RESEARCH/REVIEW ARTICLE

Bacterial community structure in High-Arctic snow and freshwater as revealed by pyrosequencing of 16S rRNA genes and cultivation

Annette K. Møller,1 Ditte A. Søborg,1 Waleed Abu Al-Soud,2 Søren J. Sørensen2 & Niels Kroer1

1 Department of Environmental Science, Aarhus University, Frederiksborgvej 399, DK-4000 Roskilde, Denmark
2 Department of Biology, University of Copenhagen, Sølvgade 83H, DK-1307 K Copenhagen, Denmark

Abstract

The bacterial community structures in High-Arctic snow over sea ice and an ice-covered freshwater lake were examined by pyrosequencing of 16S rRNA genes and 16S rRNA gene sequencing of cultivated isolates. Both the pyrosequence and cultivation data indicated that the phylogenetic composition of the microbial assemblages was different within the snow layers and between snow and freshwater. The highest diversity was seen in snow. In the middle and top snow layers, Proteobacteria, Bacteroidetes and Cyanobacteria dominated, although Actinobacteria and Firmicutes were relatively abundant also. High numbers of chloroplasts were also observed. In the deepest snow layer, large percentages of Firmicutes and Fusobacteria were seen. In freshwater, Bacteroidetes, Actinobacteria and Verrucomicrobia were the most abundant phyla while relatively few Proteobacteria and Cyanobacteria were present. Possibly, light intensity controlled the distribution of the Cyanobacteria and algae in the snow while carbon and nitrogen fixed by these autotrophs in turn fed the heterotrophic bacteria. In the lake, a probable lower light input relative to snow resulted in low numbers of Cyanobacteria and chloroplasts and, hence, limited input of organic carbon and nitrogen to the heterotrophic bacteria. Thus, differences in the physicochemical conditions may play an important role in the processes leading to distinctive bacterial community structures in High-Arctic snow and freshwater.

Keywords
Taxonomic diversity; microbial assemblages; bacterial density; DOC.

Correspondence
Niels Kroer, Department of Environmental Science, Aarhus University, Frederiksborgvej 399, DK-4000 Roskilde, Denmark. E-mail: nk@dmu.dk

To access the supplementary material for this article, please see supplementary files under Article Tools online.

(Published: 25 April 2013)

Polar Research 2013. © 2013 A. K. Møller et al. This is an Open-access article distributed under the terms of the Creative Commons Attribution-Noncommercial 3.0 Unported License (http://creativecommons.org/licenses/by-nc/3.0/), permitting all non-commercial use, distribution, and reproduction in any medium, provided the original work is properly cited.

Citation: Polar Research 2013, 32, 17390, http://dx.doi.org/10.3402/polar.v32i0.17390

 

The Arctic region and the Antarctic continent constitute up to 14% of the biosphere (Priscu & Christner 2004) and offer some of the coldest and most arid environments on Earth. Snow is an important component of the polar regions (Jones 1999) and recent reports suggest that microorganisms may impact the dynamics, composition and abundance of nutrients (Hodson et al. 2008) as well as the surface albedo of snow (Thomas & Duval 1995).

Various physiological adaptations, such as increased membrane fluidity (Kumar et al. 2002), synthesis of cold-adapted enzymes (Groudieva et al. 2004) and production of cold shock (Cloutier et al. 1992) and antifreeze proteins (Gilbert et al. 2005) enable bacteria to survive under cold conditions, and bacterial activity has been detected at sub-zero temperatures in sea ice and snow (Carpenter et al. 2000; Junge et al. 2004; Panikov & Sizova 2006).

Most studies on microbial diversity in polar environments have focused on ice, permafrost and marine environments, while the microbial community structure in snow has only been scarcely examined. The few available studies of snow have shown that Proteobacteria (Alpha and Beta), Bacteroidetes (Flavobacteria and Sphingobacteria) and ThermusDeinococcus appear to be frequent when using culture-independent approaches, i.e. clone libraries (Carpenter et al. 2000; Larose et al. 2010), while Proteobacteria, Firmicutes and Actinobacteria have been isolated by cultivation-based methods (Amato et al. 2007).

Pyrosequencing has been applied to a few Arctic environments, including glacial ice (Simon et al. 2009), permafrost (Yergeau et al. 2010) and the Arctic Ocean (Kirchman et al. 2010). No characterization of microbial communities in snow and freshwater by pyrosequencing of 16S rRNA genes is available.

The goal of this study was to explore and contrast the bacterial community structure in different layers of snow over sea ice and an ice-covered freshwater lake in the High Arctic, and to possibly identify the sources of the bacteria to the communities. To the best of our knowledge, this study is the first to assess the taxonomic diversity of High-Arctic snow and freshwater microbial assemblages by analysis of pyrosequencing-derived data sets. To complement this approach, we used cultivation-dependent approaches, i.e., direct cultivation on rich medium and pre-incubation under simulated natural conditions prior to plating on rich medium.

Experimental procedures

Study area and sampling

Snow and freshwater were collected in May–June 2007 and May 2010 at Station Nord in north-eastern Greenland. Snow over sea ice was sampled in Dagmar Sund (81°36.58’N; 16°42.83’W) between Station Nord and Prinsesse Dagmar Island, while the freshwater samples were taken from a small ice and snow covered lake about 2 km south of the station (81°34.48’N; 16°37.46’W). The samples taken in 2010 were exclusively used for analysis of pH and salinity (see below).

To collect the snow samples, a vertical snow profile of 120 cm height was made by digging with a sterile shovel. Immediately prior to sampling, the outermost 1 cm of snow was removed with a sterile knife. Sampling was done using a sterile Plexiglas corer (internal diameter: 14 cm, length: 25 cm) that was inserted horizontally into the snow pack at 31–52 cm (top), 75–90 cm (middle) and 96–112 cm (bottom) depths. Up to 10 replicate cores were taken at ca. 10 cm distance at each sampling depth. Sampling depths were determined on the basis of observations of snow hardness and texture to insure that different snow layers were sampled. The snow was transferred to sterile plastic buckets covered with a lid and slowly melted at 5–7°C in the darkness for up to 48 h to avoid stressing the bacteria during melting.

Freshwater samples were collected at a depth 70 cm below the ice using a pump. The hose from the pump was flushed with 3000 litres of water before 2 litres were collected in sterile glass bottles.

Chemical analyses

Triplicate samples of 10–15 ml snow meltwater were filtered through 0.2 µm Minisart syringe filters (Sartorius, Göttingen, Germany) into acid rinsed (10% HCl) glass scintillations vials and stored frozen at −15 to −18°C. The syringe filters were rinsed in 5 ml sample water before collecting the sample. The content of dissolved organic carbon (DOC) was measured on a TOC 5000 analyser (Shimadzu Scientific Instruments, Columbia, MD, USA; Kroer 1993). Prior to analysis, samples were acidified and purged with O2 for 5 min to remove inorganic carbon.

Total bacterial abundance

Total bacterial abundance was determined by direct counts with a BH2 microscope (Olympus, Center Valley, PA, USA). Unfixed bacteria were collected on 0.2 µm pore-size black Nucleopore polycarbonate membranes (Whatman, Maidstone, Kent, UK) and stained with a 1:1000×dilution of SYBR Gold (Invitrogen–Life Technologies, Carlsbad, CA, USA). Samples were analysed immediately after sampling or as soon as snow samples were melted.

Enumeration and isolation of cultivable bacteria

Bacteria were isolated by two different procedures: i) direct plating and ii) pre-incubation under simulated natural conditions using polycarbonate membranes as a growth support before plating on rich medium (Møller et al. 2011). The pre-incubation procedure was applied to enhance the culturability of the bacteria (Rasmussen et al. 2008). Briefly, subsamples of melted snow or freshwater were plated onto 10% strength Tryptic Soy Agar (TSA) and incubated at 4–10°C and the colony forming units were counted at successive intervals until a constant count was obtained. The pre-incubation procedure involved filtration onto 0.2 µm pore-size polycarbonate membranes (25 mm diameter). The polycarbonate membranes, with the bacterial cells facing upward, were placed on the fixed 0.22-µm Anopore disc of 25-mm Nunc tissue culture inserts, and the tissue culture inserts were placed in six-well plates containing 1 ml of sample water supplemented with Tryptic Soy Broth (TSB) at concentrations of 0, 0.01 or 0.1%, respectively. The membranes were incubated at 4–10°C and the growth medium replaced with fresh medium every seven days. Formation of micro-colonies was followed by microscopy. After 77 days of incubation, bacteria from the membranes were extracted in salt buffer (KH2PO4 [0.25 g litre-1], MgSO4·7 H2O [0.125 g litre-1], NaCl [0.125 g litre-1], [NH4]2SO4 [0.2 g litre-1]) by vigorous vortexing for 1 min. Appropriate dilutions were plated on 10% TSA plates and incubated at 6°C until numbers of colonies became constant. Between 140 and 200 colonies from each location were randomly picked. All isolates were re-streaked on TSA at least two times to ensure purity.

Partial sequencing of 16S rRNA genes of isolated bacteria

DNA was extracted from the isolated bacteria by boiling (Fricker et al. 2007). For some of the isolates, extraction by boiling was not applicable due to low DNA yields. As an alternative, the PowerMax DNA soil kit (Mo Bio Laboratories, Carlsbad, CA, USA) was used following the manufacturer’s instructions. All DNA preparations were stored at −20°C.

The 16S rRNA gene of the bacteria was amplified by polymerase chain reaction (PCR) with universal bacterial primers 27f (5’-AGA GTT TGA TCM TGG CTC AG-3’) and 519r (5’-GWA TTA CCG CGG CKG CTG-3’). The PCR mixture (25 µl) consisted of 2 µl DNA template, 1 U Taq DNA polymerase (Fermentas–Thermo Scientific, Waltham, MA, USA), 0.4 µM of each primer, 400 µM dNTPs and 0.5 mM MgCl2. PCR incubation conditions were 2 min at 95°C followed by 35 cycles of 30 sec at 95°C, 30 sec at 55°C and 1 min at 72°C followed by a final extension for 5 min at 72°C. The PCR products were analysed on agarose gels stained with ethidium bromide. Sequencing of the PCR products were performed by Macrogen Inc. (Amsterdam, The Netherlands) using primer 27f.

Pyrosequencing

Meltwater or freshwater (200–500 ml) were filtered through 0.2 µm polycarbonate filters until the filters clogged. Filters were stored in 1 ml RNAlater (Ambion–Life Technologies, Austin, TX, USA) at −20°C. A total of 10 replicate freshwater filters were collected, while 10, 9 and 6 replicate filters were collected from the top, middle and bottom snow layers, respectively. DNA was extracted from the cells on the filters as well as from cells that had detached from the filters during storage (i.e., pellet obtained after centrifugation of the RNAlater). Extractions were performed with the Genomic Mini Kit (A&A Biotechnology, Gdynia, Poland) according to the manufacturer’s instructions with the following modifications: filters and pellets were combined in 1 ml extraction buffer (50 mM Tris-HCl, 5 mM EDTA, 3% SDS) and beadbeated for 30 sec on a Mini-Beadbeater (Glen Mills, Clifton, NJ, USA) and the supernatant added to 465 µl 5 M ammonium acetate. After centrifugation at 16 000×g for 10 min, two volumes of 7 M Guanidine-HCl were added to the supernatant and the mixture applied to the spin column provided in the kit and the DNA purified following the manufacturer’s instructions.

A 526 bp DNA fragment flanking the V3 and V4 regions of the 16S rRNA gene was amplified by PCR using universal prokaryote primers modified after Yu et al. (2005): 341F (5’-CCTACGGGRBGCASCAG-3’) and 806R (5’-GGACTACNNGGGTATCTAAT-3’). The PCR amplification (25 µl) were done in 1× Phusion HF buffer, 0.2 mM dNTP mixture, 0.5 U Phusion Hot Start DNA Polymerase (Finnzymes–Thermo Scientific, Espoo, Finland), 0.5 µM of each primer and 1 µl DNA. PCR conditions were 30 sec at 98°C followed by 30 cycles of 5 sec at 98°C, 20 sec at 56°C and 20 sec at 72°C followed by a final extension for 5 min at 72°C. After the PCR amplification, samples were held at 70°C for 3 min and then moved directly onto ice to prevent hybridization between PCR products and short non-specific amplicons. The PCR products were analysed on 1% agarose gel and purified with QIAEX II Gel Extraction Kit (Qiagen, Venlo, The Netherlands). The purified PCR products were tagged by another PCR (15 cycles) using primers 341F and 806R with adapters and barcode sequences, also known as tags (Supplementary Table S1). The tagged PCR amplicons were gel purified with Montage Gel Extraction Kit (Millipore, Billerica, MA, USA) and the fragments quantified using a QubitTM fluorometer (Invitrogen–Life Technologies) and mixed in approximately equal amounts (4×105 copies per µl) to ensure equal representation of each sample. DNA samples were sequenced using one of the two-regions of a 70×75 GS PicoTiterPlate (PTP) by using a GS FLX pyrosequencing system (Roche Diagnostics, Basel, Switzerland) according to the manufacturer’s instructions.

Sequence analyses

Sequences obtained from pyrosequencing were denoised to remove spurious sequences and checked for chimeras using the AmpliconNoise and ChimeraSlayer tools integrated in the open-source QIIME software package (http://qiime.org; Caporaso et al. 2010). The error correcting procedure removed between 17% (snow-top) and 59% (freshwater) of the sequences. Adaptors, amplification primers and barcode sequences were trimmed from denoised data, and the sequences filtered based on a quality score ≥25 and a length ≥200 bp. Finally, sequences were sorted on the basis of the barcode sequence using QIIME’s split_libraries.py tool. The Pyrosequencing Pipeline Classifier of the Ribosomal Database Project (RDP; http://rdp.cme.msu.edu; Cole et al. 2009) was used to assign the 16S rRNA gene sequences to higher-order bacterial taxonomy with a confidence threshold of 50% as recommended for sequences shorter than 250 bp. Alignments and clustering (maximum distance of 3%) of the sequence libraries was done using the Aligner and Complete Linkage Clustering tool of the RDP’s Pyrosequencing Pipeline. Diversity indexes were calculated using the Shannon and Chao1 index analysis tool in RDP. Bray Curtis similarity analysis between different samples at the phylum-level was done with PRIMER 5 for Windows, version 5.2.9 (http://www.primer-e.com).

The quality of the partial 16S rRNA gene sequences of the isolates was manually checked and sorted. All analysis and diversity calculations were performed as for the pyrosequences.

Nucleotide sequence accession numbers

16S rRNA gene sequences derived from pyrosequencing have been deposited at the National Center for Biotechnology Information (NCBI), in Bethesda, MD, USA, under accession number SRP003408. Partial 16S rRNA gene sequences of one representative of each of the 32 different culturable operational taxonomic units (OTUs) have been deposited at the NCBI under accession numbers JF280090-JF280117, and GU932934, GU932935, GU932939, GU932940, GU932949 and GU932975.

Results

The bacterial abundance in snow ranged from 8×102 to 3×103 cells ml−1 of meltwater (Table 1). In freshwater, the density was two orders of magnitude higher. The cultivability of the bacteria was highly variable, ranging from 0.3% in freshwater to 12% in snow (Table 1). The highest cultivability was observed in the two deepest snow layers. It should be noted that only one colony was isolated from the top snow layer, making an estimate of cultivability uncertain.


Table 1 Chemical and biological characteristics of the sampling sites.
Sample DOCa (mg C litre−1) Total countsb (cells ml−1)c Direct platingb (cfu ml−1)c
Freshwater Not determined 9.4×105±3.8×104 2.5×103±7.1×101
Snow: top 4.0±0.7 3.1×103±1.5×103 2.0×100±2.0×100
Snow: middle 3.8±0.8 1.4×103±1.1×103 1.7×102±1.2×102
Snow: bottom 1.3±0.02 8.5×102±9.0×101 6.8×101±3.0×101
aDissolved organic carbon.
bStandard errors (n=3–5).
cBacterial densities in snow are reported as numbers of cells per ml meltwater.

Cultivation of the snow and freshwater microorganisms resulted in a total of 791 bacterial isolates. About two-thirds of these (570) originated from the pre-incubation approach, in which the bacteria under simulated natural conditions were pre-grown to micro-colony size on polycarbonate membranes before being transferred to rich medium for further growth, while 221 resulted from direct plating on rich medium. Partial sequencing of the 16S rRNA genes was done for all bacterial isolates; 22 poor-quality sequences were discarded. The total number of unique culturable OTUs (≥97% sequence similarity) among the remaining 769 isolates was 32. In snow, the total number of unique OTUs was slightly higher than in freshwater as 20 unique OTUs were found in this environment while 17 unique OTUs were observed in freshwater (Table 2). Five OTUs belonging to the Proteobacteria, Actinobacteria and Bacteroidetes were found both in freshwater and snow.


Table 2 Summary of number of obtained 16S rRNA partial gene sequences and number of observed operational taxonomic units (OTUs; sequence similarity ≥ 97%) among cultivated bacterial isolates in freshwater and snow (different sampling depths combined).
  Pre-incubation on filters Direct plating  
Sample Sequences OTUs Sequences OTUs Shannon-Weaver
Freshwatera 249 13 70 6 1.34
Snowb 299 12 145 12 1.39
aTwo OTUs in freshwater were found both by direct plating and by filter incubation. Therefore, the total number of unique OTUs in freshwater was 17.
bFour OTUs in snow were found both by direct plating and by filter incubation. Therefore, the total number of unique OTUs in snow was 20.

Cells in snow meltwater and freshwater were collected on 0.2 µm polycarbonate membranes and their 16 rRNA genes partially pyrosequenced. When combining the up to 10 replicate filters per environment, the total number of 16 rRNA gene fragments (tags) obtained for each bacterial assemblage ranged between 34 000 and 85 000 (Table 3). The number of different bacterial OTUs (≥97% sequence similarity) per assemblage varied between 2000 and 6000 (Table 3). Several chloroplasts (primarily Streptophyta but also some Chlorophyta) were identified in snow and excluded from the analysis. The highest number of chloroplast tags was observed in the middle snow layer (17 620; ca. 28% of bacterial tags) followed by the top (5035; ca. 6% of bacterial tags) and the bottom (2075; ca. 5% of bacterial tags) layers. In freshwater, the number of observed chloroplast tags was low (11; ca. 0.03% of bacterial tags).


Table 3 Summary of pyrosequence (tags) numbers, numbers of operational taxonomic units (OTUs; ≥ 97% sequence similarity) and diversity estimates. To allow comparison of the Shannon-Weaver diversity index between samples, an equal number of sequences (33 882) from each community was randomly selected and used for the analysis. Note that the data represent summed tags for replicate samples within each environment. Chloroplasts were excluded from the analysis.
Sample Number of sequences OTUs Chao1 Shannon-Weaver
Freshwater 33882 1957 3204 4.58
Snow: top 85456 4356 7576 5.06
Snow: middle 62345 6084 9961 5.31
Snow: bottom 40279 3421 5986 5.60

Structure of the microbial communities

The structure of the bacterial communities at the three snow depths and the freshwater lake was compared by rarefaction analysis (Fig. 1) and other measures of diversity (Table 3). Rarefaction curves indicated that among the snow communities, the diversity was highest in the middle snow layer. However, diversity at all snow depths was higher than in the freshwater lake (Fig. 1a). Rarefaction analysis based on the culturable bacteria did not indicate notable differences between the snow and lake communities (Fig. 1b). The Chao1 species richness estimator and the Shannon-Weaver diversity index for OTUs sharing ≥97% sequence similarity supported the conclusion that the middle snow layer showed the highest diversity and that the snow microbial communities were more diverse than the freshwater community (Table 3). The Shannon–Weaver diversity index calculated for the culturable bacteria (Table 2) did not indicate a difference in the diversity between snow and freshwater. The rarefaction curves of both the pyrosequencing and the cultivation approaches suggested that the entire diversity of the communities was not captured, as the curves did not reach a plateau with increasing sample size. Based on the Chao1 species richness estimator, an estimated 57–61% of all OTUs were identified in snow while 61% were identified in freshwater.

Fig 1
Fig. 1  Rarefaction curves of operational taxonomic units (OTUs; ≥97% sequence similarity) of the (a) 16S rRNA gene metagenomic community libraries and (b) cultivated bacteria. Note that in (b), OTUs of the three snow depths have been combined.

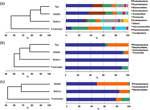
Overall similarity of the microbial communities was examined at the phylum level (distribution of tags within each phylum compared between the four environments) by a χ2-test and by the Bray–Curtis similarity measure (Fig. 2). Although the communities were significantly different as determined by the χ2-test (P<0.001), the Bray–Curtis similarity measure, based on the pyrosequencing data and the sequence data from the cultivated bacteria obtained by the pre-incubation technique, indicated that the three snow layers were more similar to each other (65–80% similarity) than to freshwater (55–60%). Within the snow, the top and middle layers were most related (80–90%; Fig. 2a, b). Only one isolate belonging to the Burkholderiales was obtained from the top layer of the snow by direct plating. Hence, it was not possible to include this layer in the Bray–Curtis similarity measure, and the similarity analysis was consequently different from the analyses based on the pyrosequencing data and the cultivated bacteria isolated from the pre-incubated filters (Fig. 2c).

Fig 2
Fig. 2  Dendrograms based on the Bray–Curtis similarity measure showing the relatedness of the microbial communities in snow and freshwater: (a) pyrosequencing; (b) cultivation/pre-incubation on filters; (c) cultivation/direct plating. Also shown is the distribution of the most frequent phylogenetic groups within each community. Note that in (a), the data represents the combined results of several replicate samples within each environment (see Supplementary Fig. 1S for data associated with individual samples).

The most abundant phyla had more unique OTUs than the rare phyla in both snow and freshwater, i.e., abundant bacterial groups had higher within-group diversity than rare groups (Fig. 3). The correlation between log [relative abundance] and log [number of unique OTUs] was high for all communities (P<0.0001; r=0.97, 0.97 and 0.92 for top, middle and bottom snow, respectively, and P<0.005; r=0.78 for freshwater). In snow, however, the most abundant phyla had more OTUs than freshwater.

Fig 3
Fig. 3  Relative abundance of phyla as a function of the number of unique operational taxonomic units (OTUs).

Phylogenetic composition of microbial communities

The phylogenetic composition of the microbial assemblages was different within the snow layers and between snow and freshwater (Fig. 2). In snow, Proteobacteria, Actinobacteria and Bacteroidetes dominated (frequencies of 31–43%, 7–8% and 12–14%, respectively) although in the top and middle and snow layers, Cyanobacteria also accounted for a substantial fraction (16–27%) of the communities (Fig. 2a). Another major difference between the bottom and middle/top snow layer was the presence of a large percentage of Firmicutes (24%) and Fusobacteria (8%) in the bottom layer. Minor frequencies of unclassified bacteria (3–6%), Acidobacteria (3–4%) and Verrucomicrobia (1–2%) were observed in all three layers. Several other phyla were observed at frequencies <1%, including the candidate division TM7 (≤0.3%), and the Archaean phyla Euryarchaeota (≤0.5%) and Crenarchaeota (≤0.1%). In contrast to snow, the freshwater community was characterized by a relatively large fraction of Planctomycetes (3%) and Actinobacteria (23%), several unclassified bacteria (16%) and a relatively infrequent population of Proteobacteria (9%; Fig. 2a). The frequency of TM7 and Archaea was <0.05%.

Similar to the phyla observed by pyrosequencing of extracted DNA, the cultivable fraction of the bacterial communities included Proteobacteria, Actinobacteria, Bacteroidetes and Firmicutes (Fig. 2b, c). Depending on cultivation method (direct vs. pre-incubation), the Proteobacteria accounted for 48–100% of the snow communities while the Actinobacteria constituted 0–50% and the phylum Bacteroidetes 0–4%. In contrast to snow, the freshwater community contained relatively few Actinobacteria (0–9% depending on the cultivation method), whereas the Bacteroidetes phylum was more abundant (9–13%). Also, Firmicutes was only seen in freshwater (0–1%; Fig. 2b, c). When pre-cultivating the bacteria on polycarbonate membranes before plating on rich medium, the membranes were floated on sample water supplemented with TSB at concentrations of 0, 0.01 or 0.1%, respectively. These amendments, however, had no effect on the composition of the isolated bacteria (data not shown).

Among the Proteobacteria, Sphingomonas was the most frequent genus in snow, accounting for 7–11% of all sequences in the top and middle snow layers and 4% in the bottom layer based on the pyrosequencing data (Supplementary Table S2). GpI Cyanobacteria were also abundant in the top and middle snow layers constituting 13% and 17% of all sequences, respectively. In the bottom layer, the frequency of GpI Cyanobacteria was about 3%. Actinobacteria, which constituted 7–8% of the snow communities (Fig. 2a) were represented by several genera (Supplementary Table S3) and, hence, only in the middle snow was the genus Illumatobacter among the 10 most abundant (≥97%) phylo-types (Supplementary Table S2), accounting for <2% of all sequences. Fusobacteria, on the other hand, which constituted 8% of the community of the bottom snow layer (Fig. 2a), was exclusively represented by the genus Fusobacterium (Supplementary Table S2). The most dominant genus—by far—in the bottom snow layer was Streptococcus, constituting 15% of all observed sequences. Streptococcus was also represented in the top snow layer, where 3% of the sequences belonged to this genus. Also, among the Firmicutes, staphylococci were abundant especially in the bottom snow layer (Supplementary Tables S2, S3). In freshwater, the genera Flavobacterium and Illumatobacter were predominant, constituting 13% and 6%, respectively, of all observed sequences in this environment (Supplementary Table S2). Within the Planctomycetes, Isophaera completely dominated, comprising >93% of all the Planctomycetes found in freshwater (Supplementary Table S3).

Among the cultivable bacteria, the dominance of individual genera differed from what was observed by pyrosequencing of extracted DNA as Gammaproteobacteria were, in particular, highly abundant (Supplementary Table S4). Gammaproteobacteria were dominant in freshwater and in the bottom and middle snow layers, accounting for up to 90% of the isolates of the Proteobacteria phylum (Supplementary Table S4). In top snow, on the other hand, alpha and beta classes each represented about 47–50% of the Proteobacteria. In freshwater and bottom snow, Actinobacteria were only observed by direct plating. Micrococcaceae and Microbacteriaceae dominated in freshwater, while Arthrobacter were dominant in bottom snow (Supplementary Table S4). In the two other snow layers, Salinibacter and Kineococcus dominated in the middle snow layer, whereas Rhodococcus was only found in top snow. Among the Bacteroidetes, which were primarily observed in freshwater (Fig. 2a), Flavobacteria constituted >90% of the isolated bacteria within this phylum.

Discussion

The structure of High Arctic snow and freshwater bacterial communities was assessed by pyrosequencing of extracted DNA and by sequencing of DNA from bacteria isolated by two different cultivation approaches. As expected, the composition of the culturable bacteria did not reflect the composition found by pyrosequencing, illustrating the well-known discrepancy between molecular and cultivation based techniques. However, dendrograms constructed on the basis of the Bray–Curtis similarity measure of the pyrosequencing data and the pre-incubation procedure both indicated that the three snow layers were more similar to each other than to the freshwater lake. This was not the case for direct cultivation approach. Thus, the pre-incubation technique seemed to better represent the community structure obtained by pyrosequencing.

Total bacterial numbers were ca. 1×103 cells ml−1 in snow and ca. 1×106 cells ml−1 in freshwater (Table 1). Since 200–500 ml of sample was collected for pyrosequencing, a conservative estimate of the number of cells in the samples is ∼2×105 cells for the snow layers and ca. 2×108 cells for freshwater. By comparison to the Chao1 species richness estimator, a rough calculation suggests that the average population density of each OTU was around 25 cells in snow and 6.2×104 cells in freshwater. Thus, the snow microbial communities appeared to consist of a highly diverse assemblage of different bacteria, each at a low population density, while the freshwater communities consisted of OTUs with large population densities but these were few in number.

The abundance of the bacterial phyla appeared to be related to their diversity as the abundant phyla had large numbers of unique OTUs rather than few highly abundant ones (Fig. 3). A similar observation has been made in the Arctic Ocean (Kirchman et al. 2010), suggesting that the ecological success of a bacterial lineage depends upon its diversity rather than superior competiveness of a few phylotypes (Kirchman et al. 2010).

Because our study included samples from just one lake and one snow site, our findings cannot be considered representative of High-Arctic snow and freshwater lakes in general. However, the composition of the bacterial assemblages resembled the bacterial composition found elsewhere. For instance, we observed that the most abundant phyla in snow included Proteobacteria (Alpha, Beta, Gamma and Epsilon), Actinobacteria, Bacteroidetes, Cyanobacteria, Firmicutes and Fusobacteria. Larose et al. (2010) established clone libraries of DNA extracted from snow and a meltwater river in Svalbard and found Proteobacteria (Alpha, Beta and Gamma), Bacteroidetes (Sphingomonas and Flavobacteria), Cyanobacteria and eukaryotic chloroplasts to be dominant. In Antarctic snow, clones belonging to Deinococcus, beta-Proteobacteria and Bacteroidetes have been identified (Carpenter et al. 2000). Amato et al. (2007) cultivated bacteria directly from snow in Svalbard and isolates belonging to alpha-, beta- and gamma-Proteobacteria, Actinobacteria and Firmicutes were found. Our data and the literature indicate that Proteobacteria (alpha, beta and gamma), Actinobacteria and Bacteriodetes (especially Flavobacteria and Sphingobacteria) are commonly found in polar snow.

Streptococci were highly frequent in the deepest snow layer. Streptococcus is recognized as a potential pathogen and most commonly associated with a host organism or environments influenced by faecal contamination (Lopez-Benavides et al. 2007). Another unexpected genus in the deepest snow layer was Fusobacterium, which is also considered an animal and human pathogen. Within the phylum Fusobacteria, a marine psychrotrophic Psychrilyobacter atlanticus has recently been isolated from the Arctic Ocean (Zhao et al. 2009) and clones that were 99–100% identical to Ilyobacter psychrophilus have been identified in Arctic sediment (Tian et al. 2009). This suggests the occurrence of environmental Fusobacteria. However, wildlife droppings could also account for the presence of these bacteria in this context. Further sampling will be required to determine if Streptococcus and Fusobacteria are widespread members of the snow microbial communities.

In freshwater, Actinobacteria, Bacteroidetes and Verrucomicrobia were particularly abundant but Proteobacteria, Acidobacteria and Planctomycetes also occurred at frequencies between 3 and 9%. Previous investigations of microbial communities in Arctic and Antarctic freshwater lakes have revealed Proteobacteria, Bacteroidetes, and Actinobacteria to be the major phyla (Pearce et al. 2003; Crump et al. 2007). Cyanobacteria are often common in freshwater (Zwart et al. 2002) and have been identified in an Antarctic freshwater lake (Ellis-Evans 1996). In the freshwater lake at Station Nord, Cyanobacteria were only detected at a very low frequency. However, since the lake had been covered with ice and snow for at least 22 months prior to sampling, the resulting low light intensity probably was not suitable for growth of these microorganisms.

A number of physico-chemical parameters within a snowpack, and between snow and freshwater, may confront microbial communities with different environmental challenges. In snow, for instance, the light intensity decreases with depth (Rowland & Grannas 2011), and the temperature becomes less variable and extreme (Liston & Winther 2005). Also, the deeper layers in snow on sea ice may be affected by seawater penetrating through cracks in the ice. Contrary to the variable conditions in snow, the freshwater lake can be characterized by a relative constant temperature regime around 0°C, and most likely by limited light intensity due to the snow and ice coverage.

Bacteria may be transported over long distances with dust particles (Kellogg & Griffin 2006), and have been demonstrated to be metabolically active in icy super-cooled cloud droplets (Sattler et al. 2001). Atmospheric and aeolian deposition may, therefore, be significant as sources of bacteria to the snow. The highly diverse bacterial assemblages in snow, with each group having a low population density, support this notion. The fact that the freshwater assemblage showed the opposite trend further supports this idea.

Cyanobacteria and chloroplasts were almost exclusively found in the top and middle layers with the highest density in the middle layer. This shift in Cyanobacteria density with depth from high, to very high, to low, suggests that light intensity controlled the distribution of the Cyanobacteria and the algae in the snow pack with optimal light intensity in the middle layer. We primarily found GpI Cyanobacteria that are known to include species capable of fixing nitrogen. A likely scenario for explaining the heterotrophic community structure in the different snow layers is that some of the nitrogen fixed by the Cyanobacteria stimulated the primary production of the algae, while the carbon and nitrogen produced by the autotrophs were feeding the heterotrophic bacteria. Our DOC data (Table 1) confirmed this hypothesis since the DOC concentration was about three times higher in the top and middle snow layers as compared to the bottom layer. Other sources of carbon to the bacterial communities, especially in the top layers, could be aerosols from the atmosphere (Bauer et al. 2002). The deepest snow layer did not seem heavily affected by the autotrophs, as their densities and the DOC concentration were relatively low. However, as indicated above, it is likely that seawater microbes may have influenced the structure of the community. Typical Arctic seawater bacteria include alpha-Proteobacteria; the SAR11 clade is especially abundant (Malmstrom et al. 2007; Kirchman et al. 2010; Bowman et al. 2012). Indeed, in the bottom snow layer, >2% of all sequences were classified as Pelagibacter (Supplementary Table S2), a genus within the SAR11 family. Sequences classified within the SAR11 clade were only sporadically found in the upper snow layers.

The source(s) of bacteria to the lake may have been snow meltwater and soil. Since several phyla were common for the snow and freshwater, this suggests that meltwater was an important source. In contrast to the snow environment, the temperature regime in the lake was relatively stable around 0°C, and as the lake was covered by ice and snow, the light input was probably lower than in snow. Furthermore, since numbers of Cyanobacteria were low and chloroplasts were virtually absent, the input of organic carbon and nitrogen to the heterotrophic bacteria must have been limited. The environmental conditions in the lake, therefore, can be considered more constant and less extreme than in snow and are probably the reason for the relatively low observed bacterial diversity.

In conclusion, our investigations suggested that the diversity was higher in snow as compared to freshwater, which may reflect that the climatic conditions of the freshwater ecosystem were less extreme and that the lake received less light. Regardless, a strong overlap between the genera found in snow and freshwater indicated that snow meltwater may have been a significant source of microorganisms to the freshwater lake. The phylogenetic composition in the three snow layers was significantly different, yet the two upper snow layers were more similar to each other than to the deepest snow layer. For instance, the two top layers were inhabited by large numbers of Cyanobacteria and chloroplasts, which were probably feeding the heterotrophic members of the microbial communities. This suggests that the microbial communities within snow are metabolically active and that, from a microbial perspective, snow is a heterogeneous and structured habitat.

Acknowledgements

This work has been funded by the Danish Agency for Science, Technology and Innovation (grant no. 645-06-0233).

References

Amato P., Hennebelle R., Magand O., Sancelme M., Delort A.-M., Barbante C., Boutron C. & Ferrari C. 2007. Bacterial characterization of the snow cover at Spitzberg, Svalbard. FEMS Microbiology Ecology 59, 255–264. Publisher Full Text

Bauer H., Kasper-Giebl A., Loflund M., Giebl H., Hitzenberger R., Zibuschka F. & Puxbaum H. 2002. The contribution of bacterial and fungal spores to the organic carbon content of cloud water, precipitation and aerosols. Atmospheric Research 64, 109–119. Publisher Full Text

Bowman J.S., Rasmussen S., Blom N., Deming J.W., Rysgaard S. & Sicheritz-Ponten T. 2012. Microbial community structure of Arctic multiyear sea ice and surface seawater by 454 sequencing of the 16S RNA gene. ISME Journal 6, 11–20. Publisher Full Text

Caporaso J.G., Kuczynski J., Stombaugh J., Bittinger K., Bushman F.D., Costello E.K., Fierer N., Pena A.G., Goodrich J.K., Gordon J.I., Huttley G.A., Kelley S.T., Knights D., Koenig J.E., Ley R.E., Lozupone C.A., McDonald D., Muegge B.D., Pirrung M., Reeder J., Sevinsky J.R., Turnbaugh P.J., Walters W.A., Widmann J., Yatsunenko T., Zaneveld J. & Knight R. 2010. QIIME allows analysis of high-throughput community sequencing data. Nature Methods 7, 335–336. Publisher Full Text

Carpenter E.J., Lin S.J. & Capone D.G. 2000. Bacterial activity in South Pole snow. Applied and Environmental Microbiology 66, 4514–4517. Publisher Full Text

Cloutier J., Prevost D., Nadeau P. & Antoun H. 1992. Heat and cold shock protein-synthesis in Arctic and temperate strains of Rhizobia. Applied and Environmental Microbiology 58, 2846–2853.

Cole J.R., Wang Q., Cardenas E., Fish J., Chai B., Farris R.J., Kulam-Syed-Mohideen A.S., McGarrell D.M., Marsh T., Garrity G.M. & Tiedje J.M. 2009. The Ribosomal Database Project: improved alignments and new tools for rRNA analysis. Nucleic Acids Research 37, D141–D145. Publisher Full Text

Crump B.C., Adams H.E., Hobbie J.E. & Kling G.W. 2007. Biogeography of bacterioplankton in lakes and streams of an Arctic tundra catchment. Ecology 88, 1365–1378. Publisher Full Text

Ellis-Evans J.C. 1996. Microbial diversity and function in Antarctic freshwater ecosystems. Biodiversity and Conservation 5, 1395–1431. Publisher Full Text

Fricker M., Messelhausser U., Busch U., Scherer S. & Ehling-Schulz M. 2007. Diagnostic real-time PCR assays for the detection of emetic Bacillus cereus strains in foods and recent food-borne outbreaks. Applied and Environmental Microbiology 73, 1892–1898. Publisher Full Text

Gilbert J.A., Davies P.L. & Laybourn-Parry J. 2005. A hyperactive, Ca2+-dependent antifreeze protein in an Antarctic bacterium. FEMS Microbiology Letters 245, 67–72. Publisher Full Text

Groudieva T., Kambourova M., Yusuf H., Royter M., Grote R., Trinks H. & Antranikian G. 2004. Diversity and cold-active hydrolytic enzymes of culturable bacteria associated with Arctic sea ice, Spitsbergen. Extremophiles 8, 475–488. Publisher Full Text

Hodson A., Anesio A.M., Tranter M., Fountain A., Osborn M., Priscu J., Laybourn-Parry J. & Sattler B. 2008. Glacial ecosystems. Ecological Monographs 78, 41–67. Publisher Full Text

Jones H.G. 1999. The ecology of snow-covered systems: a brief overview of nutrient cycling and life in the cold. Hydrological Processes 13, 2135–2147.

Junge K., Eicken H. & Deming J.W. 2004. Bacterial activity at −2 to −20°C in Arctic wintertime sea ice. Applied and Environmental Microbiology 70, 550–557. Publisher Full Text

Kellogg C.A. & Griffin D.W. 2006. Aerobiology and the global transport of desert dust. Trends in Ecology and Evolution 21, 638–644. Publisher Full Text

Kirchman D.L., Cottrell M.T. & Lovejoy C. 2010. The structure of bacterial communities in the western Arctic Ocean as revealed by pyrosequencing of 16S rRNA genes. Environmental Microbiology 12, 1132–1143. Publisher Full Text

Kroer N. 1993. Bacterial growth efficiency on natural dissolved organic matter. Limnology and Oceanography 38, 1282–1290. Publisher Full Text

Kumar G.S., Jagannadham M.V. & Ray M.K. 2002. Low-temperature-induced changes in composition and fluidity of lipopolysaccharides in the Antarctic psychrotrophic bacterium Pseudomonas syringae. Journal of Bacteriology 184, 6746–6749. Publisher Full Text

Larose C., Berger S., Ferrari C., Navarro E., Dommergue A., Schneider D. & Vogel T.M. 2010. Microbial sequences retrieved from environmental samples from seasonal Arctic snow and meltwater from Svalbard, Norway. Extremophiles 14, 205–212. Publisher Full Text

Liston G.E. & Winther J.-G. 2005. Antarctic surface and subsurface snow and ice melt fluxes. Journal of Climate 18, 1469–1481. Publisher Full Text

Lopez-Benavides M.G., Williamson J.H., Pullinger G.D., Lacy-Hulbert S.J., Cursons R.T. & Leigh J.A. 2007. Field observations on the variation of Streptococcus uberis populations in a pasture-based dairy farm. Journal Dairy Science 90, 5558–5566. Publisher Full Text

Malmstrom R.R., Straza T.R.A., Cottrell M.T. & Kirchman D.L. 2007. Diversity, abundance, and biomass production of bacterial groups in the western Arctic Ocean. Aquatic Microbial Ecology 47, 45–55. Publisher Full Text

Møller A.K., Barkay T., Al-Soud W.A., Sørensen S.J., Skov H. & Kroer N. 2011. Diversity and characterization of mercury-resistant bacteria in snow, freshwater and sea-ice brine from the High Arctic. FEMS Microbiology Ecology 75, 390–401. Publisher Full Text

Panikov N. & Sizova M.V. 2006. Growth kinetics of microorganisms isolated from Alaskan soil and permafrost in solid media frozen down to −35°C. FEMS Microbiology Ecolology 59, 500–512. Publisher Full Text

Pearce D.A., van der Gast C.J., Lawley B. & Ellis-Evans J.C. 2003. Bacterioplanktion community diversity in a maritime Antarctic lake, determined by culture-dependent and culture-independent techniques. FEMS Microbiology Ecology 45, 59–70. Publisher Full Text

Priscu J.C. & Christner B.C. 2004. Earth’s icy biosphere. In A.T. Bull. (ed.): Microbial diversity and bioprospecting. Pp. 130–145. Washington, DC: American Society for Microbiology.

Rasmussen L.D., Zawadsky C., Binnerup S.J., Oregaard G., Sorensen S.J. & Kroer N. 2008. Cultivation of hard-to-culture subsurface mercury-resistant bacteria and discovery of new merA gene sequences. Applied and Environmental Microbiology 74, 3795–3803. Publisher Full Text

Rowland G.A. & Grannas A.M. 2011. A solid-phase chemical actinometer film for measurement of solar UV penetration into snowpack. Cold Regions Science and Technology 66, 75–83. Publisher Full Text

Sattler B., Puxbaum H. & Psenner R. 2001. Bacterial growth in supercooled cloud droplets. Geophysical Research Letters 28, 239–242. Publisher Full Text

Simon C., Wiezer A., Strittmatter A.W. & Daniel R. 2009. Phylogenetic diversity and metabolic potential revealed in a glacier ice metagenome. Applied and Environmental Microbiology 75, 7519–7526. Publisher Full Text

Thomas W.H. & Duval B. 1995. Sierra Nevada, California, U.S.A., snow algae: snow albedo changes, algal–bacterial interrelationships, and ultraviolet radiation effects. Arctic and Alpine Research 27, 389–399. Publisher Full Text

Tian F., Yu Y., Chen B., Li H., Yao Y.-F. & Guo X.-K. 2009. Bacterial, archaeal and eukaryotic diversity in Arctic sediment as revealed by 16S rRNA and 18S rRNA gene clone libraries analysis. Polar Biology 32, 93–103. Publisher Full Text

Yergeau E., Hogues H., Whyte L.G. & Greer C.W. 2010. The functional potential of High Arctic permafrost revealed by metagenomic sequencing, qPCR and microarray analyses. ISME Journal 4, 1206–1214. Publisher Full Text

Yu Y., Lee C., Kim J. & Hwang S. 2005. Group-specific primer and probe sets to detect methanogenic communities using quantitative real-time polymerase chain reaction. Biotechnology and Bioengineering 89, 670–679. Publisher Full Text

Zhao J.S., Manno D. & Hawari J. 2009. Psychrilyobacter atlanticus gen. nov., sp nov., a marine member of the phylum Fusobacteria that produces H(2) and degrades nitramine explosives under low temperature conditions. International Journal of Systematic and Evolutionary Microbiology 59, 491–497. Publisher Full Text

Zwart G., Crump B.C., Agterveld M.P.K.V., Hagen F. & Han S.K. 2002. Typical freshwater bacteria: an analysis of available 16S rRNA gene sequences from plankton of lakes and rivers. Aquatic Microbial Ecology 28, 141–155. Publisher Full Text