RESEARCH/REVIEW ARTICLE

Effects of temperature and fertilization on the structure of total versus active bacterial communities from sub-Antarctic seawater exposed to crude oil and diesel fuel

Arturo Rodríguez-Blanco,1,2,3 Audrey Duval,1,2 Emilien Pelletier,4 Daniel Delille1,2 & Jean-François Ghiglione1,2

1 Microbial Oceanography Laboratory, Pierre and Marie Curie University Paris 6, UMR 7621, Avenue Fontaulé, BP44, FR-66650 Banyuls-sur-Mer, France
2 National Center for Scientific Research, Mixed Research Unit 7621, Avenue Fontaulé, BP44, FR-66650 Banyuls-sur-Mer, France
3 Department of Microbiology, Institute for Aquaculture, University of Santiago de Compostela, ES-15782 Santiago de Compostela, Spain
4 Institute of Marine Science, University of Quebec at Rimouski, 310 allé des Ursulines, Rimouski, Quebec G5L 3A1, Canada

Abstract

Polar environments are exposed to the risk of oil pollution. However, there is limited knowledge regarding how the variation of physicochemical factors influencing biodegradation may affect bacterial community structure. The effects of temperature (4, 10 and 20°C) and organic fertilization (Inipol EAP 22) on community structure and diversity of bacteria inhabiting Kerguelen sub-Antarctic waters were studied in crude- and diesel-amended microcosms. Dynamics of total (i.e., 16S rDNA-based) and metabolically active (i.e., 16S rRNA-based) bacterial community structure and diversity were monitored using capillary-electrophoresis single-strand conformation polymorphism. Results showed that total and active community structures were differently influenced by temperature and fertilization in the presence of hydrocarbons. Both fertilization and temperature induced changes in total community structure in the presence of crude oil and diesel. However, temperature showed a limited influence on active community structure, and fertilization induced changes in the presence of crude oil only. Simpson’s index decreased for total bacterial communities at all temperatures in the presence of crude oil and diesel, whereas a lower reduction was observed for active bacterial populations. In the presence of fertilizer, the diversity of the whole community approached control values after seven incubation weeks; this was not observed for the active bacterial community. This study evidenced qualitative differences in total and active bacterial community structures of Kerguelen seawaters in the presence of hydrocarbons and different responses relative to variation in temperature and fertilization. These factors and hydrocarbons composition have to be taken into account to understand bacterial community dynamics after an oil spill.

Keywords
Oil hydrocarbons; Inipol EAP 22; temperature; 16S rDNA/rRNA; sub-Antarctic seawater.

Correspondence
Jean-François Ghiglione, National Center for Scientific Research, Mixed Research Unit 7621, Avenue Fontaulé, BP44, FR-66650 Banyuls-sur-Mer, France. E-mail: ghiglione@obs-banyuls.fr

(Published: 9 May 2013)

Polar Research 2013. © 2013 A. Rodríguez-Blanco et al. This is an open-access article distributed under the terms of the Creative Commons Attribution-Noncommercial 3.0 Unported License (http://creativecommons.org/licenses/by-nc/3.0/), permitting all non-commercial use, distribution, and reproduction in any medium, provided the original work is properly cited.

Citation: Polar Research 2013, 32, 18521, http://dx.doi.org/10.3402/polar.v32i0.18521

 

Increased ship traffic resulting from scientific, tourist and oil exploration activities in polar areas may have important environmental impacts, as shown by the shipwreck of the supply ship Bahia Paraiso near Palmer station in Antarctica (Karl 1992). Hydrocarbon degradation in natural environments is mainly achieved by microorganisms (Leahy & Colwell 1990). In Antarctic environments, evidence of oil biodegradation by microorganisms has been shown in soils (Wardell 1995), sediments (Tumeo & Wolk 1994), sea ice (Delille et al. 1997) and seawater (Delille et al. 1998). Different environmental factors determine the extent of microbial degradation of hydrocarbons, nutrient availability and temperature being those considered to have a major impact in this process (Atlas & Bartha 1972; Braddock et al. 1997; Xia et al. 2006). Nutrient availability is a limiting factor since hydrocarbons are characterized by high carbon to nitrogen and phosphorous ratios that do not support microbial growth, unless available nutrients correct this imbalance (Head et al. 2006). The addition of fertilizers after oil pollution events has shown increased hydrocarbon degradation rates in cold environments (Bragg et al. 1994) by enhancing both saprophytic and hydrocarbon-utilizing microbiota (Delille et al. 1998).

Temperature influences microbial community structure and metabolism (Nedwell 1999), especially in high-latitude regions (Gerdes et al. 2005), but it also determines hydrocarbon physical state and bioavailability (Leahy & Colwell 1990). Low temperatures increase oil viscosity and reduce volatilization of toxic short-chain alkanes, which delays biodegradation (Leahy & Colwell 1990). Enzymatic activity is generally reduced at low temperature, resulting in a decrease in hydrocarbon degradation rates (Leahy & Colwell 1990).

Changes in bacterial community structure can be monitored using culture-independent techniques, since hydrocarbon-degrading bacteria frequently do not grow on common culture media (Deppe et al. 2005). Community structure has been monitored in cold environments after an oil exposure, but different hydrocarbon mixtures have rarely been tested under the same conditions (Brakstad & Lødeng 2004; Gerdes et al. 2005; Brakstad et al. 2008). Studies have monitored changes in oil-exposed community structure of Arctic soil at different temperatures (Eriksson et al. 2001) and in different fertilization conditions (Yergeau et al. 2009). However, the simultaneous study of these two parameters in seawater community structure has been made in temperate environments only (Coulon et al. 2007; Rodríguez-Blanco et al. 2010).

In a recent work, we studied the effect of temperature and fertilization on microbial growth and hydrocarbon degradation in sub-Antarctic seawaters of the Kerguelen Archipelago exposed to crude and diesel oil mixtures (Delille et al. 2009). The present study analyses the structural changes occurring in the bacterial communities of the Kerguelen experiment, using a culture-independent technique named capillary-electrophoresis single strand conformation polymorphism (CE-SSCP; Lee et al. 1996), targeting 16S rDNA and 16S rRNA. The use of a high-throughput fingerprinting technique, such as the CE-SSCP, permits the comparison of a large number of samples (Ghiglione et al. 2005), providing an accurate inter-sample analysis (Hong et al. 2007). Recently, CE-SSCP has been shown to provide similar results compared to other fingerprinting techniques (Ducklow et al. 2011) and to next generation sequencing techniques (Ghiglione & Murray 2012).

Metabolically active bacteria contain more rRNA than resting or starved cells, and 16S rRNA-based fingerprinting has been suggested as an indicator of the metabolically active bacterial community structure (DeLong et al. 1989; Kemp et al. 1993; Poulsen et al. 1993). The importance of focusing not only on the total bacterial community (based on 16S rDNA) but also on the metabolically active fraction (based on 16S rRNA) to evaluate the influence of environmental factors on bacterial populations has been underlined in previous studies (Schafer et al. 2001; Troussellier et al. 2002; Moeseneder et al. 2005; Gentile et al. 2006; Lami et al. 2009; Rodríguez-Blanco et al. 2009). To our knowledge, only one study used a combined 16S rDNA/16S rRNA approach to compare dynamics of total versus metabolically active bacterial community structure of hypersaline microbial mats in the context of hydrocarbons pollution (Bordenave et al. 2007). Here, we present the first study testing the effects of temperature and fertilization on both total (DNA-based) and active (RNA-based) bacterial communities inhabiting sub-Antarctic seawaters when subjected to crude oil and diesel fuel.

Materials and methods

Experimental set-up

Seawater was collected on 13 April 2006 at the surface, in the Morbihan Bay of the Kerguelen Archipelago (49° 22’ S, 70° 12’ E), 2 km from the Port-au-Français scientific station. Samples were immediately carried to the biological laboratory of this station, where the experiments were conducted. Seawater samples (600 mL) were added to sterile 1L-Erlenmeyer flasks, together with 0.5 mL of either Arabian light crude oil or diesel fuel. Oil was added alone to seawater or with Inipol EAP 22 organic fertilizer (10% V/V; Elf Atochem, Colombes, France). The Arabian light crude used in this experiment was liquid petroleum with a high American Petroleum Institute gravity (32°), a low pour point of −28°C and a low dynamic viscosity of 31 cP at 0°C. The Inipol EAP22 is a micro-emulsion containing butoxyethanol, oleic acid and surfactants with a dynamic viscosity of 250 cP at 20°C and a pour point at 11°C.

One flask for each treatment (i.e., non-amended seawater; seawater amended with crude oil only; seawater amended with crude oil and Inipol EAP 22; seawater amended with diesel fuel only; seawater amended with diesel fuel and Inipol EAP 22) was incubated at three different temperatures (20, 10 and 4°C) for 7 weeks under orbital stirring.

DNA extraction and purification

A minimum of 50 mL of seawater was pre-filtered through a 3 µm-pore filter (47 mm, Polycarbonate Nuclepore®, Whatman, Kent, UK) in order to remove large organisms and then filtered through a 0.22-µm pore filter (47 mm, Polycarbonate Nuclepore) before being stored at −80°C until analysis. Cellular lysis was performed in two steps on a lysis buffer, containing 50 mM Trizma base (Sigma-Aldrich, St. Louis, MO, USA), 40 mM ethylenediaminetetraacetic acid (Sigma-Aldrich) and 0.75 M Sucrose (Sigma-Aldrich). First, a freshly prepared lysozyme solution (final concentration 1 mg mL−1) was added to the 0.22-µm pore filter and samples were incubated at 37°C for 45 min. Second, sodium dodecyl sulphate (final concentration 1%) and proteinase K (final concentration 0.2 mg mL−1) were added and tubes were incubated at 50°C for 1 h.

A volume of 600 µL of the resulting cellular lysate was treated with 10 µL of a 100 mg mL−1 RNase A solution (Qiagen, Hilden, Germany) before DNA extraction which was carried out using the DNeasy Tissue kit (Qiagen), as described by the manufacturer instructions.

RNA extraction and cDNA synthesis

Samples for RNA analysis were processed in parallel to DNA extraction as previously described (Ghiglione et al. 2009). Briefly, the remaining 400 µL of cellular lysate was treated with DNase I for RNA extraction using an SV Total RNA Isolation kit (Promega, Madison, WI, USA). Effective DNA digestion was verified before cDNA synthesis by negative 16S rDNA polymerase chain reaction (PCR) amplification (PCR conditions as reported below). RNA was reverse transcribed (RT) into single-strand cDNA using Moloney Murine Leukemia Virus (M-MLV) reverse transcriptase (Promega), according to the manufacturer’s instructions. PCR amplification of cDNA was carried out as for DNA (see below).

PCR-CE-SSCP fingerprinting

The highly variable V3 region (E. coli 16S rRNA gene positions 329-533; Brosius et al. 1981) of the 16S ribosomal rRNA gene (16S rDNA) was amplified for both DNA and cDNA extracts. The bacterial universal primer set w49 forward (5’ACG GTC CAG ACT CCT ACG GG-3’; Delbès et al. 2001) and w34 reverse (5’-TTA CCG CGG CTG CTG GCA C-3’; Lee et al. 1996) were used. The reverse primer was fluorescently labelled with 5’-tetrachloro-fluorescein-CE phosphoramidite (TET, Applied Biosystems–Life Technologies, Norwalk, CT, USA) at the 5’-end position. PCR amplification of 50-µL reactions containing template, primers (final concentration 0.25 µM), dNTPs (Eurogentec, Seraing, Belgium; final concentration 0.6 mM), Pfu DNA polymerase (1 U, Promega) and Pfu reaction buffer was run in a Robocycler thermocycler (Stratagene, Agilent Technologies, Santa Clara, CA, USA). PCR steps were initial denaturation at 94°C for 1 min, followed by 25 cycles of denaturation at 94°C for 1 min, annealing at 61°C for 15 s and extending at 72°C for 30 s with a final 10 min extension at 72°C. Size (ca. 200 bp length) and concentration of PCR products were determined by agarose gel electrophoresis (2%) with a DNA size standard (Low DNA Mass Ladder, Gibco–Life Technologies, Carlsbad, CA, USA).

Successive dilutions in nuclease-free sterile water were made to obtain 10 ng µL−1 of PCR product. One µL of the dilution was mixed with 18.9 µL of formamide and 0.1 µL of the internal size standard Gene-Scan-400 Rox (Applied Biosystems), denatured at 94°C for 5 min, and immediately cooled on ice for 5 min before electro-kinetical injection (5 s, 12 kV) into a capillary tube (47 cm×50 µm) filled with 5.6% of Genescan polymer in a ABI Prism 310 Genetic analyser (Applied Biosystems). Electrophoresis was carried out at 15 kV for 30 min sample−1 at 30°C, and data were collected with ABI Prism 310 collection software (Applied Biosystems). TET-labelled fragments were detected by a laser with a virtual C filter (detection wavelengths: 532, 537 and 584 nm).

CE-SSCP fingerprints comparative analysis

Total fingerprinting area was normalized among all the aligned CE-SSCP profiles obtained using the internal size standard Gene-Scan-400 Rox throughout the Statistical Analysis of Fingerprints Using Molecular Biology (SAFUM) software (Zemb et al. 2007). Similarity matrices based on Bray-Curtis distances and unweighted pair group method with arithmetic mean (UPGMA) dendrograms were generated using the Primer-E5 software package (Clarke & Warwich 2001). One-way Anosim tests for significant differences in bacterial community structure were also performed using Primer-E5. Peak detection and Simpson index values were automatically obtained from each fingerprint using the SAFUM software.

Results

Comparative analysis of the structure of total bacterial communities (16S rDNA) in samples collected during microcosm experiments

16S rDNA-based fingerprints of samples incubated with the oleophilic fertilizer clustered separately from those incubated only with crude or diesel oil (Fig. 1a, clusters 3 and 7, and Fig. 1b, clusters 6 and 7), suggesting nutrients addition to induce changes in total bacterial community structure. However, these changes occurred mostly at high temperatures (i.e., 10°C and 20°C), since fertilizer-enriched incubations made at low temperature (i.e., 4°C) induced mostly no variations in structure (Fig. 1a, clusters 3 and 4, and Fig. 1b, clusters 4 and 5). In the presence of crude oil, fertilizer-induced bacterial community structure changed between the first and the seventh week of incubation, with similar changes observed at 10 and 20°C (Fig. 1a, clusters 3 and 7). Conversely, fertilizer-induced structure remained stable over time in the presence of diesel (from the third week at 10°C), but with separated clusters obtained at 10 and 20°C (Fig. 1b, clusters 6 and 7). Compiling all data, Anosim tests showed weak structural differences induced by Inipol EAP 22 in diesel incubations (Global R=0.145; significance level of sample statistic=3.7%), and no differences in crude oil incubations. (Global R=0.067; significance level of sample statistic=16.4%).

Fig 1
Fig. 1  Unweighted pair group method with arithmetic mean dendrograms based on Bray-Curtis similarities among 16S rDNA capillary-electrophoresis single strand conformation polymorphism profiles in the presence of (a) Arabian light crude oil and (b) diesel fuel incubations. The initial community (TO); non-amended controls (squares); samples amended with crude oil (circles) or crude oil with Inipol EAP 22 (inverted triangles) and samples amended with diesel oil (rhombs) or diesel oil with Inipol EAP 22 (triangles) are shown for incubation temperatures of 4°C (white), 10°C (grey) and 20°C (black). Dashed lines indicate cut-off similarity value, which were assigned to 50–60% for adequate cluster definition.

Clusters containing mainly samples incubated at the same temperature were more frequently observed in the diesel-related dendrogram (Fig. 1b, clusters 2–6) than in the crude oil-related dendrogram (Fig. 1a, cluster 6), indicating the influence of temperature on total community structure to be more important in the presence of diesel. Anosim tests confirmed these temperature-related structural differences in all diesel incubations (Global R=0.1; significance level of sample statistic=12.3%), and for crude oil incubations the absence of such differences (Global R=0.024; significance level of sample statistic=33.3%).

In fact, a slight different impact of oil mixture alone was observed for the total bacterial community structure. Crude oil-addition induced structural changes at all temperatures, as shown by separate clusters containing controls and crude oil-amended samples (Fig. 1a, clusters 1 and 2). However, a simple diesel addition caused no systematic changes in the structure of total bacterial communities (Fig. 1b, clusters 2 and 3).

The structure of initial bacterial communities was similar to that of non-amended controls incubated at 4°C, from the first to the seventh week of incubation (Fig. 1a, b, cluster 1). This indicates a low impact of confinement in bacterial community structure along the study.

Comparative analysis of the structure of active bacterial communities (16S rRNA) in samples collected during microcosm experiments

The 16S rRNA-based dendrogram provided different results in the ongoing dynamics of the active bacterial fraction. Samples collected after 1 and 3 weeks, including non-amended controls, strongly resembled one another, constituting well separated clusters in both crude oil and diesel-related dendrograms (Fig. 2a, cluster 1; Fig. 2b, cluster 2). The sample corresponding to the initial communities clustered separately from these clusters (Fig. 2a, b). Differences in active community structure related to time of incubation were significant in both crude oil (Global R=0.228; significance level of sample statistic=0.2%) and diesel incubations (Global R=0.498; significance level of sample statistic=0.1%).

Fig 2
Fig. 2  Unweighted pair group method with arithmetic mean dendrograms based on Bray-Curtis similarities among 16S rRNA rDNA capillary-electrophoresis single strand conformation polymorphism profiles in the presence of (a) Arabian light crude oil and (b) diesel fuel incubations. The initial community (TO); non-amended controls (squares); samples amended with crude oil (circles) or crude oil with Inipol EAP 22 (inverted triangles) and samples amended with diesel oil (rhombs) or diesel oil with Inipol EAP 22 (triangles) are shown for incubation temperatures of 4°C (white), 10°C (grey) and 20°C (black). Dashed lines indicate cut-off similarity value, which were assigned to 50–60% for adequate cluster definition.

Samples incubated in the presence of fertilizer primarily clustered separately from those incubated in the presence of crude oil only (Fig. 2a, clusters 1, 2, 5 and 6), whereas they mostly clustered together with those incubated with diesel only (Fig. 2b, clusters 2, 3 and 5). Thus, fertilization induced changes in active community structure depending on the oil mixture tested, but temperature had a low influence on structure: no temperature-related clusters were found either in crude oil or in diesel fuel-related 16S rRNA-based dendrograms (Fig. 2).

Comparative analysis of Simpson’s index values obtained from CE-SSCP fingerprints of total (16S rDNA) and active (16S rRNA) bacterial communities

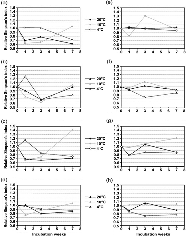
Simpson’s index values of 16S rDNA and 16S rRNA CE-SSCP fingerprints obtained from crude oil and diesel amended cultures were relativized to values obtained from non-amended controls (Fig. 3).

Fig 3
Fig. 3  Simpson’s index values relative to (a)–(d) non-amended controls of 16S rDNA and (e)–(h) 16S rRNA capillary-electrophoresis single strand conformation polymorphism fingerprints obtained from (a) and (e) crude-oil-amended cultures; (b) and (f) cultures amended with crude oil and Inipol EAP 22; (c) and (g) diesel-oil-amended cultures; and (d) and (h) cultures amended with diesel oil and Inipol EAP 22.

Relative Simpson’s index values of total bacterial communities (16S rDNA) initially decreased in the presence of both crude oil and diesel at 10°C and 20°C (Fig. 3a, c), whereas this reduction occurred later on at 4°C (Fig. 3a, c), indicating some influence of temperature in diversity dynamics along the incubation period. Diversity remained low after seven incubation weeks except at 10°C in the presence of both crude oil and diesel. In the presence of fertilizer, the diversity of the whole community approached control values after seven incubation weeks, showing minor differences among temperatures (Fig. 3b, d).

Regarding values for active bacterial populations, lower diversity reduction was generally observed after crude and diesel oil addition (Fig. 3e, g). Fertilizer addition tended to reduce diversity, and this reduction occurred earlier at 4°C (Fig. 3f, h).

Discussion

In a previous article based on the same experiment as described here, we observed that bacterial growth and hydrocarbon degradation increased in the presence of fertilizer Inipol EAP 22, whereas temperature variation induced minor changes in growth and oil degradation (Delille et al. 2009). The present study analysed changes in bacterial community structure during the same experiment, to understand whether the observed quantitative changes in growth and biodegradation also corresponded to some qualitative changes in community structure. Although temperature range and substrate concentration have a crucial role to play in bacterial growth (Pomeroy & Wiebe 2001; Kirchman et al. 2009), bacterial species tolerate different temperature ranges. Lower growth temperatures are mostly defined by the loss of membrane function, and upper growth temperatures are determined by denaturation of key cellular components (Nedwell 1999). In the presence of hydrocarbons, only some species are responsible for a significant part of hydrocarbon removal (Head et al. 2006), suggesting that fertilization would stimulate the growth of a limited fraction of the bacterial community, at least initially. Considering temperature variation and substrate concentration together seems to be of high interest, since interactions between these two parameters may exist. For instance, substrate uptake or assimilation can be altered by temperature (Pomeroy & Wiebe 2001). Inipol EAP 22 is an oleophilic fertilizer that supplies organic nutrients in a slow release form, but it also has surfactant characteristics reducing oil viscosity and preventing the formation of water-in-oil emulsions (Ladousse & Tramier 1991).

Our results showed that fertilizer addition induced structural changes to the total bacterial community at higher temperatures (10°C and 20°C) in both crude or diesel oil conditions, whereas they induced changes in the active bacterial fraction only in the presence of crude oil. Temperature had a more remarkable effect on total community structure in the presence of diesel, while no effect was detected in the structure of the active community. These results point to the different dynamics of the total community as opposed to the metabolically active bacterial populations. The distribution of the total bacterial community was more dependent on temperature variation, even in the presence of Inipol EAP 22 when exposed to hydrocarbons. The distribution of active bacterial members was more related to factors playing an important role in degradation in the Kerguelen experiment, such as availability of nutrients and hydrocarbon composition, which is consistent with the fact that metabolically active members are responsible for hydrocarbon degradation.

Comparable trends have been found in a similar experiment involving seawater from the Mediterranean Sea (Rodríguez-Blanco et al. 2010), suggesting a similar influence of temperature and nutrients in the presence of hydrocarbons for bacterial communities inhabiting polar and temperate seawaters. Even though temperature usually ranges from 2°C to 8°C in coastal seawater off the Kerguelen Archipelago (Delille et al. 2009), temperature can drop below zero in winter and rise above 18°C on warm summer days. Previous studies of Kerguelen cultivable bacteria suggest that a diverse number of optimum temperature ranges could have been represented at the time of the experiment (Delille & Perret 1989), including tolerant psychrophilic bacteria (optimal temperature between 7°C and 20°C), psychrotrophic bacteria (between 4°C and 30°C) and tolerant psychrotrophic bacteria (20°C or above). Therefore, the similarity of behaviour between Mediterranean and sub-Antarctic seawater bacterial communities in the presence of hydrocarbons may occur only in specific seasonal periods.

Quite different from the Kerguelen experiment, structural changes induced by fertilization at the RNA level in the Mediterranean experiment occurred in the presence of both crude oil and diesel fuel (Rodríguez-Blanco et al. 2010). Kerguelen active community structure was less influenced by fertilization in diesel incubations (Fig. 2). These qualitative differences related to hydrocarbon mixtures in Kerguelen seawater were also observed in some quantitative data. Biodegradation rates of less volatile hydrocarbons (C17/Pristane ratio) indicated that fertilizer did not increase diesel biodegradation in the same way as it did for crude oil (Delille et al. 2009). This could be related to the different influence of different hydrocarbon mixtures in the Kerguelen bacterial community structure. Other factors, such as the ability of the Kerguelen bacterial communities to degrade certain compounds, could explain these differences between the degradation rates of crude oil and diesel fuel.

Results of 16S rRNA-based dendrogram show an important influence of time of incubation on the structure of active bacterial communities (Fig. 2). These dynamics were not observed at the DNA level (Fig. 1b). Similar results have been observed using a combined 16S rDNA/rRNA approach to study the bacterial community of a pristine microbial mat exposed to heavy fuel oil (Bordenave et al. 2007). These authors reported that changes of structure were observed earlier at the RNA level than at the DNA level. The relation among structure of the active bacterial community and time of incubation could be related to the modification in the hydrocarbons composition or other temporal changes occurring in natural environments as a result of biodegradation (Head et al. 2006). For instance, aliphatic hydrocarbons are degraded before high molecular weight aromatic hydrocarbons (Head et al. 2006). Biodegradation of different hydrocarbon molecules at different times is the result of co-metabolic reactions involving different bacterial species (Deppe et al. 2005). Pelz et al. (1999) showed that initial hydrocarbon degrading bacteria were replaced by other populations with complementary degradation capacities, which could explain the temporal changes observed in the present study for active bacterial structure in the presence of hydrocarbons. Temporal clusters of 16S rRNA-based fingerprints were also observed in a similar study made on temperate estuarine waters (Coulon et al. 2007). The very low viscosity and pour point of crude oil used in this experience ensured its bioavailability to microorganisms from the beginning of the experiment. Inipol EAP22 is relatively more viscous and has a high pour point, but it readily mixed with oil, did not change the low viscosity of the mixture and the presence of surfactants greatly enhanced the bioavailability of the oil.

These results highlight the value of using a combined 16S rDNA/rRNA approach to study the dynamics of the bacterial community structure in the context of hydrocarbon pollution. Monitoring structural changes in the bacterial community in the presence of hydrocarbons has usually been undertaken with 16S rDNA-based approaches (Head et al. 2006). However, limitations, such as variation in the rDNA copy number among bacterial species that could introduce biased estimation of diversity and the lack of information related to cellular activity, make these approaches limited (Klappenbach et al. 2000; Acinas et al. 2004). 16S rRNA-based approaches have their own limitations, including growth rate variation in natural environments inducing variation in the cellular rRNA content (Givskov et al. 1994). Combining 16S rDNA/rRNA approaches provides a more complete and reliable description of the bacterial community structure.

Moreover, the use of a high-throughput fingerprinting technique, such as the CE-SSCP, allows the comparison of a high number of samples (92), providing accurate inter-sample analysis (Hong et al. 2007). The use of a capillary and standardized reagent with CE-SSCP avoids problems related to gel-to-gel variation (Hebenbrock et al. 1995) that would make other gel-based techniques, such as denaturing gradient gel electrophoresis, less suitable for the comparative analysis of our samples (Hong et al. 2007). Furthermore, no digestion with restriction enzymes is required in the CE-SSCP technique, compared to other capillary-based fingerprinting methods, such as terminal restriction fragment length polymorphism, avoiding the putative incomplete digestions and subsequent formation of multiple peaks per operational taxonomic unit (Mills et al. 2003). The current study was performed under field conditions that made the use of replicates impractical. Despite the lack of replicates, the results from this study showed that important information was obtained both at physicochemical and biological levels.

The Simpson diversity index showed that the addition of crude oil and diesel reduced the diversity in total bacterial communities. However, the reduction was retarded at 4°C (Fig. 3). The diversity of active bacterial communities experienced less marked changes after crude or diesel oil addition. These results are consistent with those observed in the Mediterranean Sea (Rodríguez-Blanco et al. 2010). However, fertilization increased diversity of Kerguelen total communities and decreased that of active populations, which was different from what we observed in the Mediterranean Sea. This could indicate that among metabolically active bacteria a few members would benefit from fertilization to perform hydrocarbon degradation (Cappello et al. 2007).

The present study evidenced qualitative differences in total and active bacterial community structures in the presence of hydrocarbons and the different responses relative to variation in temperature and fertilization. To fully understand the dynamics of the bacterial communities subjected to an oil spill in cold conditions, variations in hydrocarbon composition and fertilization have to be taken in account.

Acknowledgements

ARB was affiliated with the Pierre and Marie Curie University and the National Center for Scientific Research, in Banyuls-sur-Mer, France, at the time the research reported here was carried out.

References

Acinas S.G., Marcelino L.A., Klepac-Ceraj V. & Polz M. 2004. Divergence and redundancy of 16S rRNA sequences in genomes with multiple rrn operons. Journal of Bacteriology 186, 2629–2635. Publisher Full Text

Atlas R.M. & Bartha R. 1972. Biodegradation of petroleum in seawater at low temperatures. Canadian Journal of Microbiology 18, 1851–1855. Publisher Full Text

Bordenave S., Goñi-Urriza M.S., Caumette P. & Duran R. 2007. Effects of heavy fuel oil on the bacterial community structure of a pristine microbial mat. Applied and Environmental Microbiology 73, 6089–6097. Publisher Full Text

Braddock J.F., Ruth M.L., Catterall P.H., Walworth J.L. & McCarthy K.A. 1997. Enhancement and inhibition of microbial activity in hydrocarbon-contaminated Arctic soils: implications for nutrient-amended bioremediation. Environmental Science & Technology 31, 2078–2084. Publisher Full Text

Bragg J.R., Prince R.C., Harner E.J. & Atlas R.M. 1994. Effectiveness of bioremediation for the Exxon Valdez oil spill. Nature 368, 413–418. Publisher Full Text

Brakstad O.G. & Lødeng A.G.G. 2004. Microbial diversity during biodegradation of crude oil in seawater from the North Sea. Microbial Ecology 49, 94–103. Publisher Full Text

Brakstad O.G., Nonstad I., Faksness L.-G. & Brandvik P.J. 2008. Responses of microbial communities in Arctic sea-ice after contamination by crude petroleum oil. Microbial Ecology 55, 540–552. Publisher Full Text

Brosius J., Dull T.J., Sleeter D.D. & Noller H.F. 1981. Gene organization and primary structure of a ribosomal RNA operon from Escherichia coli. Journal of Molecular Biology 148, 107–127. Publisher Full Text

Cappello S., Caruso G., Zampino D., Monticelli L.S., Maimone G., Denaro R., Tripodo B., Troussellier M., Yakimov M. & Giuliano L. 2007. Microbial community dynamics during assays of harbour oil spill bioremediation: a microscale simulation study. Journal of Applied Microbiology 102, 184–194. Publisher Full Text

Clarke K.R. & Warwich R.M. 2001. Primer-E (5) computer program. Plymouth, UK: Natural Environmental Research Council.

Coulon F., McKew B.A., Osborn A.M., McGenity T.J. & Timmis K.N. 2007. Effects of temperature and biostimulation on oil-degrading microbial communities in temperate estuarine waters. Environmental Microbiology 9, 177–186. Publisher Full Text

Delbès C., Godon J.J. & Moletta R. 2001. Bacterial and archaeal 16S rDNA and rRNA dynamics during an acetate crisis in an anaerobic digestor ecosystem. FEMS Microbiology Ecology 35, 19–26.

Deppe U., Richnow H.H. & Antranikian W.M.G. 2005. Degradation of crude oil by an Arctic microbial consortium. Extremophiles 9, 461–470. Publisher Full Text

Delille D., Bassères A. & Dessommes A. 1997. Seasonal variation of bacteria in sea ice contaminated by diesel fuel and dispersed crude oil. Microbial Ecology 33, 97–105. Publisher Full Text

Delille D., Bassères A., Dessommes A. & Rosiers C. 1998. Influence of daylight on potential biodegradation of diesel and crude oil in Antarctic seawater. Marine Environmental Research 45, 259–268. Publisher Full Text

Delille D., Pelletier E., Rodríguez-Blanco A. & Ghiglione J.F. 2009. Effects of nutrient and temperature on degradation of petroleum hydrocarbons in sub-Antarctic coastal seawater. Polar Biology 32, 1521–1528. Publisher Full Text

Delille D. & Perret E. 1989. Influence of temperature on growth potential of southern polar bacteria. Microbial Ecology 18, 117–123. Publisher Full Text

DeLong E.F., Wickham G.S. & Pace N.R. 1989. Phylogenetic stains: ribosomal RNA-based probes for the identification of single cells. Science 243, 1360–1363. Publisher Full Text

Ducklow H.W., Myers K.M.S., Erickson M., Ghiglione J.F. & Murray A.E. 2011. Response of a summertime Antarctic marine bacterial community to glucose and ammonium enrichment. Aquatic Microbial Ecology 64, 205–220. Publisher Full Text

Eriksson M., Ka J.O. & Mohn W.W. 2001. Effects of low temperature and freeze–thaw cycles on hydrocarbon biodegradation in Arctic tundra soil. Applied and Environmental Microbiology 67, 5107–5112. Publisher Full Text

Gentile G., Giuliano L., D’Auria G., Smedile F., Azzaro M., De Domenico M. & Yakimov M.M. 2006. Study of bacterial communities in Antarctic coastal waters by a combination of 16S rRNA and 16S rDNA sequencing. Environmental Microbiology 8, 2150–2161. Publisher Full Text

Gerdes B., Brinkmeyer R., Dieckmann G. & Helmke E. 2005. Influence of crude oil on changes of bacterial communities in Arctic sea-ice. FEMS Microbiology Ecology 53, 129–139. Publisher Full Text

Ghiglione J.F., Conan P. & Pujo-Pay M. 2009. Diversity of total and active free-living vs. particle-attached bacteria in the euphotic zone of the NW Mediterranean Sea. FEMS Microbiology Letters 299, 9–21. Publisher Full Text

Ghiglione J.F., Larcher M. & Lebaron P. 2005. Spatial and temporal scales of variation in the bacterioplankton community structure in the NW Mediterranean Sea. Aquatic Microbial Ecology 40, 229–240. Publisher Full Text

Ghiglione J.F. & Murray A. 2012. Pronounced summer to winter differences and higher wintertime richness in coastal sub-Antarctic and Antarctic marine bacterioplankton. Environmental Microbiology 14, 617–629. Publisher Full Text

Givskov M., Eberl L., Moller S., Poulsen L.K. & Molin S. 1994. Responses to nutrient starvation in Pseudomonas putida strain KT2442: analysis of general crossprotection, cell shape, and macromolecular content. Journal of Bacteriology 176, 7–14.

Head I.M., Jones D.M. & Röling W.F. 2006. Marine microorganisms make a meal of oil. Nature Reviews Microbiology 4, 173–182. Publisher Full Text

Hebenbrock K., Williams P.M. & Karger B.L. 1995. Single strand conformational polymorphism using capillary electrophoresis with two-dye laser-induced fluorescence detection. Electrophoresis 16, 1429–1436. Publisher Full Text

Hong H., Pruden A. & Reardon K.F. 2007. Comparison of CE-SSCP and DGGE for monitoring a complex microbial community remediating mine drainage. Journal of Microbiological Methods 69, 52–64. Publisher Full Text

Karl D.M. 1992. The grounding of the Bahia Paraiso: microbial ecology of the 1989 Antarctic spill. Microbial Ecology 24, 77–89. Publisher Full Text

Kemp P.F., Lee S. & Laroche J. 1993. Estimating the growth rate of slowly growing marine bacteria from RNA content. Applied and Environmental Microbiology 59, 2594–2601.

Kirchman D.L., Moran X.A. & Ducklow H. 2009. Microbial growth in the polar oceans—role of temperature and potential impact of climate change. Nature Reviews Microbiology 7, 451–459.

Klappenbach J.A., Dunbar J.M. & Schmidt T.M. 2000. rRNA copy number reflects ecological strategies of bacteria. Applied and Environmental Microbiology 64, 1328–1333. Publisher Full Text

Ladousse A. & Tramier B. 1991. Results of 12 years of research in spilled oil bioremediation: INIPOL EAP 22. In: Proceedings of the 1991 Oil Spill Conference (Prevention, Behaviour, Control, Cleanup), March 4–7, 1991. Pp. 577–581. Washington, DC: American Petroleum Institute.

Lami R., Ghiglione J.F., Desdevises Y., West N.J. & Lebaron P. 2009. Annual patterns of presence and activity of marine bacteria monitored by 16S rDNA–16S rRNA fingerprints in the coastal NW Mediterranean Sea. Aquatic Microbial Ecology 54, 199–210. Publisher Full Text

Leahy J.G. & Colwell R.R. 1990. Microbial degradation of hydrocarbons in the environment. Microbiological Reviews 54, 305–315.

Lee D.H., Zo Y.G. & Kim S.J. 1996. Nonradioactive method to study genetic profiles of natural bacterial communities by PCR-single-strand-conformation-polymorphism. Applied and Environmental Microbiology 62, 3112–3120.

Mills D.K., Fitzgerald K., Litchfield C.D. & Gillevet P.M. 2003. A comparison of DNA profiling techniques for monitoring nutrient impact on microbial community composition during bioremediation of petroleum-contaminated soils. Journal of Microbiological Methods 54, 57–74. Publisher Full Text

Moeseneder M.M., Arrieta J.M. & Herndl G.J. 2005. A comparison of DNA- and RNA-based clone libraries from the same marine bacterioplankton community. FEMS Microbiology Ecology 51, 341–352. Publisher Full Text

Nedwell D.B. 1999. Effect of low temperature on microbial growth: lowered affinity for substrates limits growth at low temperature. FEMS Microbiology Ecology 30, 101–111. Publisher Full Text

Pelz O., Tesar M., Wittich R.M., Moore E.R.B., Timmis K.N. & Abraham W.-R. 1999. Towards elucidation of microbial community metabolic pathways: unravelling the network of carbon sharing in a pollutant degrading bacterial consortium by immunocapture and isotope ratio mass spectroscopy. Environmental Microbiology 1, 167–174. Publisher Full Text

Pomeroy L.R & Wiebe W.J. 2001. Temperature and substrates as interactive limiting factors for marine heterotrophic bacteria. Aquatic Microbial Ecology 23, 187–204. Publisher Full Text

Poulsen L.K., Ballard G. & Stahl D.A. 1993. Use of rRNA fluorescence in situ hybridization for measuring the activity of single cells in young and established biofilms. Applied and Environmental Microbiology 59, 1354–1360.

Rodríguez-Blanco A., Antoine V., Pelletier E., Delille D. & Ghiglione J.F. 2010. Effects of temperature and fertilization on total vs. active bacterial communities exposed to crude and diesel oil pollution in NW Mediterranean Sea. Environmental Pollution 158, 663–673. Erratum: Environmental Pollution 159, 348–350. Publisher Full Text

Rodríguez-Blanco A., Ghiglione J.F., Catala P., Casamayor E.O. & Lebaron P. 2009. Spatial comparison of total vs. active bacterial populations by coupling genetic fingerprinting and clone library analyses in the NW Mediterranean Sea. FEMS Microbiology Ecology 67, 30–42. Publisher Full Text

Schafer H., Bernard L., Courties C., Lebaron P., Servais P., Pukall R., Stackebrandt E., Troussellier M., Guindulain T., Vives-Rego J. & Muyzer G. 2001. Microbial community dynamics in Mediterranean nutrient-enriched seawater mesocosms: changes in the genetic diversity of bacterial populations. FEMS Microbiology Ecology 34, 243–253.

Tumeo M.A. & Wolk A.E. 1994. Assessment of the presence of oil-degrading microbes at McMurdo Station. Antarctic Journal of the United States 29, 375–377.

Troussellier M., Schafer H., Batailler N., Bernard L., Courties C., Lebaron P., Muyzer G., Servais P. & Vives Rego J. 2002. Bacterial activity and genetic richness along an estuarine gradient (Rhone River plume, France). Aquatic Microbial Ecology 28, 13–24. Publisher Full Text

Wardell L.J. 1995. Potential for bioremediation of fuel-contaminated soil in Antarctica. Journal of Soil Contamination 4, 111–121. Publisher Full Text

Xia W.X., Li J.C., Zheng X.L., Bi X.J. & Shao J.L. 2006. Enhanced biodegradation of diesel oil in seawater supplemented with nutrients. Engineering in Life Sciences 6, 80–85. Publisher Full Text

Yergeau E., Arbour M., Brousseau R., Juck D., Lawrence J.R., Masson L., Whyte L.G. & Greer C.W. 2009. Microarray and real-time PCR analyses of the responses of High-Arctic soil bacteria to hydrocarbon pollution and bioremediation treatments. Applied and Environmental Microbiology 75, 6258–6267. Publisher Full Text

Zemb O., Haegeman B., Delgenes J.P., Lebaron P. & Godon J.J. 2007. Safum: statistical analysis of SSCP fingerprints using PCA projections, dendrograms and diversity estimators. Molecular Ecology Notes 7, 767–770. Publisher Full Text