RESEARCH/REVIEW ARTICLE

Heavy metal contamination and hepatic toxicological responses in brown trout (Salmo trutta) from the Kerguelen Islands

Ali Jaffal,1 Stéphane Betoulle,1 Sylvie Biagianti-Risbourg,1 Alexandre Terreau,3 Wilfried Sanchez2 & Séverine Paris-Palacios1

1 Université de Reims Champagne-Ardenne, UMR-I 02 Stress Environnementaux et Biosurveillance des Milieux Aquatiques, Campus Moulin de la Housse, BP 1039, FR-51687 Reims Cedex 2, France
2 Institut National de l’Environnement Industriel et des Risques, UMR-I 02 Stress Environnementaux et Biosurveillance des Milieux Aquatiques, BP2, FR-60550, Verneuil-en-Halatte, France
3 French Polar Institue Paul-Emile Victor, Technopôle Brest-Iroise, FR-29280 Plouzané, France

Abstract

The Kerguelen Islands include various species of freshwater fish such as brown trout (Salmo trutta). These trout are among the most isolated from direct anthropogenic impact worldwide. This study was designed to analyse cadmium (Cd) and copper (Cu) concentrations in the liver of Kerguelen brown trout, and to assess the possible impacts of these metals on hepatic histopathology and oxidative stress parameters (superoxide dismutase and catalase activity and glutathione levels). Trout were caught in the Château River, the Studer Lakes and the Ferme Pond, close to the scientific station of the Kerguelen Islands, corresponding to three morphotypes (river, lake and station). Kerguelen trouts’ hepatic concentrations of Cd and Cur were similar to those reported in previous studies in salmonids populations from areas under anthropological impacts. Clear hepatic disturbances (fibrosis, nuclear alteration, increased immune response, melanomacrophage centres [MMCs]) were observed in all tested trout. A similar histo-pathological trend was observed among the trout from the three morphotypes but anti-oxidative responses were higher in the trout from the “station” morphotype. Hepatic alterations and the presence of MMCs in the livers of Kerguelen brown trout may be related to the high levels of Cd and Cu measured in this fish at all sampling sites.

Keywords
Brown trout; freshwater; fish; sub-Antarctic; liver; biomarkers

Citation: Polar Research 2015, 34, 22784, http://dx.doi.org/10.3402/polar.v34.22784

Copyright: © 2015 A. Jaffal et al. This is an Open Access article distributed under the terms of the Creative Commons Attribution-NonCommercial 4.0 International License, permitting all non-commercial use, distribution, and reproduction in any medium, provided the original work is properly cited.

Published: 22 September 2015

Correspondence to: Ali Jaffal, Université de Reims Champagne-Ardenne, UMR-I 02 Stress Environnementaux et Biosurveillance des Milieux Aquatiques, Campus Moulin de la Housse, BP 1039, FR-51687 Reims Cedex 2, France. E-mail: ali_j_jaffal@hotmail.com

 

Pollution of aquatic ecosystems by different chemical pollutants of natural and anthropogenic origins such as persistent organic pollutants or heavy metals, such as cadmium (Cd), copper (Cu) and zinc (Zn), has an impact on individuals and populations that live in those ecosystems. At sub-lethal concentrations, these pollutants cause a general stress syndrome associated with several physiological disturbances in fish (Sanchez et al. 2005; Paris-Palacios & Biagianti-Risbourg 2006). Fish concentrate and integrate all chemical pollutants from their living environment, either by direct uptake from water or suspended materials, or by biotransfer from trophic input (Van der Oost et al. 2003). The interactions between these chemicals and biological systems give rise to biochemical disturbances (Gül et al. 2004). Fish health status is therefore usually used in ecotoxicological studies as an integrative indicator to describe the adverse effects of the mixtures of chemicals that exist in aquatic ecosystems (Van der Oost et al. 2003; Fernández et al. 2006). For example, some biochemical parameters in fish liver tissue, such as antioxidant enzyme activation, are considered to be sensitive biomarkers that can indicate the presence of toxicants before hazardous effects occur in aquatic organisms (Gül et al. 2004; Cazenave et al. 2014). Biomarkers are defined as observable and/or measurable modifications at the molecular, biochemical, cellular, physiological or behavioural levels that reveal the present or past exposure of an organism to at least one xenobiotic (Lagadic et al. 1997). At a low organization level, biomarkers are used for the early detection of pollutant effects on aquatic organisms. Among the various biomarkers, hepatic ones (liver histopathology, oxidative stress, etc.) have been used to evidence physiological stress induced by different contaminants (Schwaiger et al. 1997; Paris-Palacios et al. 2000; Schwaiger 2001). Indeed, the liver is a key organ involved at different levels of fish normal physiological functions, and it plays a crucial role in bioaccumulation and detoxification processes (Biagianti-Risbourg 1990; Carrola et al. 2009). It can be structurally and functionally disturbed in response to chemical stressors (Schmidt et al. 1999). However, fish hepatic physiology is also affected by several natural or human-induced environmental changes, such as temperature, salinity and so on. The interaction of multiple stress sources is associated with acclimation or the appearance of degenerative syndromes (Bernet et al. 2004). Additionally, the anthropogenic degradation of ecosystems most frequently results in the modifications of physical (habitat degradation) and chemical (e.g., pH, O2, pollutants) parameters. The real impact of chemicals on fish in field studies is therefore difficult to estimate (Bernet et al. 2004). For this reason, the use of a multiparametric approach based on a set of complementary biomarkers is commonly applied in environmental biomonitoring programmes (Mayon et al. 2006; Sanchez et al. 2007).

The Kerguelen Islands (49°S, 70°E) are situated in the northern part of the Southern Ocean. The human population on this island averages around 60–100 non-permanent scientists who live exclusively in the French scientific station of Port-aux-Français. From 1955 to 1992, salmonid species, mainly brown trout (Salmo trutta) and brook trout (Salvelinus fontinalis), were introduced into the Kerguelen freshwater systems, and now constitute well-acclimated populations (Davaine et al. 1997). These two species are now probably among the most isolated freshwater fish species worldwide, and less subject to direct human influence. But despite geographical isolation, previous studies showed high Cd and Cu concentrations in liver and muscle tissues of river brook trout (Jaffal, Paris-Palacios et al. 2011). Additionally, other studies have shown that some marine organisms, octopuses and fish, living around the Kerguelen’s Islands are also contaminated with Cd (Bustamante et al. 1998; Bustamante et al. 2003).

This study investigated the consequences of Cd and Cu bioaccumulation on some selected hepatic biomarkers in Kerguelen brown trout. In addition to histological studies, heavy metal contents and enzymatic and non-enzymatic oxidative stress responses—superoxide dismutase (SOD) activity, catalase (CAT) activity and glutathione (GSH) levels—were analysed in brown trout (Salmo trutta). These biomarkers were selected because they are part of the most relevant markers of stress in fish experimentally exposed to chemicals (e.g., pesticides and heavy metals; Paris-Palacios et al. 1998, 2000; Sanchez et al. 2007).

Earlier analyses of the salmonid’s otolith shape had demonstrated that lakes, rivers and ponds close to the scientific station of Kerguelen contain salmonid populations belonging to three distinct morphotypes (Morat et al. 2008). The three morphotypes are associated with geographic isolation and behavioural variability in closed or running freshwater and to subsequent genetic evolution from the same “French” genetic pool (Bruslé & Quignard 2001; Morat et al. 2008). Three different brown trout morphotypes (“river,” “lake” and “station”) were taken into account in this study.

Materials and methods

Study area

The Kerguelen Islands are an archipelago of approximately 7000 km2, located in the Southern Ocean (49°S, 70°E). These sub-Antarctic islands are more than 3300 km from the nearest inhabited country (Fig. 1a). The cold sub-Antarctic climate is characterized by a mean annual temperature of +4.5°C. The freshwater hydrographic system consists of rivers, ponds and lakes (Fig. 1b) containing simple trophic webs with only a few species of micro- and macro-invertebrates and no endemic ichthyofauna. Human activities are exclusively localized around the scientific station.

Fig 1
Fig. 1  The sub-Antarctic Kerguelen Islands and the locations of the study sites.

Sites and sampling procedure

Brown trout (Salmo trutta, n=112) were caught by angling in three different sites localized in Courbet Peninsula: the Château River, the Studer Lakes (considered as one site) and, close to the scientific station Port-aux-Français, Ferme Pond, (Fig. 1c). Each site was characterized by one trout morphotype (river, lake or station morphotype, respectively) according to Morat et al. (2008). During the year 2006, monthly sampling campaigns were achieved to collect fish from each site.

The fish were immediately killed after angling by the dislocation of their neural axis, and the morphological parameters of each of them were determined in the field. The liver tissues were dissected and samples were immersed in a fixative medium for histology, whereas other portions of the liver were immediately stored at −20°C for chemical and biochemical analyses, considering the logistic transit condition from Kerguelen Islands to France. During the dissection procedure, fish sex was determined by the morphological observation of the gonads.

The physico-chemical characteristics of water in different sites were recorded monthly, between January and December 2006, according to the Standard Methods of the American Public Health Association (Table 1).


Table 1 Water physico-chemical characteristics of sampling sites. Values are expressed as mean and extreme values (minimum–maximum). Some values were not determined (nd) or are not available (NA).
Site/morphotype Château River Studer Lake Ferme Pond
Temperature (°C) 4.1 (−0.1–11.9) 5.2 (0.3–8.6) 5.7 (−0.1–19.4)
pH 7.5 (7–8.7) 7.4 (5.6–8.1) 7.6 (5–9)
Dissolved oxygen (mg/l) 12.3 (10.9–14.2) 11.6 (9.2–12.6) 11.9 (8.6–18.4)
Conductivity (µS/cm) 70 (62–97) 71.9 (46–83) 146.4 (96–182)
Cl (mg/l) 11.6 (9.6–16.2) 10.8 (9.7–11.8) 21.9 (7.4–26.4)
(mg/l) 0.9 (0–4) 0.9 (0–2) 1.5 (0–5)
(mg/l) 0.021 (0.01–0.06) 0.016 (0–0.03) 0.012 (0–0.09)
(mg/l) 0.004 (0.003–0.007) 0.004 (0.001–0.006) 0.004 (0.0005–0.009)
(mg/l) 0.87 (0.75–1.06) 0.94 (0.74–1.3) 0.72 (0.39–1.44)
NH3–N (mg/l) 0.031 (0–0.13) 0.026 (0–0.06) 0.153 (0–0.36)
K+ (mg/l) 0.27 (0.2–0.4) 0.26 (0.2–0.4) 0.58 (0.2–0.95)
Total iron (mg/l) 0.1 (0.03–0.47) 0.16 (0.02–0.58) 0.34 (0.03–0.81)
Chemical oxygen demand (mg/l) 37 (0–120) 39.4 (3–103) 42.2 (1–147)
Phenolic compounds (mg/l) 0.022 (0.007–0.072) 0.011 (0.001–0.034) 0.055 (0–0.185)
Cadmium (µg/l) 0.03 (nd–0.09) 0.05 (nd–0.34) NAa
Copper (µg/l) 1.11 (nd–2.65) 1.19 (nd–6.84) NAa
aWater sampled in Ferme Pond in 2005 presented metal concentration < 2 µg/L for copper and < 0.1 µg/L for cadmium, but such results were not recorded on a monthly basis (unpublished results).

Histo-pathological analysis

Small pieces of the liver fixed in Bouin’s fluid for 24 h were dehydrated in successive ethanol baths of increasing concentrations (from 70° to 100°). After 24 h in ethanol 100°, tissues were stored in butanol and sent to our laboratory in France for the rest of the histological treatment. Dehydrated tissues were then embedded in paraffin wax. Liver sections (5 µm) were stained with nuclear fast red and picro-indigo-carmin and mounted on glass slides for photon microscopy. Microphotographs were taken with a digital camera (Imaging Source, Bremen, Germany) coupled to a Laborlux photon microscope (Leitz, Wetzlar, Germany) connected to a computer using Archimed software version 5.6.0.

Sample sections from 40 trout (n=12, n=14 and n=14 from river, lake and station morphotypes, respectively) were examined for the quantitative assessment of melanomacrophage centres (MMCs) and semi-quantitative assessment of liver pathologies.

Six liver sections separated by more than 100 µm were selected for the quantitative assessment of each individual’s MMCs. The total surface of the selected sections was calculated (4–10 mm2 by individual) using computerized image analysis (Archimed software version 5.6.0). The surfaces and the numbers of MMCs were calculated within the total observed areas and expressed in µm2 of MMCs/mm2 or in number of MMCs/mm2. Additionally, 18 separate zones of hepatic parenchyma (separated by more than 50 µm from each other) were observed in each individual slide in order to assess the extent of nuclear alteration (total observed surface=300000 µm2 of hepatic parenchyma).

Each histological abnormality was scored between 0 and 5 to estimate nuclear alterations, immune cell infiltration into parenchyma, fibrosis and vacuolization in liver sections. “Zero” corresponded to a normal structure and “5” to severe alterations. For example, severe fibrosis alterations (score of 5), nuclear alterations, vacuolization and immune cell infiltration are illustrated in Fig. 4a, d, e & f, respectively. A global score, taking into account all the different observed alterations, was calculated for each individual:

Quantification of Cd and Cu

Heavy metal quantification was performed on a total of 88 trout liver samples (10, 24 and 54 from river, lake and station morphotypes, respectively) dried at 70°C for 15 days, weighed (dry weight) and then digested in nitric acid (65%, Normatom) at 70°C. The resulting clear solutions were diluted with high-quality deionized (Milli-Q) water.

Hepatic heavy metal concentrations were determined using a Zeeman 220 graphite furnace atomic absorption spectrophotometer (Varian, Palo Alto, CA, USA) for Cd quantification and an AA 240 FS fast sequential atomic absorption spectrometer (Varian) for Cu. Metal concentrations were calculated using calibration curves and the results were expressed in µg/g dry weight (d.w.). Standard stock solutions (DOLT-3) corresponding to certified standard liver material from the dogfish Squalus acanthias were obtained from the National Research Council of Canada. Instrumental quantification limits were 0.023 µg/l and 6 µg/l for Cd and Cu, respectively.

Water metallic analyses were performed using the Zeeman 220 graphite furnace atomic absorption spectrometry (Varian) with an instrumental quantification limit of 0.023 µg/l for Cd and 0.3 µg/l for Cu.

Biochemical analyses

The liver samples from 58 trout (n=17, 20, 21 for river, lake and station morphotypes, respectively) were homogenized in 200 µl of ice-cold phosphate buffer (100 mM, pH 7.8) supplemented with 20% (v/v) glycerol and 0.2 mM phenylmethylsulfonyl fluoride as a protease inhibitor. The homogenate was centrifuged at 10000×g at 4°C, for 15 min and the supernatant was collected for biochemical assays. Total proteins were determined using the Bradford method (Bradford 1976) with bovine serum albumin (Sigma) as a standard. SOD and CAT activity were assessed according to the methods of Paoletti et al. (1986) and Babo & Vasseur (1992), respectively, and used by Sanchez et al. (2005). Assays were calibrated using purified bovine enzymes (Sigma) as standards. Total GSH concentrations were measured in liver samples by the spectrophotometric method of Vandeputte et al. (1994). All biochemical assays were optimized for brown trout and adapted to micro-titre plates. Time-course measurements were performed using a PowerWave HT microplate reader (Bio-Tek Instruments, Winooski, VT, USA).

Statistical analyses

Statistical analyses were performed with XLSTAT package of Microsoft Excel (Addinsoft SARL 2010). Values were expressed as mean±standard deviations. Gaussian distribution and homogeneity of variance were not demonstrated among all the studied groups. Therefore, the non-parametric Kruskal–Wallis test was used to compare data from different morphotypes. For all data, differences among mean were detected by multiple comparisons using the Conover–Inman test. The Mann–Whitney U test was used to compare the mean of females and males. Associations among hepatic metal concentrations and biomarkers were evaluated by Pearson correlation analyses. All tests were considered statistically significant at p<0.05.

The scientific protocol was assessed regarding animal welfare and approved by the Ethics Committee of the Midi-Pyrénées Region, France.

Results

Physico-chemical characteristics of the sampling sites

The physico-chemical characteristics of the sampling sites’ water corresponded to good quality water favourable to salmonid life (EU 2006), because of a low level of trophy and a good rate of oxygenation. Moreover, the low levels of Cd and Cu detected in waters were often below the instrumental quantification limit (Table 1). Additionally, it can be noted that the three sites had comparable physico-chemical characteristics, except for the chlorine ions enrichment at Ferme Pond site associated with high levels of conductivity due to marine influence (Gay 1981).

Liver metal concentrations

Kerguelen brown trout had a mean hepatic Cu concentration of 577±403 µg/g d.w. and a Cd concentration of 1.4±2.6 µg/g d.w. Hepatic Cu levels were significantly different (p<0.0001) between morphotypes (204±127, 821±301 and 543±413 µg/g d.w. for river, lake and station morphotype, respectively; Fig. 2a). Cu levels were the lowest in river trout and the highest in lake trout (Fig. 2a). High inter-individual variations in hepatic Cd contents were observed and were related to the small number (5.6%) of “hyper-accumulator” individuals. We considered fish presenting a Cd accumulation three times higher than the standard deviation to be “hyper-accumulator” organisms. No significant difference in Cd levels was observed between morphotypes (0.97±0.54, 0.88±0.96 and 1.72±3.32 µg/g d.w. for river, lake and station morphotype, respectively; Fig. 2b). It can be noticed that “hyper-accumulator” trout frequencies were higher at the station morphotype (7.4%), with no significant difference in the global Cd concentration.

Fig 2
Fig. 2  (a) Copper and (b) cadmium concentrations in livers of brown trout from the Kerguelen Islands from three Kerguelen morphotypes: river (n=10), lake (n=24) and station (n=54). Bars represent mean±SD of metal concentrations measured in the whole sample, in the livers of females and males in each morphotype. The different letters indicate significant differences in hepatic metal mean measured in the whole sample between the three morphotypes (Kruskal–Wallis test). Asterisks indicate significant differences in mean between females and males in each morphotype (Mann–Whitney U test).

No significant influence of sex was observed for the hepatic Cd or Cu levels of Kerguelen brown trout as a whole. However, when taking morphotypes into account, a slight difference appeared between males and females for Cd, but only for the livers of lake trout, with males having somewhat lower hepatic Cd levels than females (p=0.053; Fig. 2b). For Cu, the only inter-sex difference was observed in the livers of station trout: males displayed significantly higher Cu contents than females (p=0.022; Fig. 2a).

Liver histological structures

Kerguelen trout displayed variations in hepatic histological patterns. Whereas some trout had few structural alterations and mainly normal liver histology (Fig. 3a, b), others showed clear hepatic disturbances (22 out of a total of 40 individuals). These individuals showed an increase in the number and size of MMCs, which corresponded to zones of macrophagic cell agglomeration (Fig. 3c–f, 4b), a high frequency of immune cell infiltrations into the hepatic parenchyma (Fig. 3e, 4d, f), and obvious peri-vascular and peri-ductular fibrosis (Fig. 4a, b). Additionally, hepatocytic alterations related to necrotic processes were notable (nuclear pyknosis, important amounts of residual bodies) (Fig. 3e, 4c, d, f). An increase in lipidic vacuolization in quantity and in size was observed (Fig. 3c, 4e,). These alterations observed in some fish livers cannot, however, be considered as lipoid degeneration.

Fig 3
Fig. 3  Photomicrographs of liver sections from brown trout from the Kerguelen Islands illustrating (a, b) normal parenchyma. (c–f) Important numbers of melanomacrophage centres (MMC). The following terms are abbreviated: parenchyma (PAR), vein (V), biliary duct (bd); MMC; fibrosis (F), necrotic hepatocyte (nh); altered nucleus (an); erythrocyte (e), lipidic droplet (ld). The dotted line represents the MMC boundary. The scale bars are 40 µm in length.

Fig 4
Fig. 4  Photomicrographs of liver sections from brown trout from the Kerguelen Islands showing different alterations: (a) fibrosis, (b) fibrosis with melanomacrophage centres (MMC), (c, d) altered nucleus, (e) parenchyma with lipidic droplet and (f) parenchyma with immune cell infiltrations. The following terms are abbreviated: fibrosis (F), necrotic biliary duct (nbd), vein (V), MMC, altered nucleus (an), biliary duct (bd), lipidic droplet (ld), necrotic hepatocyte (nh), immune cell agglomerate (ica). The scale bars are 40 µm in length.

In order to improve the characterization of hepatic alterations, total MMC surfaces and numbers were assessed (Table 2). No correlation was found between the frequency or the surface of MMCs and age, condition factor or morphotype individuals. However, a significant correlation was observed between the two sexes. Males displayed a higher frequency (p=0.003) and size (p=0.002) of hepatic MMCs than females (Table 2).


Table 2 Histological alterations observed in male and female Kerguelen brown trout from “river,” “lake” and “station” morphotypes. Values are expressed as mean (minimum–maximum). The different letters indicate significant differences for each alteration (Kruskal–Wallis test, p<0.05), with the number of observations in parentheses.
  River Lake Station
  Females (24) Males (48) Females (36) Males (48) Females (42) Males (42)
Melanomacrophage centre areas (µm2/mm2) 246 (54–531)a,b 1003 (314–2753)c 349 (25–746)a,b.c 854 (0–2395)a,b,c 184 (47–395)a 1043 (14–2693)b,c
Numbers of melanomacrophage centres (/mm2) 1.6 (0.6–3.5)a,b 3.5 (2.2–4.9)b 1.9 (0.4–3)a,b 4.8 (0–11)a,b 1.3 (0.2–3.4)a 6.5 (0.1–15.5)b
Nuclear alteration scores 4.2 (3.6–5)b 3.2 (1.5–5)a,b 3 (2.1–3.8)a,b 2.8 (1–4.3)a 3.5 (2.5–5)a,b 3.8 (2.1–5)a,b
Vacuolization scores 1.7 (0–4.3)a,b 0.5 (0–3.1)a 2.7 (0.3–5)b 2.7 (1–5)b 1.5 (0–4.5)a,b 1.4 (0–4.6)a,b
Fibrosis scores 2.2 (1.3–3)a,b,c 2.8 (1.7–4)c 2.7 (1.1–4.6)b,c 2.7 (1–3.3)c 1.8 (1.1–2.8)a,b 1.6 (1–2.1)a
Immune cell infiltration scores 1.8 (0.1–2.6)a 2.6 (1.5–3.8)a 2.3 (1–3.1)a 1.7 (0–3.3)a 1.6 (0.1–3)a 2.2 (1–3.8)a
Global scores 2.2 (1.2–3.2)a 2.3 (1.7–3.1)a 2.4 (1.5–3.3)a 2.3 (1.5–3.2)a 1.9 (1–2.7)a 2.3 (1.4–3.5)a

Scoring marks for nuclear alterations, immune cell infiltration into parenchyma, fibrosis and vacuolization are reported in Table 2. No significant inter-sex or inter-site relationship was observed for any of the tested histo-pathological marks. The same results were reported with global scores taking into account all the observed different pathologies (Table 2). They showed that trout from different morphotypes presented similar histo-pathological trends.

However, a significant positive correlation exists between hepatic Cu concentration and numbers of MMCs; as well as between Cd and fibrosis scores (Table 3).


Table 3 Pearson correlation coefficients among hepatic metal concentrations and biomarkers. Values in boldface indicate significant correlations at p<0.05.
  Cd Cu
Glutathione levels −0.029 −0.070
Superoxide dismutase activity −0.115 0.141
Catalase activity −0.009 0.038
Melanomacrophage centre areas 0.048 0.112
Numbers of melanomacrophage centre 0.017 0.406
Nuclear alteration scores −0.110 −0.159
Vacuolization scores 0.212 0.054
Fibrosis scores 0.462 0.142
Immune cell infiltration scores 0.127 −0.113
Global scores 0.270 0.017

Liver functional anti-oxidative activities

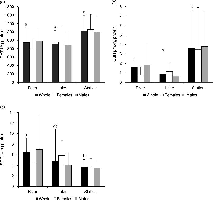
The oxidative stress biomarker responses measured in this work (SOD, CAT and GSH) were characterized by the absence of a gender-related difference. Station trout exhibited higher CAT and GSH values compared to the responses recorded in the other two investigated sites (Fig. 5). More accurately, CAT activity values were between 292 and 1881 U/g of protein for the station site, which was significantly higher than the river and lake (p=0.015; Fig. 5a). Similar response profiles were observed for GSH, with values between 0 and 16 µmol/g of protein (Fig. 5b). SOD activity was between 1.2 and 7.3 U/mg of protein. Contrary to CAT and GSH, SOD values were statistically significant lower in the station trout compared to the river (p=0.01; Fig. 5c). No correlation links were demonstrated between oxidative stress biomarkers and hepatic metal concentrations (Table 3).

Fig 5
Fig. 5  (a) Catalase activity (CAT), (b) glutathione levels (GSH) and (c) superoxide dismutase activity (SOD) in the livers of brown trout from three Kerguelen Island morphotypes: river (n=17), lake (n=20) and station (n=21). Bars represent mean±SD of biomarker levels measured in the whole sample, in the liver of females and males in each morphotype. The different letters indicate significant differences in biomarker levels measured in the whole sample between the three morphotypes (Kruskal–Wallis test).

Discussion

Liver metal concentrations

According to data available in the literature, heavy metal bioaccumulation in trout is more related to the degree of anthropogenic impact than to the geographic location of the study sites. For instance, hepatic Cu levels in brown trout caught in four Spanish sites differently polluted by Cu ranged from 75 to 435 µg/g d.w. (Lamas et al. 2007). In Norwegian and Russian lakes situated in important mining and metallurgic regions, brown trout had liver tissues contaminated by Cu (11–180 µg/g d.w.) and Cd (0.19–0.6 µg/g d.w.; Amundsen et al. 1997). However, in Blackfoot River, USA, affected by headwater inputs of acid-mine effluent, hepatic Cu concentrations in brown trout (Salmo trutta) were much higher than those found in our study (between 494 and 2399 µg/g d.w.), and hepatic Cd concentrations were in the same range as in Kerguelen brown trout (0.07–0.83 µg/g d.w.; Moore et al. 1991). In this study, Kerguelen trout livers presented similar Cd and Cu concentrations compared to the above-cited studies. These results are in accordance with data obtained in a previous study about Cu and Cd concentrations in the livers of Kerguelen brook trout (Salvelinus fontinalis) caught in 2005, in which hepatic Cd and Cu levels were shown to be close to those detected in fish from regions under human activities’ impact (Jaffal, Paris-Palacios et al. 2011). In the area around the Kerguelen Islands, benthic and pelagic marine fish species had also high hepatic Cd levels (from 10 to 52.1 µg/g d.w.; Bustamante et al. 2003). Cu concentrations measured in the same body tissues of these marine fish were lower (0.9–24.7 µg/g d.w.) than those quantified in our freshwater’s trout (Bustamante et al. 2003). To explain the high Cd levels observed in sub-Antarctic marine fauna, many authors have evoked a telluric origin related to volcanism (Bustamante et al. 2003; Abollino et al. 2004; Bargagli 2008). However, in our study it is difficult to find support for this hypothesis because Cd and Cu levels in water were globally as low as those observed in other polar or subpolar regions (Evans et al. 2005; Bargagli 2008). In this context, the major part of bioaccumulation should be coming from the trouts’ diets. The elemental composition of sediments and trout prey will be necessary to confirm the origin of heavy metals in Kerguelen aquatic ecosystems. In another way, bioaccumulation of Cu appeared significantly different between the three studied morphotypes. Two explanations could be evoked. First, high levels of Cu were observed in the livers of brown trout living in the Studer Lakes and near the station, in Ferme Pond. These two sites corresponded to lentic hydrosystems, where fish diet is essentially composed of small planktonic crustaceans (Copepoda, cladocera; Bryère & Charrier 2009). These invertebrates have the respiratory pigment haemocyanin, which contains Cu. The high levels of Cu in both the Studer Lakes and Ferme Pond populations may be explained by their common diet. Second, Kerguelen trout sizes were different between morphotypes at the same age (26.5±7.8, 35.7±5.6 and 43.6±4.4 cm for river, station and lake morphotypes, respectively). A positive relationship can be found between hepatic Cu level and fish size (r=0.469, p=0.021): big fish display higher metal levels than small ones. Many studies show that hepatic Cu concentrations depend on fish age and size (Farkas et al. 2003; Kojadinovic et al. 2007). It seems likely that hepatic Cu concentrations of each morphotype were influenced by both fish size and diet.

Liver histological structures

The alterations observed in the livers of Kerguelen trout belonged to the focal necrosis type. In this study, MMCs, immune cell infiltrations into the hepatic parenchyma, fibrosis and lipidic vacuolization were observed. These liver damages have been observed in fish exposed to poly-contaminated and treated sewage water (Adams et al. 1996; Schmidt et al. 1999; Bernet et al. 2004), to pulp and paper mill effluents (Adams et al. 1996) and to polychlorinated biphenyls (PCBs), polyaromatic hydrocarbons (PAHs), heavy metals and pesticides (Schwaiger et al. 1997). However, such alterations are not specific. They are associated with the general response of hepatocytes to toxicants or/and stressors (Hinton & Laurén 1990; Bernet et al. 2004; Greenfield et al. 2008; Marchand et al. 2009) or to oxidative-stress-related disturbances associated with exposure to xenobiotics (Betoulle et al. 2000).

Fibrosis with immune cell infiltration is a prevalent lesion. It commonly indicates irritation of the bile ducts by xenobiotics and is considered a consequence of oxidative burnout (Hinton & Laurén 1990). The relative risk (prevalence ratio) for trout to show this lesion has been found higher with increasing pollution (Bernet et al. 2004). Inflammatory response is one of the most frequently observed reactions in fish and particularly in salmonids worldwide (Schwaiger 2001). The amounts of immune cells and of MMCs in hepatic parenchyma have been used as indicators of a number of natural and anthropogenic stressors (Broeg 2010). MMCs contain melanin, ceroid/lipofuscin and hemosiderin pigments. They are believed to be part of non-specific immune responses and of the immune memory of teleosts (Borucinska et al. 2009). MMCs have often been evidenced in various fish species. However, a relatively small number of studies are available dealing with the effects of environmental stress on this histological parameter in salmonid species (Schwindt et al. 2006). MMCs are produced in various organs in salmonids (kidney, liver, spleen) but MMC quantification is particularly difficult in salmonids. In fact, in salmonids MMC were poorly organized, irregular and smaller than those observed in other teleosteans (Schwindt et al. 2006). MMCs are hypothesized to be able to form intercellular connections and networks that trap and process antigens and endogenous products of cellular degradation (Johnson et al. 2005). Their increased presence in tissues is probably related to higher rates of degenerative processes or to greater extents of tissue catabolism (Schwindt et al. 2006; Borucinska et al. 2009). Therefore, the numbers and morphological characteristics of MMCs can be influenced by xenobiotics as well as by the natural physiological conditions (Agius 1981; Manera et al. 2000).

The exposure to Cd and Cu has been shown to cause histopathology of the liver, even at low concentrations (Paris-Palacios et al. 2000; Schwaiger 2001; Carrola et al. 2009). This hepatic response to metals includes: fibrosis, necrosis, formation of MMCs and increased immune cell infiltration, changes in the nuclear and nucleolar patterns, modification of hepatocytic energetic storage (increased lipids and decreased glycogen) (Paris-Palacios et al. 2000; Greenfield et al. 2008). That pathology is in agreement with the one we observed in the livers of Kerguelen trout. The high Cu and Cd levels observed in Kerguelen trout could therefore be directly related to the structural pathology revealed in the liver tissue. Indeed, in this study, a positive correlation was observed between hepatic Cu concentration and histological perturbations (numbers of MMCs) and fibrosis scores showed positive correlation with Cd concentration.

In our study, MMC numbers or areas in Kerguelen brown trout were not related to age, condition or morphotype. But males had a higher frequency and size of hepatic MMCs than females. Schwindt et al. (2006) found a positive correlation between macrophage centres and age, and a negative correlation between MMCs and condition factor in brook trout, but no relationship between sex or maturity and MMC levels. No inter-sexual differences appeared concerning rates of fibrosis, nuclear alteration or in the global hepatic alteration score observed in Kerguelen trout. The faint inter-sex difference in hepatic metal concentrations observed in trout from each morphotype suggests that comparable levels of metallic contents between sexes are related to the similar intensities of hepatic structural disturbances shown between sexes (except for MMCs). The hepatic metal levels we measured cannot explain the higher intensity of MMC development in males. Indeed, some studies showed gender-dependent differences in liver tissue sensitivity to pollution, with variations according to chemicals, species, age and reproductive status (Braunbeck 1998). According to Bruslé & Anadon (1996), the sexual dimorphism of fish hepatocyte may be observed in the content of lipid and glycogen stores also in the amount of rough endoplasmic reticulum and Golgi vacuoles particularly higher in females than in males. This cytological observation is correlated with exogenous vitellogenesis. Vitellogenin is synthesized in the female fish liver in response to oestrogen. Ovarian hormones are then responsible for hepatocyte changes, which are indicative of enhanced metabolic activity, as demonstrated by Peute et al. (1985). This change could lead to the lower MMC accumulation in female livers. Furthermore, during the spawning period, females mobilize chemicals and may transfer them to the eggs (Loizeau & Abarnou 1994). Therefore, differences in the hepatic metabolism of females could explain the lower intensity of MMC in females versus males.

The lesions described here were also found in fish exposed to organic contaminants or to pesticides (Paris-Palacios et al. 2000; Schmidt-Posthaus et al. 2001). Previous studies indicated that salmonid populations of the Kerguelen Islands display important levels of contamination by PCBs (ΣPCB [29 congeners]=28 ng.g−1 wet weight in brown trout muscle) similar to those measured in the same species living in other regions of the world less isolated from pollution (Jaffal, Givaudan et al. 2011). No sex-related difference was found in the total muscle concentrations of PCBs in Kerguelen trout or in the class distribution of PCB indicators or PCB dioxin-like congeners (Jaffal, Givaudan et al. 2011). This organic contamination, probably resulting from the global atmospheric dispersion of pollutants, may be part of the development of the structural disturbances observed in Kerguelen trout livers.

Liver functional anti-oxidative activities

Hepatic biomarker responses linked to protection against oxidative stress showed that station trout were characterized by a response profile significantly different from the responses observed in the trout from the other two morphotypes we investigated. This result confirms the previous observations about trout from the Kerguelen Islands. Indeed, Morat et al. (2008) studied the crystallization form of otoliths from brown trout in the Kerguelen Islands. They revealed the presence of vaterite otoliths with the highest frequencies observed in fish living in the aquatic system near the station. The statistical analysis of these results revealed that abnormal crystallization forms (vateritic otoliths) can be linked to particular physico-chemical characteristics. As observed in Table 1, water conductivity in aquatic system of Ferme Pond, near the station, was higher than in the other two sites. Such a difference was related to the proximity with the seaside, which led to an enrichment in chlorine ions of the waters by wind and rain in the aquatic systems near the station (Gay 1981). Such physico-chemical characteristics of Ferme Pond may influence the fish physiology by modulating their hydromineral homeostasis and could be responsible for differences in biomarkers responses observed in these brown trout population in the present study. In fact, the environmental salinity could affect the antioxidant enzymes activities of trout (Kolayli & Keha 1999). A comparative study of antioxidant enzyme activities in freshwater and seawater-adapted rainbow trout has demonstrated significant differences between the two groups. SOD activity was found to be lower in the seawater-adapted trout than in the freshwater-cultured trout (Kolayli & Keha 1999). These results appear to be consistent with the lower SOD values obtained from the fish population in the pond near the station. Furthermore, salinity could indirectly affect these biomarkers by modulating metal bioavailability (Baysoy et al. 2012). In fact, metal bioavailability mostly depends on the conductivity of water which is positively correlated to free ion levels in water. According to Baysoy et al. (2012), salinity and metal exposures cause variation in the antioxidant enzyme activities and SOD activity generally increase in fish liver exposed to salinity and metals. Another hypothesis can be the relative high fishing pressure exerted on the salmonids living near the station, where fishing is a popular hobby. Finally, local anthropogenic pollutants related to human activities at the station could also be responsible for the differences in anti-oxidative activities observed between brown trout near the station and those at more distant sites. Biomarkers can provide useful data to trace the origin of the environmental stress in Kerguelen trout. Indeed, several heavy metals and organic pollutants, such as PCBs and PAHs, are able to induce reactive oxygen species production in fish and to induce associated defence mechanisms (Wilhelm Filho et al. 2001; Ait-Aissa et al. 2003; Sanchez et al. 2006). The contamination of aquatic ecosystems of the Kerguelen Islands by heavy metals and PCBs may have contributed to the level of anti-oxidative defences we observed.

Conclusions

The hydrosystems of the Kerguelen Islands are geographically isolated. However, the livers of Kerguelen brown trout showed high levels of Cu and Cd and clear hepatic disturbances (fibrosis, nuclear alteration, increased immune response). In this study, the presence of MMCs was revealed in the livers of brown trout, and they were correlated with hepatic Cu concentration. Similar histo-pathological trends were observed among trout from river, lake and station morphotypes, but anti-oxidative responses were different in trout from the station morphotype. Some of the hepatic alteration and MMCs in the livers of Kerguelen brown trout may be related to the high levels of Cd and Cu measured in these fish but also to PCB contamination, as revealed in a previous study. Hence, further investigations are needed to assess the effects of global contamination on fish health in the Kerguelen Islands.

Acknowledgements

The study was financially supported by the French Polar Institute Paul-Emile Victor (IMMUNOTOXKER programme 409) and by the French National Research Agency (ANR–RISKER programme). The authors thank the French Polar Institute for its logistical support in the Kerguelen Islands, the French Austral and Antarctic Territories Administration and the staff of the 56th mission in the Kerguelen Islands for their help with fieldwork. The authors sincerely thank Annie Buchwalter and Mohamad Alkassem for help with the English revision.

References

Abollino O., Aceto M., Buoso S., Gasparon M., Green W.J., Malandrino M. & Mentasti E. 2004. Distribution of major, minor and trace elements in lake environments of Antarctica. Antarctic Science 16, 277–291. Publisher Full Text

Adams S.M., Ham K.D., Greeley M.S., LeHew R.F., Hinton D.E. & Saylor C.F. 1996. Downstream gradients in bioindicator responses: point source contaminant effects on fish health. Canadian Journal of Fisheries and Aquatic Sciences 53, 2177–2187. Publisher Full Text

Agius C. 1981. Preliminary studies on the ontogeny of the melano-macrophages of teleost haemopoietic tissues and age-related changes. Developmental and Comparative Immunology 5, 597–606. Publisher Full Text

Ait-Aissa S., Ausseil O., Palluel O., Vindimian E., Garnier-Laplace J. & Porcher J.M. 2003. Biomarker responses in juvenile rainbow trout (Oncorhynchus mykiss) after single and combined exposure to low doses of cadmium, zinc, PCB77 and 17ß-oestradiol. Biomarkers 8, 491–508. Publisher Full Text

Amundsen P.-A., Staldvik F.J., Lukin A.A., Kashulin N.A., Popova O.A. & Reshetnikov Y.S. 1997. Heavy metal contamination in freshwater fish from the border region between Norway and Russia. Science of the Total Environment 201, 211–224. Publisher Full Text

Babo S. & Vasseur P. 1992. In vitro effects of Thiram on liver antioxidant enzyme activities of rainbow trout (Oncorhynchus mykiss). Aquatic Toxicology 22, 61–68. Publisher Full Text

Bargagli R. 2008. Environmental contamination in Antarctic ecosystems. Science of the Total Environment 400, 212–226. Publisher Full Text

Baysoy E., Atli G., Gürler C., Dogan Z., Eroglu A., Kocalar K. & Canli M. 2012. The effects of increased freshwater salinity in the biodisponibility of metals (Cr, Pb) and effects on antioxidant systems of Oreochromis niloticus. Ecotoxicology and Environmental Safety 84, 249–253. Publisher Full Text

Bernet D., Schmidt-Posthaus H., Wahli T. & Burkhardt-Holm P. 2004. Evaluation of two monitoring approaches to assess effects of waste water disposal on histological alterations in fish. Hydrobiologia 524, 53–66. Publisher Full Text

Betoulle S., Duchiron C. & Deschaux P. 2000. Lindane increases in vitro respiratory burst activity and intracellular calcium levels in rainbow trout (Oncorhynchus mykiss) head kidney phagocytes. Aquatic Toxicology 48, 211–221. Publisher Full Text

Biagianti-Risbourg S. 1990. Contribution à l’étude du foie de juvéniles de muges (Téléostéens, Mugilides), contaminés expérimentalement par l’atrazine (s-triazine herbicide): approche ultrastructurale et métabolique: intérêt en écotoxicologie. (Study of juveniles mullet [Teleostei, Mugilidae] liver contaminated by atrazine [s-triazine herbicide]: ultrastructural and metabolic approach: ecotoxicological interest.) PhD thesis, University of Perpignan.

Borucinska J.D., Kotran K., Shackett M. & Barker T. 2009. Melanomacrophages in three species of free-ranging sharks from the northwestern Atlantic, the blue shark Prionacae glauca (L.), the shortfin mako, Isurus oxyrhinchus Rafinesque, and the thresher, Alopias vulpinus (Bonnaterre). Journal of Fish Diseases 32, 883–891. Publisher Full Text

Bradford M.M. 1976. A rapid and sensitive method for the quantitation of microgram quantities of protein utilizing the principle of protein dye binding. Analytical Biochemistry 72, 248–254. Publisher Full Text

Braunbeck T. 1998. Cytological alterations in fish hepatocytes following in vivo sublethal exposure to xenobiotics—structural biomarkers of environmental contamination. In D.E. Braunbeck et al. (eds.): Fish ecotoxicology. Pp. 61–140. Berlin: Springer.

Broeg K. 2010. The activity of macrophage aggregates in the liver of flounder (Platichthys flesus) and wrasse (Symphodus melops) is associated with tissue damage. Marine Environmental Research 69, S14–S16. Publisher Full Text

Bruslé J. & Anadon G.G. 1996. The structure and function of fish liver. In J.S. Datta-Munshi & H.M. Dutta (eds.): Fish morphology. Pp. 77–93. Boca Raton, FL: CRC Press.

Bruslé J. & Quignard J.P. 2001. Biologie des poissons d’eau douce européens. (Biology of European freshwater fish.) Paris: Lavoisier.

Bryère P. & Charrier M. 2009. Variations du régime alimentaire en fonction de l’habitat de la truite commune (Salmo trutta L.) introduite dans l’Archipel de Kerguelen. (Diet variations depending on the habitat of brown trout [Salmo trutta L.] introduced into the Kerguelen archipelago.) Master’s thesis, Rennes 1 University, Rennes, France.

Bustamante P., Bocher P., Chérel Y., Miramand P. & Caurant F. 2003. Distribution of trace elements in the tissues of benthic and pelagic fish from the Kerguelen Islands. The Science of the Total Environment 313, 25–39. Publisher Full Text

Bustamante P., Cherel Y., Caurant F. & Miramand P. 1998. Cadmium, copper and zinc in octopuses from Kerguelen Islands, southern Indian Ocean. Polar Biology 19, 264–271. Publisher Full Text

Carrola J., Fontainhas-Fernandes A., Matos P. & Rocha E. 2009. Liver histopathology in brown trout (Salmo trutta f. fario) from the Tinhela River, subjected to mine drainage from the abandoned Jales Mine (Portugal). Bulletin of Environmental Contamination and Toxicology 83, 35–41. Publisher Full Text

Cazenave J., Bacchetta C., Rossi A., Ale A., Campana M. & Parma M.J. 2014. Deleterious effects of wastewater on the health status of fish: a field caging study. Ecological Indicators 38, 104–112. Publisher Full Text

Davaine P., Beall E., Guerri O. & Caraguel J.M. 1997. Salmonid introductions into virgin ecosystems (Kerguelen islands, Subantarctic): stakes, results, prospects. Bulletin Français de la Pêche et de la Pisciculture 344/345 93–110. Publisher Full Text

EU 2006. Directive 2006/44/EC of the European Parliament and of the Council of 6 September 2006 on the quality of fresh waters needing protection or improvement in order to support fish life. Accessed on the internet at http://eur-lex.europa.eu/legal-content/EN/TXT/?uri=CELEX:32006L0044 on 1 July 2013.

Evans M.S., Muir D., Lockhart W.L., Stern G., Ryan M. & Roach P. 2005. Persistent organic pollutants and metals in the freshwater biota of the Canadian Subarctic and Arctic: an overview. Science of the Total Environment 351/352 94–147. Publisher Full Text

Farkas A., Salánki J. & Specziár A. 2003. Age- and size-specific patterns of heavy metals in the organs of freshwater fish Abramis brama L. populating a low-contaminated site. Water Research 37, 959–964. Publisher Full Text

Fernández J.A., Vázquez M.D., López J. & Carballeira A. 2006. Modelling the extra and intracellular uptake and discharge of heavy metals in Fontinalis antipyretica transplanted along a heavy metal and pH contamination gradient. Environmental Pollution 139, 21–31. Publisher Full Text

Gay C. 1981. Ecologie du zooplancton d’eau douce des Iles Kerguelen. Caractéristiques du milieu et inventaire des entomostracés. (Ecology of freshwater zooplankton of the Kerguelen Islands. Environmental characteristics and entomostraca inventory.) CNFRA 47, 43–57.

Greenfield B.K., Teh S.J., Ross J.R.M., Hunt J., Zhang G., Davis J.A., Ichikawa G., Crane D., Hung S.S.O., Deng D., Teh F.C. & Green P.G. 2008. Contaminant concentrations and histopathological effects in Sacramento splittail (Pogonichthys macrolepidotus). Archives of Environmental Contamination and Toxicology 55, 270–281. Publisher Full Text

Gül Ş., Belge-Kurutaş E., Yıldız E., Şahan A. & Doran F. 2004. Pollution correlated modifications of liver antioxidant systems and histopathology of fish (Cyprinidae) living in Seyhan Dam Lake, Turkey. Environment International 30, 605–609. Publisher Full Text

Hinton D.E. & Laurén D.J. 1990. Liver structural alterations accompanying chronic toxicity in fishes: potential biomarkers of exposure. In J.F. McCarty & L.R. Shugart (eds.): Biomarkers of environmental contamination. Pp. 15–57. Boca Raton, FL: Lewis Publishers.

Jaffal A., Givaudan N., Betoulle S., Terreau A., Paris-Palacios S., Biagianti-Risbourg S., Beall E. & Roche H. 2011. Polychlorinated biphenyls in freshwater salmonids from the Kerguelen Islands in the Southern Ocean. Environmental Pollution 159, 1381–1389. Publisher Full Text

Jaffal A., Paris-Palacios S., Jolly S., Thailly A., Delahaut L., Beall E., Roche H., Biagianti-Risbourg S. & Betoulle S. 2011. Cadmium and copper contents in a freshwater fish species (brook trout, Salvelinus fontinalis) from the Subantarctic Kerguelen Islands. Polar Biology 34, 397–409. Publisher Full Text

Johnson J.C., Nettikadan S.R., Vengasandra S.G., Lovan S., Muys J., Henderson E. & Christiansen J. 2005. Characterization of testudine melanomacrophage linear, membrane extension processes—cablepodia—by phase and atomic force microscopy. In Vitro Cellular and Developmental Biology—Animal 41, 225–231. Publisher Full Text

Kojadinovic J., Potier M., Le Corre M., Cosson R.P. & Bustamante P. 2007. Bioaccumulation of trace elements in pelagic fish from the Western Indian Ocean. Environmental Pollution 146, 548–566. Publisher Full Text

Kolayli S. & Keha E. 1999. A comparative study of antioxidant enzyme activities in freshwater and seawater-adapted rainbow trout. Journal of Biochemical and Molecular Toxicology 13, 334–37. Publisher Full Text

Lagadic L., Caquet T. & Amiard J.C. 1997. Biomarqueurs en écotoxicologie: principes et définitions. (Biomarkers in ecotoxicology: principles and definitions.) In L. Lagadic et al. (eds.): Biomarqueurs en écotoxicologie. Aspects fondamentaux. (Biomarkers in ecotoxicology. Fundamental aspects.) Pp. 1–9. Paris: Masson.

Lamas S., Fernández J.A., Aboal J.R. & Carballeira A. 2007. Testing the use of juvenile Salmo trutta L. as biomonitors of heavy metal pollution in freshwater. Chemosphere 67, 221–228. Publisher Full Text

Loizeau V. & Abarnou A. 1994. Distribution of polychlorobiphenyls in dab (Limanda limanda) from the Baie de Sein (Eastern Channel). Marine Environmental Research 38, 77–91. Publisher Full Text

Manera M., Serra R., Isani G. & Carpené E. 2000. Macrophage aggregates in gilthead sea bream fed copper, iron and zinc enriched diets. Journal of Fish Biology 57, 457–465. Publisher Full Text

Marchand M.J., Van Dyk J.C., Pieterse G.M., Barnhoorn I.E.J. & Bornman M.S. 2009. Histopathological alterations in the liver of the sharptooth catfish Clarias gariepinus from polluted aquatic systems in South Africa. Environmental Toxicology 24, 133–147. Publisher Full Text

Mayon N., Bertand A., Leroy D., Malbrouck C., Mandiki S.N.M., Silvestre F., Goffard A., Thome J.P. & Kestemont P. 2006. Multiscale approach of fish responses to different types of environmental contaminations: a case study. Science of the Total Environment 367, 715–731. Publisher Full Text

Moore J.N., Luoma S.N. & Peters D. 1991. Downstream effects of mine effluent on an intermontane riparian system. Canadian Journal of Fisheries and Aquatic Sciences 48, 222–232. Publisher Full Text

Morat F., Betoulle S., Robert M., Thailly A.F., Biagianti-Risbourg S. & Lecomte-Finiger R. 2008. What can otolith examination tell us about the level of perturbations of salmonid fish from the Kerguelen Islands? Ecology of Freshwater Fish 17, 617–627. Publisher Full Text

Paoletti F., Aldinucci D., Mocali A. & Caparrini A. 1986. A sensitive spectrophotometric method for the determination of superoxide dismutase activity in tissue extracts. Analytical Biochemistry 154, 536–541. Publisher Full Text

Paris-Palacios S. & Biagianti-Risbourg S. 2006. Hepatocyte nuclear structure and subcellular distribution of copper in zebrafish Brachydanio rerio and roach Rutilus rutilus (Teleostei, Cyprinidae) exposed to copper sulphate. Aquatic Toxicology 77, 306–313. Publisher Full Text

Paris-Palacios S., Biagianti-Risbourg S. & Vernet G. 1998. Hepatic disorders induced by a sublethal concentration of procymidone (fongicide dicarboximide) in Brachydanio rerio (teleostei, cyprinidae): histo-cytological approach. Bulletin Français de la Pêche et de la Protection des Milieux Aquatiques 71, 547–562.

Paris-Palacios S., Biagianti-Risbourg S. & Vernet G. 2000. Biochemical and (ultra)structural hepatic perturbations of Brachydanio rerio (Teleostei, Cyprinidae) exposed to two sublethal concentrations of copper sulfate. Aquatic Toxicology 50, 109–124. Publisher Full Text

Peute J., Huiskamp R. & Van Oordt P. 1985. Quantitative analysis of estradiol-17β-induced changes in the ultrastructure of the liver of the male zebrafish, Brachydanio rerio. Cell and Tissue Research 242, 377–382. Publisher Full Text

Sanchez W., Ait-Aissa S., Palluel O., Ditche J.M. & Porcher J.M. 2007. Preliminary investigation of multi-biomarker responses in three-spined stickleback (Gasterosteus aculeatus L.) sampled in contaminated streams. Ecotoxicology 16, 279–287. Publisher Full Text

Sanchez W., Palluel O., Lagadic L., Ait-Aissa S. & Porcher J.M. 2006. Biochemical effects of nonylphenol polyethoxylate adjuvant, Diquat herbicide and their mixture on the three-spined stickleback (Gasterosteus aculeatus L.). Marine Environmental Research 62, S29–S33. Publisher Full Text

Sanchez W., Palluel O., Meunier L., Coquery M., Porcher J.-M. & Aït-Aïssa S. 2005. Copper-induced oxidative stress in three-spined stickleback: relationship with hepatic metal levels. Environmental Toxicology and Pharmacology 19, 177–183. Publisher Full Text

Schmidt H., Bernet D., Wahli T., Meier W. & Burkhardt-Holm P. 1999. Active biomonitoring with brown trout and rainbow trout in diluted sewage plant effluents. Journal of Fish Biology 54, 585–596. Publisher Full Text

Schmidt-Posthaus H., Bernet D., Wahli T. & Burkhardt-Holm P. 2001. Morphological organ alterations and infectious diseases in brown trout Salmo trutta and rainbow trout Oncorhynchus mykiss exposed to polluted river water. Diseases of Aquatic Organisms 44, 161–170. Publisher Full Text

Schwaiger J. 2001. Histopathological alterations and parasite infection in fish: indicators of multiple stress factors. Journal of Aquatic Ecosystem Stress and Recovery 8, 231–240. Publisher Full Text

Schwaiger J., Wanke R, Adam S., Pawert M., Honnen W. & Triebskorn R. 1997. The use of histopathological indicators to evaluate contaminant-related stress in fish. Journal of Aquatic Ecosystem Stress and Recovery 6, 75–85. Publisher Full Text

Schwindt A.R., Truelove N., Schreck C.B., Fournie J.W., Landers D.H. & Kent M.L. 2006. Quantitative evaluation of macrophage aggregates in brook trout Salvelinus fontinalis and rainbow trout Oncorhynchus mykiss. Diseases of Aquatic Organisms 68, 101–113. Publisher Full Text

Vandeputte C., Guizon I., Genestie-Denis I., Vannier B. & Lorenzon G. 1994. A microtiter plate assay for total glutathione and glutathione disulfide contents in cultured/isolated cells: performance study of a new miniaturized protocol. Cell Biology and Toxicology 10, 415–421. Publisher Full Text

Van der Oost R., Beyer J. & Vermeulen N.P.E. 2003. Fish bioaccumulation and biomarkers in environmental risk assessment: a review. Environmental Toxicology and Pharmacology 13, 57–149. Publisher Full Text

Wilhelm Filho D., Torres M.A., Tribess T.B., Pedrosa R.C. & Soares C.H.L. 2001. Influence of season and pollution on the antioxidant defenses of the cichlid fish acara (Geophagus brasiliensis). Brazilian Journal of Medical and Biological Research 34, 719–726. Publisher Full Text