concurrent daily data.

Temperature and glacier mass balance

We correlate Tarfala's air temperatures with Storglaciären's mass-balance record. The mass balance is computed from detailed stake measurements, snow probings and snow density measurements (Holmlund et al. 2005). Results show that Tarfala's mean summer air temperature (JJA) is highly correlated with the summer mass balance and explains 76% of the variance (Fig. 8a). Melt models are often driven by positive-degree days (PDD) rather than air temperatures (Hock 2003). These so-called degree day models relate melt to the positive degree-day sum (PDDS) (ϕ), defined as the integral, in Kd (Kelvin days), of the excess of temperature (T) above the melting point (Tm) over a stated span of time (t) in days (Cogley et al. 2011):

Fig 8
Fig. 8  Storglaciären's summer mass balances Bs versus (a) mean summer temperatures and (b) annual positive degree–day sums for the period 1965–2011. The solid lines are linear fits of all data.

The integral is often approximated by summing positive mean daily temperatures (in °C) (e.g., de Woul & Hock 2005). Here, we calculate annual PDDS based on Tarfala's daily temperature record for the period 1965–2011. PDDS have been found to be key indicators not only for glacier/snow melt (Hock 2003), but also many other temperature-dependent variables, such as permafrost thaw and vegetation growth. Due to the observed temperature increases in Tarfala, PDDSs are expected to increase during the study period.

Annual PDDSs and the number of PDD per year are shown in Fig. 9. From 1965 to 1994, there were 129±12 days with positive mean temperatures in a given year (mean±1σ) with no temporal trend apparent in the time series. This number is significantly higher during the period 1995–2011, with an average of 139±10 days (Fig. 9a). Annual PDDSs fluctuated around 660 Kd but increased steadily since the mid-1990s and reached values not previously recorded (Fig. 9b). Correlating summer mass balance with annual PDDSs yields an explained variance of 77%, which is similar to the one found for summer air temperature.

Fig 9
Fig. 9  Time series of (a) annual number of days with positive mean daily temperatures (PDD) and (b) positive degree–day sums (PDDS) at Tarfala Research Station, 1965–2011.

Temperature and NAO

The NAO index is a measure of the north-to-south pressure gradient over the North Atlantic region generally defined by the difference of atmospheric pressure at sea level between the Icelandic Low and the Azores High (Hurrell 1995). The NAO determines the strength and direction of westerly winds and storm tracks across the North Atlantic, especially in winter, and varies over time with no particular periodicity. Higher than usual pressure gradients (positive NAO index) are associated with the deflection of warmer Atlantic air masses to northern Scandinavia.

Previous studies have found correlations between NAO and seasonal mass balances of Scandinavian glaciers including Storglaciären (Pohjola & Rogers 1997; Nesje et al. 2000; Linderholm & Jansson 2007). Here, we investigate the correlation between Tarfala's temperature record and the NAO. Figure 10 indicates that at least for the first half of the time series variations in Tarfala, winter temperatures (DJF) may be driven by the air pressure variations described by the NAO index. As the results from the non-parametric Spearman rank tests show that the correlation varies with time (Table 2). It is largest during the period 1976–1995, when more than 50% of the variance is explained by the NAO. However, correlations are weaker during the last decades indicating a decoupling between Tarfala's winter temperatures and the NAO index.

Fig 10
Fig. 10  Time series of (a) mean winter (DJF) air temperature at Tarfala Research Station and (b) North Atlantic Oscillation (NAO) index 1965–2011. Lines show five-year running means.


Table 2 Spearman rank correlation coefficient (r) and level of significance (p) for winter North Atlantic Oscillation index (DJF) versus Tarfala Research Station mean winter air temperature (DJF) for various periods. The first year given for each period includes data from the preceding December. For example, 1966 spans December 1965 through February 1966.
Period r p
1966–2011 0.42 <0.01
1966–1985 0.55 0.01
1966–1995 0.61 <0.01
1976–1995 0.74 <0.01
1975–2011 0.44 0.01
1985–2011 0.30 0.30
1995–2011 0.30 0.24

Ground temperatures

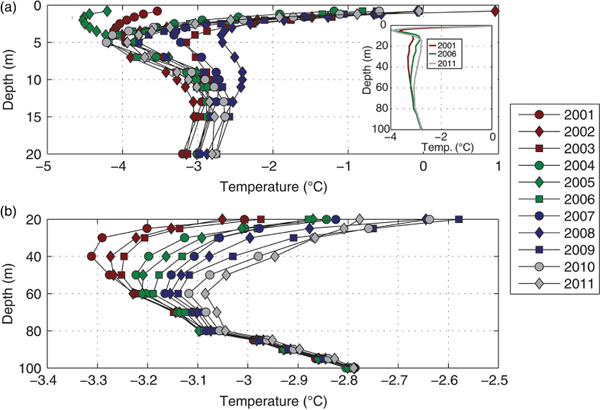
Figures 11 and 12 show ground temperature time series at different depths and temperature profiles for each year suggesting that the permafrost is warming at a considerable rate.

Fig 11
Fig. 11   Ground temperature of the Permafrost and Climate in Europe (PACE) borehole at 20-, 50-, 70- and 100-m depths between January 2001 and September 2011. Dots are smoothed daily mean temperature and lines indicate linear interpolations through data gaps.

Figure 12 indicates that temperatures have increased at all levels that are not subjected to the influence of seasonal fluctuations (below approximately the upper 15–20 m below the surface). The minimum temperature of the record below 20 m is −3.35°C (30 m below the surface at the beginning of the record). The temperature at the bottom of the 100 m borehole varies between −2.78 and −2.74°C during the investigated period. Based on earlier data from the time series, Harris et al. (2009) report that Tarfala's ground temperature gradients are negative in the upper 40–45 m. Below this depth, ground temperatures increase with depth, hence, gradients are positive. Figure 12b reveals a steady lowering of the turning point where the gradient turns from negative to positive. The 2011 profile indicates that the first 60 m experience a negative gradient; hence a lowering of the turning point by 15–20 m has occurred in the recent years. This finding is consistent with the profile of linear warming trends (Fig. 13). Linear trends over the 11-year period from 2001 to 2011 range from 0.002°C yr−1 at 100-m depth to 0.047°C yr−1 at 20-m depth. Trends increase exponentially from the bottom of the borehole to the depth of 20 m, though temperatures at 20 m have decreased since 2010. The trends are similar to those found for an earlier period by Isaksen et al. (2007).

Fig 12
Fig. 12  Permafrost and Climate in Europe (PACE) borehole temperature profiles on 7 June for each year (a) to a depth of 20 m and (b) between 20 and 100 m depth.

Fig 13
Fig. 13  Linear temperature trends over the period 2001–11 versus depth. Trends are not shown for the upper 20 m, where temperatures are affected by seasonal variations.

Christiansen et al. (2010) report an increase in active layer thickness (defined as the layer that experiences seasonal freezing and thawing) at the Tarfala drill site over the period 2000–08. Figure 14 shows substantial warming in the upper layers over the period 2001–03, with the active layer thickness increasing from 1.19 to 1.66 m, but no apparent trend of active layer thickness in the following years. However, during the earlier years values are probably underestimated due to large data gaps. During the period 2003–11, the active layer thickness fluctuates between 1.52 and 1.66 m (mean: 1.58±0.04 m). The lack of a positive trend may be attributed to interannual variations in snow cover at the drill site.

Fig 14
Fig. 14  Ground temperature (°C) between 0.2 and 3 m depth, 2001–11.

Concluding remarks

Analysis of several independent data records indicates significant warming in the vicinity of Tarfala Research Station. Annual air temperatures at Tarfala have increased significantly over the 47-year period 1965–2011 with a linear warming trend of ±0.042°C yr−1. The warming trend is largest between September and January but trends vary considerably between months. An 11-year record of ground temperatures nearby shows significant permafrost warming between 2001 and 2011. The increase is consistent with the air temperature increase in Tarfala and supports previous interpretations (Isaksen et al. 2007; Christiansen et al. 2010) that the permafrost warming is most likely caused by increased air temperatures in the last decades. Further air temperature warming as projected by global climate models (AMAP 2011) will most likely lead to further permafrost warming at the Tarfala borehole.

Further air temperature increases will also affect the mass balance of the nearby glaciers. Mean summer air temperatures at Tarfala are highly correlated with Storglaciären's summer mass balance explaining 76% of the variance. The number of days with mean daily positive temperatures and the PDDS has increased during the last two decades compared with the previous period. We also find that Tarfala's winter temperature record correlates with the NAO although the correlation has decreased during the last two decades. In addition to providing valuable data for change detection, the air and ground temperature data series will be useful as input to glacier and permafrost modelling efforts.

Acknowledgements

The authors thank Tarfala Research Station's staff, in particular, Peter Jansson, Stockholm University, and the Swedish Meteorological and Hydrological Institute for providing data. Comments by John Cassano and an anonymous reviewer improved the paper. PACE data collection was initiated through funding by the European Union through the Fourth Framework Programme (contract EnV4-CT97-0492, period 1997–2001).

References

AMAP (Arctic Monitoring and Assessment Programme). 2011. Snow, water, ice and permafrost in the Arctic (SWIPA): climate change and the cryosphere. Oslo: Arctic Monitoring and Assessment Programme.

Chapman W.L. & Walsh J.E. 2007. Simulations of Arctic temperature and pressure by global coupled models. Journal of Climate 20, 609–632. Publisher Full Text

Christiansen H.H., Etzelmüller B., Isaksen K., Juliussen H., Farbrot H., Humlum O., Johansson M., Ingeman-Nielsen T., Kristensen L., Hjort J., Holmlund P., Sannel A.B.K., Sigsgaard C., Akerman H.J., Foged N., Blikra L.H., Pernosky M.A. & Odegard M.A. 2010. The thermal state of permafrost in the Nordic area during the International Polar Year 2007–2009. Permafrost and Periglacial Processes 21, 156–181. Publisher Full Text

Cogley J.G., Hock R., Rasmussen L.A., Arendt A.A., Bauder A., Braithwaite R.J., Jansson P., Kaser G., Möller M., Nicholson L. & Zemp M. 2011. Glossary of glacier mass balance and related terms. Paris: United Nations Educational, Scientific and Cultural Organization.

De Woul M. & Hock R. 2005. Static mass balance sensitivity of Arctic glaciers and ice caps using a degree-day approach. Annals of Glaciology 42, 217–224. Publisher Full Text

Gardner A., Sharp M., Koerner R.M., Labine C., Boon S., Marshall S., Burgess D. & Lewis D. 2009. Near-surface temperature lapse rates over Arctic glaciers and their implications for temperature downscaling. Journal of Climate 22, 4281–4298. Publisher Full Text

Grudd H. & Schneider T. 1996. Air temperature at Tarfala Research Station 1946–1995. Geografiska Annaler 78A, 115–119. Publisher Full Text

Harris C., Arenson L.U., Christiansen H.H., Etzemuller B., Frauenfelder R., Gruber S., Haeberli W., Hauck C., Holzle M., Humlum O., Isaksen K., Kaab A., Kern-Lutschg M.A., Lehning M., Matsuoka N., Murton J.B., Nozli J., Phillips M., Ross N., Seppälä M., Springman S.M. & Von de Mühll V. 2009. Permafrost and climate in Europe: monitoring and modeling thermal, geomorphological and geotechnical responses. Earth-Science Reviews 92, 117–171. Publisher Full Text

Harris C., Haeberli W., Von der Muehll D. & King L. 2001. Permafrost monitoring in the high mountains of Europe: the PACE project in its global context. Permafrost Periglacial Processes 12, 3–11. Publisher Full Text

Harris C., Von der Muehll W., Isaksen K., Haeberli W., Sollid J.L., King L., Holmlund P., Dramis F., Guglielmini M. & Palacios D. 2003. Warming permafrost in European mountains. Global and Planetary Change 39, 215–225. Publisher Full Text

Hock R. 2003. Temperature index melt modelling in mountain regions. Journal of Hydrology 282, 104–115. Publisher Full Text

Hock R. & Holmgren B. 2005. A distributed energy balance model for complex topography and its application to Storglaciären, Sweden. Journal of Glaciology 51, 25–36. Publisher Full Text

Holmlund P., Jansson P. & Pettersson R. 2005. A re-analysis of the 58 year mass balance record of Storglaciären, Sweden. Annals of Glaciology 42, 389–394. Publisher Full Text

Hurrell J.W. 1995. Decadal trends in the North Atlantic Oscillation: regional temperatures and precipitation. Science 269, 676–679. Publisher Full Text

Isaksen S., Holmlund P., Sollid J.L. & Harris C. 2001. Three deep alpine-permafrost boreholes in Svalbard and Scandinavia. Permafrost Periglacial Processes 12, 13–25. Publisher Full Text

Isaksen K., Sollid J.L., Holmlund P. & Harris C. 2007. Recent warming of mountain permafrost in Svalbard and Scandinavia. Journal of Geophysical Research—Earth Surface 112, F02S04, doi: 10.1029/2006JF000522. Publisher Full Text

King L. 1984. Permafrost in Skandinavien Untersuchungsergebnisse Aus Lappland, Jotunheimen und Dovre/Rondane: results from Lapland, Jotunheimen and Dovre/Rondane. (Permafrost in Scandinavia: results from Lappland, Jotunheimen and Dovre/Rondance.) Heidelberg: Department of Geography, University of Heidelberg.

Linderholm H.W. & Jansson J. 2007. Proxy data reconstructions 1 of the Storglaciären (Sweden) mass-balance record back to AD 1500 on annual to decadal timescales. Annals of Glaciology 46, 261–267. Publisher Full Text

Nesje A., Lie O. & Dahl S.O. 2000. Is the North Atlantic Oscillation reflected in Scandinavian glacier mass balance records? Journal of Quaternary Science 15, 587–601.

Pohjola V.A. & Rogers J.C. 1997. Atmospheric circulation and variations in Scandinavian mass balance. Quaternary Research 47, 29–36. Publisher Full Text

Radić V. & Hock R. 2006. Modeling future glacier mass balance and volume changes using ERA-40 reanalysis and climate models: a sensitivity study at Storglaciären, Sweden. Journal Geophysical Research—Earth Surface 111, F03003, doi: 10.1029/2005JF000440. Publisher Full Text

Sollid J.L., Holmlund P., Isaksen K. & Harris C. 2000. Deep permafrost boreholes in western Svalbard, northern Sweden and southern Norway. Norskgeografisk Tidsskrift 54, 186–191. Publisher Full Text

Solomon S., Qin D., Manning M., Chen Z., Marquis M., Averyt K.B., Tignor M. & Miller H.L. (eds.) 2007. Climate change 2007. The physical science basis: contribution of working group I to the fourth assessment report of the Intergovernmental Panel on Climate Change. Cambridge: Cambridge University Press.

Von der Muehll D. & Holub P. 1992. Borehole logging in Alpine permafrost, Upper Engadin, Swiss Alps. Permafrost Periglacial Processes 3, 125–132. Publisher Full Text