RESEARCH/REVIEW ARTICLE

Methane and nitrous oxide fluxes in relation to vegetation covers and bird activity in ice-free soils of Rip Point, Nelson Island, Antarctica

Ângela Denise Hubert Neufeld,1 Stefânia Guedes de Godoi,1 Antônio Batista Pereira,1 Cimélio Bayer,2 Adriano Luis Schünemann,1 Filipe de Carvalho Victoria,1 Margéli Pereira de Albuquerque,1 Estefânia Camargo2 & Frederico Costa Beber Vieira1

1 Instituto Nacional de Ciência e Tecnologia Antártico de Pesquisas Ambientais, Universidade Federal do Pampa, Campus São Gabriel, Avenida Antônio Trilha, 1847, Centro, 97300-000, São Gabriel, RS, Brazil
2 Departamento de Solos, Universidade Federal do Rio Grande do Sul, P.O. Box 15100, 91540-000 Porto Alegre, RS, Brazil

Abstract

This study aimed to quantify the nitrous oxide (N2O) and methane (CH4) fluxes at sites with different vegetation covers and where bird activity was present or absent using the static chamber method, on Rip Point, Nelson Island, maritime Antarctic. The sites were soils covered by Sanionia uncinata, lichens, Prasiola crispa, Deschampsia antarctica and bare soil. Seabirds used the P. crispa and D. antarctica sites as nesting areas. Soil mineral N contents, air and soil temperature and water-filled pore space were measured, and the content of total organic C and particulate organic C, total N, bulk density and texture were determined to identify controlling variables of the gas emissions. The N2O and CH4 flux rates were low for all sampling events. Mean N2O flux rates ranged from 0.11±1.93 up to 21.25±22.14 µg N2O m−2 h−1 for the soils under lichen and P. crispa cover, respectively. For the CH4 fluxes, only the P. crispa site showed a low positive mean (0.47±3.61 µg CH4 m−2 h−1). The bare soil showed the greatest absorption of CH4 (−11.92±5.7 µg CH4 m−2 h−1), probably favoured by the coarse soil texture. Bare soil and S. uncinata sites had N2O accumulated emissions close to zero. Net CH4 accumulated emission was observed only at the P. crispa site, which was correlated with (p<0.001). These results indicate that seabird activity influences N2O and CH4 soil fluxes, while vegetation has little influence, and bare soil areas in maritime Antarctica could be greenhouse gas sinks.

Keywords
Soil greenhouse gases; seabirds; vegetal cover; maritime Antarctica.

Correspondence
Frederico Costa Beber Vieira, Instituto Nacional de Ciência e Tecnologia Antártico de Pesquisas Ambientais, Universidade Federal do Pampa, Campus São Gabriel, Avenida Antônio Trilha, 1847, Centro, 97300-000, São Gabriel, RS Brazil. E-mail: fredericovieira@unipampa.edu.br

(Published: 3 February 2015)

Polar Research 2015. © 2015 Â.D.H. Neufeld et al. This is an Open Access article distributed under the terms of the Creative Commons Attribution-Noncommercial 3.0 Unported License (http://creativecommons.org/licenses/by-nc/3.0/), permitting all non-commercial use, distribution, and reproduction in any medium, provided the original work is properly cited.

Citation: Polar Research 2015, 34, 23584, http://dx.doi.org/10.3402/polar.v34.23584

 

The greenhouse effect and its causes are nowadays crucial questions in worldwide research. The concentration of greenhouse gases, mainly carbon dioxide (CO2), methane (CH4) and nitrous oxide (N2O), is increasing fast in the atmosphere. It is estimated that the change in the greenhouse gas concentration in the atmosphere will increase the global temperature up to 0.2°C per decade during the course of the century (Metz et al. 2007). There is evidence that this warming has arisen dramatically over the last half century in the maritime Antarctica, especially along the western Antarctica Peninsula (Vaughan et al. 2001).

Greenhouse gas fluxes in soils have been widely studied in agricultural regions, where the soil can be a source or a sink of GHG depending on type of use and management practices employed (Mosier 1998). The magnitude of these greenhouse gas fluxes and the main soil and climatic factors that influence natural austral ecosystems in melting areas, as the maritime Antarctica, came to be evaluated only from the last decade, and these studies are still scarce (Sun et al. 2002; Zhu & Sun 2005; Zhu et al. 2005; Vieira et al. 2012). The study of the flux rates of N2O and CH4 in these environments has extreme importance since these two gases have a greater warming potential than CO2: 25 times greater for CH4 and 298 times higher for N2O (Metz et al. 2007).

Tundra soils covered with mosses or lichens of the Antarctic Peninsula are distributed in areas without permanent snow cover during part of the summer and comprise about 8% of the maritime Antarctica (Sun et al. 2002; Zhu et al. 2005). They contain large areas colonized by mosses and lichens; occasionally species of higher plants are found (Putzke et al. 1998). These soils, called cryosols, are the result of cycles of freezing and thawing, of biogeochemical processes under each vegetation type and also of the deposition of droppings by penguins and other seabirds (Sun et al. 2002; Ugolini & Bockheim 2008). When modified by bird activity, cryosols are called ornithogenic cryosols (Simas et al. 2008). With high levels of organic carbon (CO), nitrogen (N) and phosphorus, they are particularly fertile (Sun et al. 2002; Gregorich et al. 2006; Michel et al. 2006; Aislabie et al. 2008; Simas et al. 2008; Zhu, Liu, Xu, Ma, Zhao et al. 2008). Relatively high CH4 and N2O emission rates have been reported in these ecosystems (Sun et al. 2002; Zhu et al. 2005; Zhu, Liu, Ma et al. 2008).

In tropical and subtropical soils, the main factors that drive greenhouse gas fluxes are C and N contents and biological activity, as well as the texture, temperature and humidity of the soil (Mosier et al. 1991; Boeckx et al. 1997; Giacomini et al. 2006; Gomes et al. 2009). In cryosols of the maritime Antarctica, less is known about how these factors affect such fluxes. Studies of the fluxes of N2O and CH4 have demonstrated that emissions are correlated with higher temperatures in the soil surface layer, and the precipitation and amount of N in the soil, respectively (Sun et al. 2002; Gregorich et al. 2006; Zhu et al. 2007). These soil ecosystems seem to be particularly sensitive to climate change, and understanding the biogeochemical processes occurring in them is essential for predicting their responses to these changes (Shaver et al. 2000; Park et al. 2007).

This study aimed to evaluate the N2O and CH4 fluxes in thawing soils under different vegetation covers and with or without bird activity on Rip Point on Nelson Island, Antarctica, and to investigate the soil and climate aspects of the region that influence the emission or mitigation of these gases.

Materials and methods

For this study, samples were collected in February 2012 during the 30th Brazilian Antarctic Operation, and the greenhouse gas fluxes were evaluated in the northern part of Nelson Island, on Rip Point (62°14′14″–62°15′45″S, 58°59′13″–59°02′30″W), Antarctica (Fig. 1).

Fig 1
Fig. 1  Location of the investigation area and sampling places in Rip Point, Nelson Island, Antarctica.

Five sites were selected in order to get different characteristics of soil, vegetation cover and bird activity. The distance between sites ranged from about 20 to 250 m (Fig. 1). The first site was bare soil with evidence of alluvial formation. The second site had 100% coverage by a moss carpet of Sanionia uncinata (Hedw) Loesk, with the water table near the surface, ranging from approximately 20 to 30 cm in depth, and poorly drained soil. The third site was mostly covered by lichen species, showing a great local diversity. At this site, individuals of Ochrolechia frigida (Sw.) Lynge, Usnea antarctica Du Rietz, Polytrichum juniperinum Hedw, S. uncinata, Prasiola crispa (Lightfoot) Menegh., Sphraerophorus globosus (Huds.) Vain, Schistidium urnulaceum (Müll. Hal.) B.G. Bell and Psoroma cinnamomeum Malme were found. The site was about 30 m from a nesting area of giant petrels (Macronectes giganteus) and, although the natural drainage was not directly linked to the sampling area, the vegetation and soil characteristics indicate that the site has been weakly influenced by this community. The fourth and fifth sites were located around 2 m away from two distinct nesting areas of giant petrels. In each area, the petrels stay for about 100–130 days per year, including egg incubation and nesting. The fourth one was mainly covered by the alga P. crispa, but some individuals of the lichen P. juniperinum were also registered. In the fifth, vegetation was largely dominated by D. antarctica (Desv.) grass, with points of Syntrichia magellanica (Mont) R.H. Zander H, P. crispa and S. uncinata. The soil of the fourth and fifth sites is evaluated as ornithogenic cryosol, according to their chemical attributes (Simas et al. 2008).

For convenience, the sites are hereafter referred to as follows: bare soil, S. uncinata, lichen soil, P. crispa and D. antarctica.

Sampling and analysis of greenhouse gas emissions

Greenhouse gas emissions were sampled four times at the P. crispa, S. uncinata, lichen soil and bare soil sites. The measurements were made on 10, 12, 14 and 16 February 2012. Sampling at the D. antarctica site was performed only twice, on 14 and 16 February 2012, due to logistical difficulties. Severe weather conditions brought an end to the fieldwork earlier than planned, decreasing the sampling period. Gas sampling was carried out through static PVC chambers 10 cm in height and 25 cm in diameter. Each chamber was supported by a metal base fixed on the ground, with a canal filled with water to isolate the inside from the outside and to prevent gas exchange. With a minimal distance of 2 m between them, three chambers were randomly installed at each site in order to obtain three replications.

Samples were obtained using polypropylene syringes with triple Luer Lock valves starting at about 09:00. Sampling took place at intervals of 0, 30, 60 and 90 min after closing the chambers. Air samples were immediately injected into evacuated Exetainer 12 ml glass vials (Labco, High Wycombe, UK). The concentrations of CH4 and N2O in the samples were determined using a GC-2014 gas chromatograph (Shimadzu Corp., Kyoto, Japan), at the Environmental Biogeochemistry laboratory at the Federal University of Rio Grande do Sul during the 2 weeks following the return of the field team from Antarctica. The chromatograph was equipped with three columns at a temperature of 70°C: one injector with a direct sampling grid of 1 ml at a temperature of 250°C; one electron capture detector with a temperature of 325°C for detecting N2O; and one flame ionization detector with a temperature of 250°C for detecting CH4. The equipment used N2 as the carrier gas at a flow of 26 ml min−1. To estimate the gas fluxes, we used the equation below:



where f is the gas flux (µg m−2 h−1 N2O or CH4), Q is the quantity of gas (µg N2O or CH4) in the chamber, P is the atmospheric pressure (atm) in the inner chamber, V is the chamber volume (L), R is the constant for ideal gases (0.08205 atm.L mol−1 K−1), T is the chamber temperature (K) and A is the base area of the chamber (m2). Rates of increase in gas concentration inside the chamber were estimated by the slope from the linear regression between time of sampling (0, 30, 60 and 90 min) and gas concentrations for each time (Gomes et al. 2009; Vieira et al. 2012).

The accumulated emission of gases (CH4 and N2O) for the six-day period was estimated from the integration of the area below curves in the relation between daily flux rates and sampling time. Because the sampling period at the D. antarctica site was shorter, we estimated the value of the site for two days and extrapolated for the total period of evaluation. In order to estimate the relative contribution of each gas, the partial Global Warming Potential over a 100-year time horizon was calculated by taking into account only the net balance of N2O and CH4 fluxes, in equivalent-carbon, considering a warming potential for CH4 and N2O of 25 and 298 times that for CO2, respectively.

Simultaneously to the gas sampling from the chamber, the soil temperature and the temperature inside the chamber were monitored with a digital thermometer. In each event, soil samples of 0–5 cm layer were taken in triplicate for soil gravimetric moisture (oven-dried at 105°C up to constant weight) and mineral nitrogen content [ and by extraction with 1 M KCl and semi-micro Kjeldahl distillation, using the method of Tedesco et al. (1995)].

Soil sampling and analysis of chemical and physical attributes

Soil samples were collected in three replicates per site, at depths of 0–5, 5–10, 10–20 and 20–40 cm, packed in plastic flasks and analysed immediately after returning from Antarctica. The samples were dried in an oven at 50°C, ground in a hammer mill and sieved (2 mm). Total nitrogen (TN) contents were determined by wet digestion and semi-micro Kjeldahl distillation. Labile carbon contents were obtained through particle size physical fractionation of organic matter (Vieira et al. 2007), in which the C content in the particulate organic carbon (POC; >50 µm, sieved after dispersion with Na hexametaphosphate solution 5 g L−1) was determined by dry combustion using a TOC-VCSH analyser (Shimadzu Corp.). Soil sub-samples were subjected to grinding in a porcelain mortar (<0.05 mm) for analysis of total organic carbon (TOC) content by dry combustion using the same TOC analyser described above.

Soil bulk density was determined by the core method (Blake & Hartge 1986), and the estimation of water-filled pore space (WFPS) was performed from the values of soil bulk density and assuming a particle density of 2.65 g cm−3 (Gomes et al. 2009). Clay, silt and sand contents were determined by the pipette method, in accordance with Tedesco et al. (1995) (Table 1).


Table 1 Soil bulk density and clay, silt and sand contents for the five locals of air sampling Rip Point, Nelson Island, Antarctica. Values are means (n=3)±standard deviations. Samples were taken in the first gas sampling event.
    Soil attribute
Site Soil layer (cm) Soil bulk density (g cm−3) Clay content (g kg−1) Silt content (g kg−1) Sand content (g kg−1)
  0–5 1.31±0.11 10±10.00 334±65.89 656±60.82
Bare soil 5–10 1.38±0.08 13±11.54 252±27.41 735±32.45
  10–20 1.38±0.08 0±0.00 258±51.79 742±51.79
  20–40 1.40±0.07 0±0.00 254±68.98 746±68.98
  0–5 1.11±0.05 20±0.00 147±21.58 833±21.58
Sanionia uncinata 5–10 1.09±0.05 23±5.77 152±10.34 824±9.28
  10–20 1.25±0.72 27±5.77 150±52.13 823±46.36
  20–40 1.32±0.76 23±5.77 144±29.62 833±34.73
  0–5 1.10±0.14 13±5.77 199±19.91 788±23.63
Lichen soil 5–10 1.17±0.07 30±17.32 314±42.75 656±43.46
  10–20 1.15±0.06 27±11.54 283±22.72 691±34.02
  20–40 1.32±0.76 13±5.00 179±21.28 816±16.28
  0–5 1.16±0.02 40±0.00 226±56.96 734±56.96
Pasiola crispa 5–10 1.23±0.04 40±20.00 255±60.48 705±40.64
  10–20 1.30±0.08 27±11.54 235±43.68 738±49.55
  20–40 1.46±0.04 20±0.00 184±2.92 796±2.92
  0–5 1.13±0.02 40±0.00 337±171.46 623±171.46
Deschampsia antarctica 5–10 1.25±0.08 47±11.54 168±55.38 785±44.77
  10–20 1.22±0.05 29±18.47 203±12.35 768±26.08
  20–40 1.53±0.01 20±0.00 237±11.98 743±11.98

Statistical analysis

The relationship between greenhouse gas flux rates and climate and soil variables was determined by Pearson correlation. The accumulated GHGs emissions and the TOC, POC and NT contents were compared for the different sites using one-way ANOVA. Difference in parameter means between sites was assessed by the Tukey test (p<0.05).

Results

N2O and CH4 fluxes

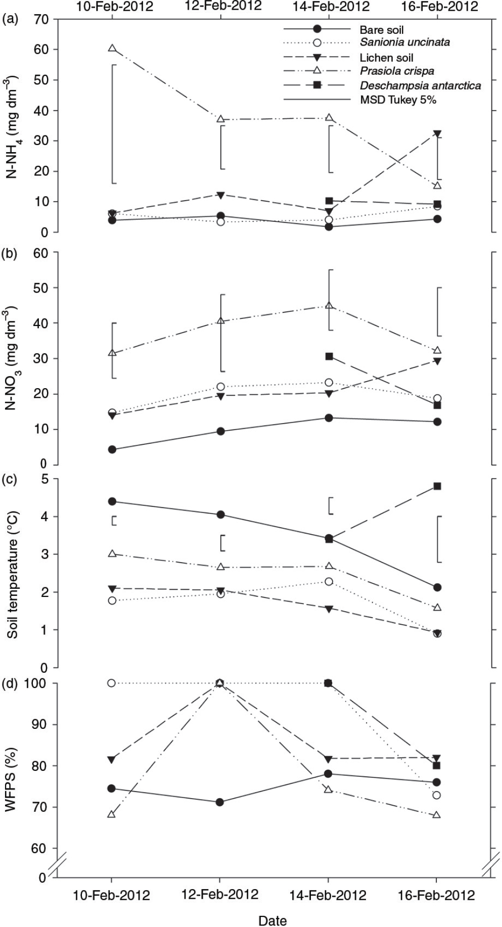
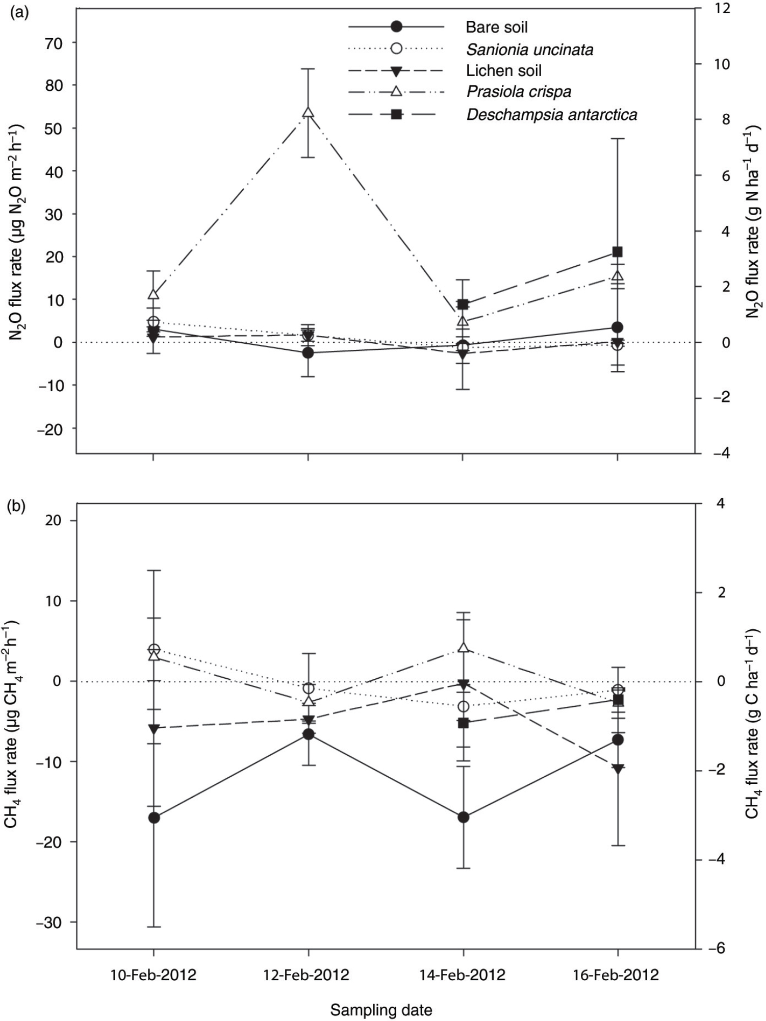
The highest N2O emission rates throughout the period were observed from the soils with Prasiola crispa and Deschampsia antarctica vegetation cover, which were the sites in the vicinity of birds. The largest emission peak occurred on the second day at the P. crispa site, with 53.83 µg N2O m−2 h−1 (Fig. 2a), coinciding with a saturation of soil pores with water and with large mineral N contents (NH4 and NO3) in the soil (Fig. 3a, b, d). However, considering all sites and sampling dates, no significant relation was found between the emission of this gas and soil variables (Table 2). In the second emission peak, with 15.45 µg N2O m−2 h−1, the soil was drained, with 67% of its pores saturated by water. At sites with presumably negligible bird influence the emissions were lower, remaining below 5.0 µg N2O m−2 h−1. The bare soil site had influx rates of N2O during part of the sampling period, as did soils at the Sanionia uncinata and lichen soil sites on the third collection event.

Fig 2
Fig. 2  Rates of (a) nitrous oxide (N2O) and (b) methane (CH4) flux in soils of five areas in Rip Point, Nelson Island, Antarctica. Vertical bars indicate the standard deviation of the mean (n=3).

Fig 3
Fig. 3  Mineral N contents (NO3 and NH4), soil temperature and water-filled pore space (WFPS) in five areas in Rip Point, Nelson Island, Antarctica. Values not significantly different by Tukey test (p<0.05) are indicated with ns.


Table 2 Correlation coefficient between greenhouse gases flux rates and soil and climate variables (n=18).
Flux rates   N– N–NO3 N–+NO3 WFPSa Soil temperature
CH4 r 0.828 −0.012 0.748 0.187 0.167
  p <0.001 0.959 <0.001 0.458 0.508
N2O r 0.007 −0.007 0.004 0.054 −0.268
  P 0.977 0.976 0.985 0.829 0.283
aWater-filled pore space.

Average daily fluxes of CH4 ranged from −16.99±13.57 to 4.11±4.54 µg CH4 m−2 h−1 among the five sites evaluated (Fig. 2b). On the first day of sampling CH4 emission occurred at three places, with values of 4.02 and 3.5 µg CH4 m−2 h−1 at the S. uncinata and P. crispa sites, respectively. We observed CH4 emission again only at the P. crispa site, on the third sampling day, with 4.11 µg CH4 m−2 h−1 (Fig. 2b). For the rest of the period, the soil acted as a sink of CH4. The bare soil site had the largest oxidation rates over the period, except on the last day of sampling, when the lichen soil site showed the greatest oxidation rate. The in soil showed a direct relationship (p<0.001) with the CH4 fluxes rates (Table 2).

The accumulated emission of CH4 for the six days of sampling showed that the P. crispa site was the only site to present net emission of this gas, with production of about 0.60 g C–CH4 ha−1 (Fig. 4b). The other sites behaved as CH4 sinks during the period, with the largest accumulated CH4 uptake at the bare soil site, which oxidized approximately 12 g C–CH4 ha−1. Regarding N2O, all the sites had net accumulated emissions for the six-day period. The largest emissions occurred at the P. crispa and D. antarctica sites, with 21.94 and 13.88 g N–N2O ha−1, respectively. The N2O accumulated emissions at the bare soil site, the S. uncinata site and the lichen soil site were<3 g N–N2O ha−1 and were not significantly different among them (Fig. 4a). The cumulative N2O flux showed no significant correlation with soil attributes, but they were slightly correlated (p<0.10) to the TOC and TN stocks in the 0–5 cm layer. In terms of accumulated emissions of the two gases in C equivalent to six days, it is clear that in the net balance the N2O was predominant (Fig. 4c).

Fig 4
Fig. 4  Accumulated emission of (a) nitrous oxide and (b) methane for six days of evaluation in soils from Rip Point, Nelson Island, Antarctica, and (c) the net balance of these gases. Means (n=3) followed by the same letters do not differ by Tukey test at p<0.05. Values not significantly different by Tukey test (p<0.05) are indicated with ns. Vertical bars represent the standard deviation of the mean for each place (n=3).

Soil properties

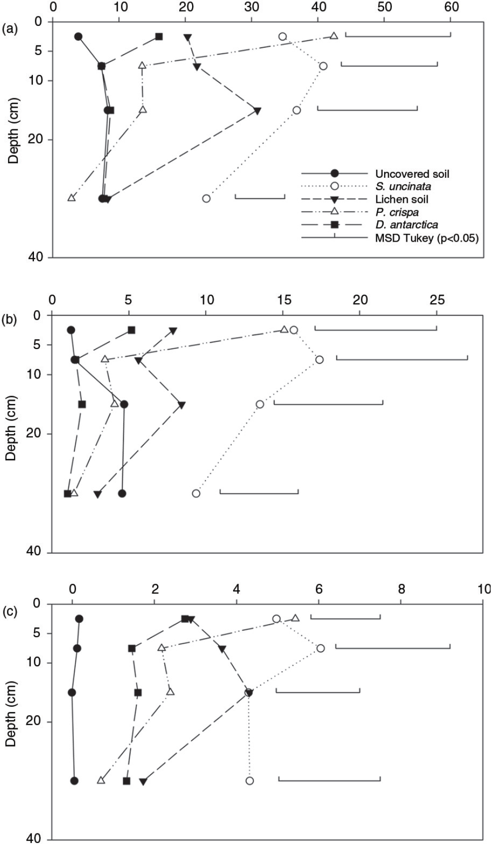
The soil at the S. uncinata site had predominantly larger contents of TOC, POC and TN than the other areas, and the largest amount of TOC and POC at the site was observed in the 5–10 cm layer, with a content of 40.80 and 21.80 g C dm−3, respectively, as well as TN with 6.05 g N dm−3 (Fig. 5). However, in the superficial soil layer at 0–5 cm, greater contents of TOC, POC and TN were observed in the soil at the P. crispa site, with 42.41 and 15.10 g C dm−3 and 5.43 g N dm−3, respectively, with the greatest gradient in the soil profile in comparison to the other sites. The lichen soil site showed its larger contents of these attributes in the third layer, at 10–20 cm, with 30.85 and 13.72 g C dm−3 and 4.30 g N dm−3, respectively. The bare soil site exhibited similar TN values along the profile, ranging between 0.17 and 0.05 g N dm−3 (Fig. 5c); however, in relation to the TOC and POC, the content increased with depth (Fig. 5a, b). The soil at the D. antarctica site showed one of the lowest values of TOC and TN content in all layers, only higher than those at the bare soil site, and the POC was the lowest of all areas evaluated, except in the 0–5 cm layer (Fig. 5b).

Fig 5
Fig. 5  Soil contents of (a) total organic carbon, (b) total particulate organic carbon and (c) total nitrogen in five areas in Rip Point, Nelson Island, Antarctic. Horizontal bars indicate the minimum significant difference (MSD) by Tukey test at p<0.05 (n=3).

The stocks of TOC, POC and TN for the 0–10 cm soil layer were closely and positively related to the CH4 accumulated emission, but the same did not occur for the N2O accumulated emission (Table 3). The largest stocks of TOC, POC and TN were found at the S. uncinata site, with 129.9, 60.5 and 18.4 Mg ha−1, respectively (Fig. 6). Regarding the TOC stock, the lichen soil and P. crispa sites were not statistically different, and the D. antarctica site did not differ from the bare soil site (Fig. 6a). As for the COP, the soil stock at the D. antarctica site had the lowest values among all the sites (Fig. 6b), while for the NT the smallest stock was found at the bare soil site, with less than 0.25 Mg ha−1 (Fig. 6c).

Fig 6
Fig. 6  Soil stocks of (a) total organic carbon (TOC), (b) particulate organic carbon (POC) and (c) total nitrogen (TN) in five areas in Rip Point, Nelson Island, Antarctic, for the depth interval 0–0.40 m. Means (n=3) followed by the same letters do not differ by Tukey test at p<0.05. Vertical bars represent the standard deviation of the mean for each place (n=3).


Table 3 Correlation coefficient between accumulated greenhouse gases emission and stocks of total organic carbon (TOC), particulate organic carbon (POC) and total nitrogen (TN) (n=15).
  TOC stocks (Mg ha−1) POC stocks (Mg ha−1) TN stocks (kg ha−1)
Accumulated emission   0–5 cm 0–10 cm 0–5 cm 0–10 cm 0–5 cm 0–10 cm
CH4 r 0.632 0.654 0.559 0.532 0.664 0.681
  p <0.05 <0.01 <0.05 <0.05 <0.01 <0.01
N2O r 0.482 0.131 0.423 0.0715 0.456 0.129
  p 0.068 0.641 0.116 0.8 0.087 0.647

Discussion

Effects of birds and vegetation cover on N2O and CH4 fluxes

In this study, we observed relatively low greenhouse gas emissions. N2O and CH4 fluxes were similar or lower in magnitude to those reported in previous studies in the thawing areas of the maritime Antarctica. There was a clear positive correlation between the presence of seabirds and the N2O and CH4 flux rates in these soils. This has been reported in other studies, showing that birds influence biogeochemical cycles in this environment (Sun et al. 2002; Zhu et al. 2005; Simas et al. 2007). Environmental variables such as soil temperature and moisture did not significantly influence these fluxes in our study, which was also found in Garwood Valley (Gregorich et al. 2006) for N2O and in Field Peninsula (Sun et al. 2002) for CH4.

At sites influenced by giant petrels, which contribute N to the soil, there was significantly higher N2O emission compared to other sites. The soil at the Prasiola crispa site had the largest N2O accumulated emission, while was observed to decline, and to increase, during the sampling period, suggesting nitrification. Sun et al. (2002) suggested that in ornithogenic soils N2O is mainly produced through the nitrification of . The P. crispa site a had the highest emission peak among all evaluated sites, with 53.83 µg N2O m−2 h−1, but this value is low when compared to the average emission of N2O in studieslike that of Zhu, Liu, Xu, Ma, Zhao et al. (2008), who obtained values of approximately 180 µg N2O m−2 h−1 in soils where there were seabirds on Fildes Peninsula, which is less than 10 km from our study sites.

The daily N2O flux evaluated at the Deschampsia antarctica site during the analysis period coincided with a WFPS above 80%, suggesting conditions for denitrification. Similar results were found by Vieira et al. (2012). Among the sites in this study, this one had the highest temperature in the sampling period. Higher temperatures and soil moisture contribute to the processes of denitrification in the soil, thereby accentuating the loss of N by N2O (Sun et al. 2002), but even below freezing temperatures the microbial activity can lead to emission of the gas. Denitrification activation in soils at −2°C has been reported (Dorland & Beauchamp 1991; Müller et al. 2002).

The bare soil and Sanionia uncinata sites had N2O accumulated emissions close to zero, which was also observed in bare alluvium soil on an adjacent island, at Hennequin Point (Vieira et al. 2012). These two sites had N2O influx rates during two sampling events, while the lichen soil site had influx during one sampling day. Net N2O uptake, which occurs with conditions of low temperature, high soil moisture and low N content in soil, is not very common in non-polar soils (Sun et al. 2002; Zhu et al. 2005). The high solubility of N2O in water could mean that this molecule is a readily available electron acceptor in natural environments, and the reduction of N2O occurs when bacteria produce the enzyme N2O reductase in anaerobic conditions (McEwan et al. 1985). This reduction of N2O can be consumed by denitrification, and the rate of N2O uptake depends on soil properties, such as the availability of mineral N, soil oxygen and water content, soil temperature and the availability of labile organic C and N (Chapuis-Lardy et al. 2007). The S. uncinata and lichen soil sites showed the lowest soil temperatures, and the two mentioned areas had WFPS above 70% throughout the period of analysis, with low mineral N contents and, therefore, theoretically appropriate conditions for negative N2O fluxes.

The average fluxes of N2O in the ornithogenic soils (about 22 µg N2O m−2 h−1) reported here were over 10 times greater than at the bare soil site. However, the emission values in the ornithogenic soils were low when compared with values found on Fildes Peninsula, where the soils at seal colonies emitted an average of 189±204 µg N2O m−2 h−1, and were much lower than the soil with penguins activity, with an average of 856±940 µg N2O m−2 h−1 (Zhu, Liu, Xu, Ma, Zhao et al. 2008).

The CH4 flux rates in the period indicated the soils’ capacity to maintain a net uptake of this gas or, at most, a low emission rate, even in soils with large moisture and mineral nitrogen content. The accumulated CH4 emission was observed only at the P. crispa site. This site had the greatest giant petrel activity, as the size of the colony near the sampling chambers was larger than the colony close to the Deschampsia antarctica site. The P. crispa site had the highest concentration of mineral N, which is attributed to the deposition of fresh manure in the soil (Sun et al. 2002). There was a close relation (p<0.001) between the CH4 flux rates and the content of mineral N in the soil, particularly with . This indicates that the amount of in the soil probably inhibited the enzyme monooxygenase, hindering oxidation of CH4 (Boeckx et al. 1997; Hütsch 1998, 2001; Regina et al. 2007; Dalal et al. 2008). The CH4 fluxes observed in the soils influenced by petrels were relatively low compared with those observed by Sun et al. (2002), who documented an average flux rate of 227.97±212.9 µg CH4 m−2 h−1 in ornithogenic soils, and by Zhu, Liu, Xu, Ma, Gong et al. (2008), who reported an average of 23.97±7.7 µg CH4 m−2 h−1.

The bare soil site acted as a sink of CH4 throughout the sampling period, which was also observed by Vieira et al. (2012) in soils of Hennequin Point, King George Island. Aerated, non-degraded soils may act as CH4 sink because this gas can be oxidized to CO2 by biological activity or incorporated into microbial biomass (Hütsch 2001). During the study period, the bare soil site had a WFPS around 70%, which has been cited as a threshold value for aerobic condition; however, the methanotrophic activity persisted at the site. Khalil & Baggs (2005) have observed that optimal WFPS conditions for CH4 oxidation are around 45%; however, in their study was also found methanotrophic action in WFPS at 75%. In the present study, the oxidation can be attributed to the local coarse soil texture, with very low clay content in the soil profile, which imparts a high macroporosity, where even with high soil moisture there is sufficient aeration for the activity of aerobic microorganisms.

The temporal and spatial variation of CH4 fluxes during the study period was low and was independent of changes in soil temperature and moisture. This finding is inconsistent with those observed by Zhu et al. (2010) at two lakes on Millor Peninsula, where more variation was observed, ranging from −6.2 to 233.6 and −15.1 to 165.2 µg CH4 m−2 h−1, and these variation were related to the changes in water and air temperature.

Effects of TOC, POC and TN on accumulated fluxes of CH4 and N2O

TOC, POC and TN in the 0–10 cm soil layer were significantly correlated with CH4 accumulated fluxes. At the sites with largest TN stocks, the gas fluxes were closer to zero. The stocks of TOC and TN were greatest in the soil at the S. uncinata site. Soils under more developed vegetation, such as areas with continuous coverage of moss communities, present higher values of TOC and TN (Simas et al. 2007). However, ornithogenic soils have higher CH4 emissions compared to soils without the influence of birds (Sun et al. 2002). In the present study, this accumulated emission was observed at the P. crispa site, which had very low values that did not exceed 1.0 C–CH4 g ha−1, and the D. antarctica site behaved like a CH4 drain in the study period.

Like the P. crispa site, the D. antarctica site showed N2O accumulated emission levels higher than the other sites in this study. However, the values of the D. antarctica site were relatively low considering its proximity to giant petrel nests. The lower emission could be explained by the low TOC and POC stocks, with 35.8 and 7.3 Mg ha−1, respectively, and a TN of 6.3 Mg ha−1, which may be attributed to the physical soil characteristics of the site, such as the low content of clay (mean of 34 g kg−1 at the 0–40 cm depth), and the 25% slope at this site.

It is interesting to note that the effect of vegetation cover on soil TOC, POC and TN stocks was larger than the effect from bird activity in our study. The largest stocks were found in soils at the S. uncinata and lichen soil sites, where the bird activity was negligible, while the soils with ornithogenic influence had smaller values (Fig. 5). Comparing results from the bare soil site with the other sites shows that the effect of birds was larger for TN than for TOC and POC stocks. In other words, the vegetation cover and the bird activity play distinct roles for such stocks, as vegetation mainly increases the C content in the soil, while birds increase the N content, mainly as mineral N but also as total N (Figs. 3, 5).

Relative contribution of N2O and CH4 fluxes to partial Global Warming Potential

The partial Global Warming Potential estimated in this study indicated that N2O made the greatest contribution of the gases we evaluated (Fig. 4c). The soils at the lichen soil and P. crispa sites showed the greater contributions, followed by the D. antarctica site. The bare soil site showed a net absorption of gases, which agrees with observations at Hennequin Point (Vieira et al. 2012). Since uncovered soils represent a large percentage of area of the thaw soils in the maritime Antarctic, this result indicates that bare soils have a large mitigation potential for greenhouse gases from the atmosphere. The beneficial effects regarding the CH4 and N2O fluxes in such areas are enhanced by their potential for C sequestration if they experience future colonization and/or vegetal development. Specific studies are required to address the mitigating potential found in these soils.

Conclusions

In the region of the maritime Antarctic investigated in this study, sites in close proximity to bird nesting areas showed the highest emissions of N2O. At the study sites located further away from birds, the N2O emission was near to zero.

Net absorption of CH4 predominated in the study area. The bare soil site presented the greatest CH4 influx and the smallest N2O emission, suggesting that this kind of soil has the largest potential for mitigating greenhouse gases in the maritime Antarctic. The mechanism of the fluxes in areas of bare soils needs further study.

Daily CH4 fluxes were closely correlated with soil contents, while the accumulated CH4 flux was correlated with the TOC, POC and TN stocks in the 0–10 cm layer. Daily and accumulated N2O fluxes were not significantly related (p<0.05) with the soil and climate variables we considered.

Vegetation seemed to have a small influence on the content of mineral N in the soil, but affected the stocks of TOC and TN.

Acknowledgements

This work was supported by the Brazilian Antarctic Program through the Brazilian Council for Scientific and Technologic Development, Foundation of Research Support in Rio de Janeiro, Foundation of Research Support in Rio Grande do Sul, Ministry of Environment, Ministry of Science and Technology and Innovation and the Interministerial Commission for the Sea Resources, through the National Institute of Science and Technology—Antarctic Environmental Research.

References

Aislabie J.M., Jordan S. & Barker G.M. 2008. Relation between soil classification and bacterial diversity in soils of the Ross Sea region, Antarctica. Geoderma 144, 9–20. Publisher Full Text

Blake G.R. & Hartge K.H. 1986. Bulk density. In A. Klute (ed.): Methods of soil analysis. Part 1. Physical and mineralogical methods. Pp. 363–375. Madison, WI: American Society of Agronomy/Soil Science Society of America.

Boeckx P., Van Cleemput O. & Villaralvo I. 1997. Methane oxidation in soils with different textures and land use. Nutrient Cycling in Agroecosystems 49, 91–95. Publisher Full Text

Chapuis-Lardy L., Wrage N., Metay A., Chotte J.L. & Bernoux M. 2007. Soils, a sink for N2O? A review. Global Change Biology 13, 1–17. Publisher Full Text

Dalal R.C., Allen D.E., Livesley S.J. & Richards G. 2008. Magnitude and biophysical regulators of methane emission and consumption in the Australian agricultural, forest, and submerged landscapes: a review. Plant and Soil 309, 43–76. Publisher Full Text

Dorland S. & Beauchamp E.G. 1991. Denitrification and ammonification at low soil temperatures. Canadian Journal of Soil Science 71, 293–303. Publisher Full Text

Giacomini S.J., Jantalia C.P., Aita C., Urquiaga S.S. & Alves B.J.R. 2006. Emissão de óxido nitroso com a aplicação de dejetos líquidos de suínos em solo sob plantio direto. (Nitrous oxide emission from no-tilled soil amended with liquid pig manure.) Pesquisa Agropecuária Brasileira 41, 1653–1661. Publisher Full Text

Gomes J., Bayer C., do Souza Costa F., de Cássia Piccolo M., Zanatta J.A., Vieira F.C.B. & Six J. 2009. Soil nitrous oxide emissions in long-term cover crops-based rotations under subtropical climate. Soil and Tillage Research 106, 36–44. Publisher Full Text

Gregorich E.G., Hopkins D.W., Elberling B., Sparrow A.D., Novis P., Greenfield L.G. & Rochette P. 2006. Emission of CO2, CH4 and N2O from lakeshore soils in an Antarctic dry valley. Soil Biology & Biochemistry 38, 3120–3129. PubMed Abstract | PubMed Central Full Text | Publisher Full Text

Hütsch B.W. 1998. Review: methane oxidation in non-flooded soils as affected by crop production—invited paper. European Journal of Agronomy 14, 237–260.

Hütsch B.W. 2001. Methane oxidation in arable soil as inhibited by ammonium, nitrite, and organic manure with respect to soil pH. Biology and Fertility of Soils 28, 27–35. Publisher Full Text

Khalil M.I. & Baggs E.M. 2005. CH4 oxidation and N2O emissions at varied soil water-filled pore spaces and headspace CH4 concentrations. Soil Biology and Biochemistry 37, 1785–1794. Publisher Full Text

McEwan A.G., Greenfield A.J., Wetzstein H.G., Jackson J.B. & Ferguson S.J. 1985. Nitrous oxide reduction by members of the family Rhodospirillaceae and the nitrous oxide reductase of Rhodopseudomonas capsulate. Journal of Bacteriology 164, 823–830. PubMed Abstract | PubMed Central Full Text

Metz B., Davidson O.R., Bosch P.R., Dave R. & Meyer L.A. (eds.) 2007. Climate change 2007. Mitigation of climate change: Contribution of Working Group III to the fourth assessment report of the Intergovernmental Panel on Climate Change. Cambridge: Cambridge University Press.

Michel R.F.M., Schaefer C.E.G.R., Dias L.E., Simas F.N.B., de Melo Benites V. & de Sá Mendonça E. 2006. Ornithogenic gelisols (cryosols) from maritime Antarctica: pedogenesis, vegetation, and carbon studies. Soil Science Society of America 70, 1370–1376. Publisher Full Text

Mosier A.R. 1998. Soil processes and global change. Biology and Fertility of Soils 27, 221–229. Publisher Full Text

Mosier A.R., Valentine D.W., Bronson K. & Parton W.J. 1991. Methane and nitrous oxide fluxes in native, fertilized and cultivated grasslands. Nature 350, 330–332. Publisher Full Text

Müller C., Martin M., Stevens R.J., Laughlin R.J., Kammann C., Ottow J.C.G. & Jäger H.J. 2002. Processes leading to N2O emissions in grassland soil during freezing and thawing. Soil Biology and Biochemistry 34, 1325–1331. Publisher Full Text

Park J.H., Day T.A., Strauss E.S. & Ruhland C.T. 2007. Biogeochemical pools and fluxes of carbon and nitrogen in a maritime tundra near penguin colonies along the Antarctic Peninsula. Polar Biology 30, 199–207. Publisher Full Text

Putzke J., Pereira A.B. & Putzke M.T.L. 1998. Moss communities of Rip Point in northern Nelson Island, South Shetland Islands, Antarctica. Pesquisa Antártica Brasileira 3, 103–115.

Regina K., Pihlatie M., Esala M. & Alakukku L. 2007. Methane fluxes on boreal arable soils. Agriculture, Ecosystems and Environment 119, 346–352. Publisher Full Text

Shaver G.R., Canadell J., Chapin F.S, III, Gurevitch J., Harte J., Henry G., Ineson P., Jonasson S., Melillo J., Pitelka L. & Rustad L. 2000. Global warming and terrestrial ecosystems: a conceptual framework for analysis. BioScience 50, 871–882.

Simas F.N.B., Schaefer C.E.G.R., Albuquerque Filho M.R., Francelino M.R., Fernandes Filho E.I. & da Costa L.M. 2008. Genesis, properties and classification of cryosols from Admiralty Bay, maritime Antarctica. Geoderma 144, 116–122. Publisher Full Text

Simas F.N.B., Schaefer C.E.G.R., Mendonça E.S., Silva I.R., Santana R.M. & Ribeiro A.S.S. 2007. Organic carbon stocks in permafrost-affected soils from Admiralty Bay, Antarctica. USGS OF-2007-1047. Short Research Paper 076. Reston, VA: US Geological Survey/The National Academies.

Sun L., Zhu R., Xie Z. & Xing G. 2002. Emissions of nitrous oxide and methane from Antarctic tundra: role of penguin dropping deposition. Atmospheric Environment 36, 4977–4982. Publisher Full Text

Tedesco M.J., Gianello C. & Bissani C.A. 1995. Análise de solo, plantas e outros materiais. (Analysis of soil, plant and other materials.) 2nd edn. Porto Alegre, Brazil: Federal University of Rio Grande do Sul.

Ugolini F.C. & Bockheim J.G. 2008. Antarctic soils and soil formation in a changing environment: a review. Geoderma 144, 1–8. Publisher Full Text

Vaughan D.G., Marshall G.J., Connolley W.M., King J.C. & Mulvaney R.M. 2001. Perspectives: climate change: devil in the detail. Science 293, 1777–1779. PubMed Abstract | Publisher Full Text

Vieira F.C.B., Bayer C., Zanatta J.A., Dieckow J., Mielniczuk J. & He Z.L. 2007. Carbon management index based on physical fractionation of soil organic matter in a acrisol under long-term no-till cropping systems. Soil & Tillage Research 96, 195–204. PubMed Abstract | PubMed Central Full Text | Publisher Full Text

Vieira F.C.B., Pereira A.B., Bayer C., Schünemann A.L., Victoria F.C., Albuquerque M.P. & Oliveira C.S. 2012. In situ methane and nitrous oxide fluxes in soil from a transect in Hennequin Point, King George Island, Antarctic. Chemosphere 90, 497–504. PubMed Abstract | Publisher Full Text

Zhu R., Liu Y., Ma J., Xu H. & Sun L. 2008. Nitrous oxide flux to the atmosphere from two coastal tundra wetlands in eastern Antarctica. Atmospheric Environment 42, 2437–2447. Publisher Full Text

Zhu R., Liu Y., Sun L. & Xu H. 2007. Methane emissions from two tundra wetlands in eastern Antarctica. Atmospheric Environment 41, 4711–4722. Publisher Full Text

Zhu R., Liu Y., Xu H., Huang T., Sun J., Ma E. & Sun L. 2010. Carbon dioxide and methane fluxes in the littoral zones of two lakes, east Antarctica. Atmospheric Environment 44, 304–311. Publisher Full Text

Zhu R., Liu Y., Xu H., Ma J., Gong Z. & Zhao S. 2008. Methane emissions from three sea animal colonies in the maritime Antarctic. Atmospheric Environment 42, 1197–1205. Publisher Full Text

Zhu R., Liu Y., Xu H., Ma J., Zhao S. & Sun L. 2008. Nitrous oxide emissions from sea animal colonies in the maritime Antarctic. Geophysical Research Letters 35, L09807, doi: 10.1029/2007GL032541. Publisher Full Text

Zhu R. & Sun L. 2005. Methane fluxes from tundra soils and snowpack in the maritime Antarctic. Chemosphere 59, 1583–1593. PubMed Abstract | Publisher Full Text

Zhu R., Sun L. & Ding W. 2005. Nitrous oxide emissions from tundra soil and snowpack in the maritime Antarctic. Chemosphere 59, 1667–1675. PubMed Abstract | Publisher Full Text