RESEARCH/REVIEW ARTICLE

Algal biomass and pigments along a latitudinal gradient in Victoria Land lakes, East Antarctica

Francesca Borghini, Andrea Colacevich, Tancredi Caruso & Roberto Bargagli

Department of Physical, Earth and Environmental Sciences, University of Siena, Via P.A. Mattioli, 4, IT-53100 Siena, Italy

Abstract

It is generally accepted that Antarctic terrestrial diversity decreases as latitude increases, but latitudinal patterns of several organisms are not always as clear as expected. The Victoria Land region is rich in lakes and ponds and spans 8 degrees of latitude that encompasses gradients in factors such as solar radiation, temperature, ice cover and day length. An understanding of the links between latitudinally driven environmental and biodiversity changes is essential to the understanding of the ecology and evolution of Antarctic biota and the formulation of hypotheses about likely future changes in biodiversity. As several studies have demonstrated that photosynthetic pigments are an excellent, although underused, tool for the study of lacustrine algal communities, the aim of the present study was to investigate variations in algal biomass and biodiversity across the latitudinal gradient of Victoria Land using sedimentary pigments. We test the hypothesis that the biodiversity of freshwater environments decreases as latitude increases. On the basis of our results, we propose using the number of sedimentary pigments as a proxy for algal diversity and the sum of chlorophyll a and bacteriochlorophyll a with their degradation derivatives as an index of biomass. Overall, our data show that biomass and diversity decrease as latitude increases but local environmental conditions, in particular, natural levels of eutrophy, can affect both productivity and diversity.

Keywords
Biodiversity; photosynthetic pigments; proxy; continental Antarctica; sediments; biogeography.

Citation: Polar Research 2016, 35, 20703, http://dx.doi.org/10.3402/polar.v35.20703

Copyright: © 2016 F. Borghini et al. This is an Open Access article distributed under the terms of the Creative Commons Attribution-NonCommercial 4.0 International License, permitting all non-commercial use, distribution, and reproduction in any medium, provided the original work is properly cited.

Published: 13 May 2016

Correspondence to: Francesca Borghini, Department of Physical, Earth and Environmental Sciences, University of Siena, Via P.A. Mattioli, 4, IT-53100 Siena, Italy. E-mail: borghini@unisi.it

To access the supplementary material for this article, please see the supplementary files under Article Tools, online.

 

According to general ecological principles, biodiversity decreases with latitude as an effect of the harshening of climate: the more extreme the environment in terms of temperature, water availability and feeding resources, the less the terrestrial communities are diverse in terms of species richness and taxonomic composition. Despite the recognition of latitudinal diversity gradients (Hillebrand 2004), the effect of latitude on biodiversity is mostly known for a very limited number of taxonomic groups, regions and ecosystems. A good example of well-studied cases is vertebrates from terrestrial or marine ecosystems in the Northern Hemisphere. However, diversity gradients for the Northern Hemisphere seem not to apply to the Southern Hemisphere (Boyero 2002; Vyverman et al. 2007).

The determinant of biological diversity is not latitude per se but environmental conditions, which vary with latitude. More than 25 different mechanisms, not mutually exclusive, have been suggested as generating latitudinal diversity gradients, including the history of perturbations, environmental stability, habitat heterogeneity and interspecific interactions, but no consensus has been reached yet (Gaston 2000). A recent study concludes that climatic and productivity-related variables tend to be the strongest correlates of species richness (Field et al. 2009).

Across Antarctica, many environmental stresses are severe compared to lower latitudes (Convey 1996), biodiversity is generally low and ecosystems are simple. Several studies showed that many floral and faunal taxa, including higher plants, algae, lichens, protozoa and arthropods, become less diverse at higher latitude (Smith 1992; Broady 1996; Wynn-Williams 1996). However, even if it is generally accepted that Antarctic terrestrial diversity decreases as latitude (and stresses) increases (Broady 1996; Smith 1996), the latitudinal patterns are not always so clear.

Abbreviations in this article

Bchl a: bacteriochlorophyll a

chl a: chlorophyll a

HPLC: high performance liquid chromatography

PCA: principal component analysis

TN: total nitrogen

TOC: total organic carbon

TP: total phosphorus

In a study conducted along a transect from 54° S (sub-Antarctic) to 82° S (continental Antarctica), the highest molecular diversity of cyanobacteria was found in the areas located between 70° S and 80° S, whereas further south and further north from this zone the diversity decreased (Namsaraev et al. 2010). Only limited support was obtained for a systematic decrease in eukaryotic (primarily fungi, algae and protists) diversity with latitude (Lawley et al. 2004; Petz et al. 2007), that is, when the comparisons were made between maritime and continental Antarctic sites, whereas there was no evidence for a trend of decreasing diversity across the entire range of the maritime Antarctic. Similar findings were also reported for tardigrades and rotifers (Sohlenius & Boström 2005) and plants (Peat et al. 2007). In the latter study, a diversity gradient was found along the Antarctic Peninsula, but no such gradient was apparent through Victoria Land and the Transantarctic Mountains. The gradient along the Antarctic Peninsula was clearer for lichens than for mosses, and the cline was driven by an increasing number of species lost from the assemblage with increasing latitude rather than by taxonomically different assemblages being found at different latitudes. Moreover, most studies are generally limited to the maritime Antarctic and are restricted to measuring macrophyte and animal diversity. Relatively little is known about microbial diversity, and just a few investigations of diatoms (Maidana et al. 2005) and bacterioplankton (Schiaffino et al. 2011) were recently conducted on lacustrine ecosystems across a Patagonian–maritime Antarctic transect: a decrease of diatom richness and total bacterioplankton abundance with increasing latitude was observed.

Nowadays, major research efforts on the continent focus on understanding how abiotic variables influence the abundance, richness and fitness of terrestrial animal and vegetation populations, with projects such as the Latitudinal Gradient Project assessing how biodiversity and structure may change with latitude and with climate change. In Victoria Land, which starts at the Darwin Glacier (79° S) in the south to Cape Adare (71° S) in the north, there is a network for monitoring change in vegetation communities to estimate ties with climate change (Cannone 2006). The Victoria Land latitudinal range corresponds to a gradient in factors such as solar radiation, temperature, ice cover and day length, which would be expected to underlie differences in biodiversity (Peterson & Howard-Williams 2000). An understanding of the links between latitudinally driven environmental and biodiversity changes is essential to our understanding of the ecology and evolution of Antarctic biota and the formulation of hypotheses about likely future changes in biodiversity.

Increasing over the last 40 years, limnological research in this region has focused on the study of physical, chemical and biological processes, on the characterization of biotic communities and the basic interactions driving the functioning of aquatic ecosystems (Bergstrom et al. 2006). Surprisingly, only a few areas of Victoria Land have been closely investigated, such as McMurdo Sound in southern Victoria Land (e.g., Simmons et al. 1993; Vincent et al. 1993; Vincent & Quesada 1994; Hawes & Schwarz 1999; Nadeau et al. 1999; Taton et al. 2006; Vopel & Hawes 2006). Limnological studies in the rest of Victoria Land have been conducted at only a few sites (Guilizzoni et al. 1989; Fanzutti et al. 1989; Guilizzoni et al. 1992; Libera 1993; Baudo et al. 2000). More recently, information regarding the physicochemical characteristics of lacustrine waters and sediments has been reported by Borghini & Bargagli (2004), Borghini et al. (2008) and Malandrino et al. (2009). These studies showed high diversity in physical, chemical and biological features of lacustrine ecosystems in this region.

Several studies (Hodgson et al. 2004; Hodgson et al. 2006; Lami et al. 2009; Borghini et al. 2011; Fernandez-Carazo et al. 2013) have demonstrated that photosynthetic pigments are an excellent tool for the study of lacustrine algal communities. However, a challenge in the study of most Antarctic lakes is that they show large variations in physicochemical and biological characteristics during spring and summer (Borghini & Bargagli 2004), implying that reliable evaluations of phytoplankton composition and biomass would require repeated sampling, which the logistical and environmental constraints of Antarctic fieldwork make difficult.

The aim of the present study was to investigate variations in algal biomass and biodiversity across the latitudinal gradient of Victoria Land using sedimentary pigments. The starting point of this study is that sedimentary pigments integrate temporal information since sediments are the main sinks for solutes and particulate materials from the lacustrine catchment. Moreover, phytoplankton often represent less than 2% of total photosynthetic biomass in polar lakes, and most of the primary production is confined to the phytobenthos (Bonilla et al. 2005; Rautio et al. 2011). Overall, lacustrine sediments serve as temporal and spatial indicators of the entire catchment and are very useful as sentinel systems of environmental and climatic changes (Quayle et al. 2002; Vincent & Laybourn-Parry 2008; Leavitt et al. 2009).

The total number of pigments was used as an index of diversity, while the sum of chl a and Bchl a, with their degradation derivatives, was utilized as biomass index. It should be noted that the use of chl a as an estimate for biomass growth has several limitations as chl a concentrations per cell may vary in relation to light acclimation, nutrient availability and other physiological conditions (Anning et al. 2000; Kasprzak et al. 2008). However, chl a is often used in ecological studies as a common proxy for biomass dynamics (Lizotte 2008). Total chl a is often used as a proxy of primary productivity as well (Falkowski & Raven 1997), assuming that the rate of carbon fixation is positively correlated with the chl a concentration. As rates of pigment degradation can differ greatly among pigments and between lakes with different biotic, physical and environmental features (e.g., Leavitt & Hodgson 2001), like those of the present study, the sum of chl a, Bchl a and their degradation derivatives was chosen as biomass index, instead of chl a alone, in order to integrate possible differences.

Materials and methods

We sampled 48 lakes and ponds, located in 18 ice-free areas, with different lithological features and at different latitudes (spanning about 5 degrees) and altitudes, from Kar Plateau (76.91° S, 162.54° E) to Helm Point (72.13° S, 170.15° E). Most of the lakes are proglacial and located in rocky catchments with poorly developed soils. They lack outlets, are shallow (maximum depth about 5 m) and have different surface areas (from 10 to 28 630 m2, Supplementary Table S1). Study areas and sampling sites are shown in Fig. 1, and details of sampling sites and methods have been provided elsewhere (Borghini et al. 2011). Briefly, surface sediments (1 cm) at a fixed water depth of 20 cm, free of microbial mats, were collected in different points of the littoral zone using a hand corer. The physicochemical features of the water bodies were reported by Borghini et al. (2008), and sediment TOC, TN and TP by Borghini et al. (2011). These parameters are summarized in Supplementary Table S2, along with the lake ice cover and bird presence, estimated during the sampling. Sedimentary pigments were determined by HPLC coupled with a photodiode array and a mass spectrometer following the extraction and analytical methods of Borghini et al. (2011). Fresh sediments were extracted with acetone 90%, utilizing a vortex and a sonicator at low temperature. Throughout the extraction procedure, samples were protected from light and high temperature. Liquid chromatography–mass spectrometry analysis was performed using a Thermo system comprising a Finnigan Surveyor autosampler, MS Pump and LTQ. Pigments were detected at their maximum wavelength and at their characteristic m/z. Peaks were identified by their absorption and characteristic MH+ and MS2 spectra and their elution order by comparing with literature data (e.g., Rozema et al. 2002; Whitehead & Hedges 2002; Yuan et al. 2009). Their concentrations were determined by comparing HPLC peak areas with those of standard solutions prepared with commercially available purified pigments from the International Agency for 14C Determination, Water Quality Institute, in Hørsholm, Denmark (pheophytin a, pheophorbide a, chlorophyllide a, chl c2, chl c3, divinyl chl a, lutein, peridinin, fucoxanthin, violaxanthin, canthaxanthin, zeaxanthin, alloxanthin, neoxanthin, 19’-butanohyloxyfucoxanthin, echinenone, prasinoxanthin, antheraxanthin, diadinoxanthin, 19’-hexanoyloxyfucoxanthin, lycopene, myxoxanthophyll) and from Sigma Aldrich (chl a and b, β,ɛ- and β,β-carotene). Concentrations of those molecules for which no standard was available were estimated from peak area, assuming specific extinction coefficients for each compound obtained from the literature (Hurley & Watras 1991; Villanueva et al. 1994; Jeffrey et al. 1997). Where extinction coefficients were not reported or where no structurally or spectrally similar pigments, the coefficient of β-carotene was used (Jeffrey et al. 1997).

Fig 1
Fig. 1  Study area and sampling sites. (Modified from the Antarctic Digital Database [www.add.scar.org/home/add7] for the coastline and the Antarctic Geospatial Information Center, National Science Foundation, for the ground digital model.)

Results are expressed as ng g−1 TOC because this unit of measurement most accurately captures variations in algal abundance and community composition (Leavitt et al.1997).

Data analysis

Prior to multivariate analyses, data and all environmental variables (except pH, ice cover and bird presence, which was estimated in percentage), latitude and longitude were log-transformed to reduce or remove skewness in the data. Major patterns of variation in the environmental data were explored using PCA, with centring and standardization of the variables.

The effects of latitude and environmental variables on the pigment diversity and biomass between sites were investigated also using redundancy analysis. Redundancy analysis was performed including both geographic and environmental variables as explanatory variables. The contribution of both environmental variables and geographical (latitude, longitude and distance from the sea) factors in structuring the pigment biomass and diversity was assessed through the use of variance partitioning (Borcard et al. 1992). The variance explained by each of these groups allows us to determine the amount of variance in the pigment data that is explained by the environmental data alone, the spatial data alone, by environmental data that is spatially structured, as well as the amount of unexplained variance (Borcard et al. 1992).

Results

A total of 132 compounds were detected in lacustrine superficial sediments of Victoria Land as reported in Borghini et al. (2011).

Pigment indices were correlated by simple ordinary least square linear regression with latitude in order to reveal how key community features such as biomass and diversity may vary with latitudinal environmental gradients. The correlations of these two indices with the latitude were statistically significant and showed a negative slope (respectively R=−0.53 and R=−0.65; P<0.01; Figs. 2, 3). The correlation between biomass and latitude was confirmed using the sum of carotenoids and the chl a as indicators of algal biomass. However, a large part of the data variation remained unexplained by latitude, suggesting that other factors affect the two community indices. These results were similar when the analysis was performed without including the derivative forms of pigments and the unidentified compounds and considering just the identified marker pigments (chl a, chl b, scytonemins, fucoxanthin, violaxanthin, canthaxanthin, zeaxanthin echinenone, lutein, β,ɛ- and β,β-carotene, myxoxanthophyll, neoxanthin, Bchl a; Fig. 4).

Fig 2
Fig. 2  Biomass (sum of chl a, Bchl a and their degradation products, in µg g−1 TOC) versus latitude south.

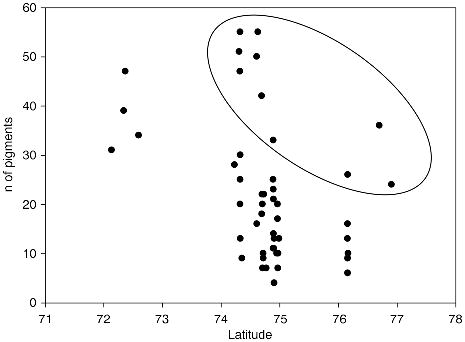
Fig 3
Fig. 3  Total number of pigments versus latitude south. The circle highlights lakes with high nutrient concentrations.

Fig 4
Fig. 4  Total number of identified marker pigments (chl a, chl b, scytonemins, fucoxanthin, violaxanthin, canthaxanthin, zeaxanthin echinenone, lutein, β,ɛ- and β,β-carotene, myxoxanthophyll, neoxanthin, Bchl a) versus latitude south.

The algal diversity also showed an increasing (statistically significant P<0.01, R=0.7) relationship with biomass (Fig. 5).

Fig 5
Fig. 5  Species richness (as number of pigments) as function of biomass/productivity (sum of chl a, Bchl a and their degradation products, in µg g−1 TOC).

The correlation analyses were also conducted using water and sediment nutrients: TN and TP in the water, TOC and TN in the sediments (Borghini et al. 2011) as indicators of the trophic status of the lakes, in view of the usefulness of a multidisciplinary approach. The correlations of latitude with these parameters were statistically significant (P<0.05, R=−0.6) and showed a negative slope.

Because the two pigment-based indices correlated negatively and significantly (P<0.01) with distance from the sea and with altitude, in order to better investigate the relationship with latitude the analysis was repeated selecting just the coastal lakes—within 1000 m of the sea—which were at about the same altitude (the lakes further inland were at a higher altitude). Both diversity and biomass indices continued to be significantly (P<0.01) and negatively correlated with latitude, whereas the correlation between the water and sediment nutrients and latitude was negative but not significant when considering coastal sites.

PCA identified a subset of environmental variables that had a significant influence on pigment diversity and biomass. PCA revealed that the main environmental gradient (first ordination axis) is associated with sedimentary TN and bird presence. The second PCA axis includes gradients associated with lake latitude, longitude and water conductivity (Fig. 6). Together, the first two axes capture 45.6% of the total variance. In general, even if no clear cluster is present, it is possible to identify the following groups: (1) Edmonson Point, Lake 13 (code 39), characterized by a 50% ice cover and a big penguin colony around its shores; (2) lakes at 72° latitude (codes 47, 48, 49 and 50), with a partial or total ice cover and with no or few birds; and (3) Penguin Lagoon (19) and Lagoon (25) at Inexpressible Island, Lake E (44) at Edmonson Point, Lake B (38) at Gondwana, and the lake of Depot Island. All these lakes were without ice cover and with birds.

Fig 6
Fig. 6  PCA of (a) physical and (b) chemical characteristics of lakes. Individual ion concentrations were omitted from analysis as all are significantly correlated with conductivity. TNs is sedimentary TN. Supplementary Table S3 provides the identification codes of the lakes.

Redundancy analyses indicated that pigment diversity and biomass were associated with geography (latitude, longitude and distance from the sea), sediment chemistry (TN and TOC) and pH (Fig. 7). The permutation test performed on all eigenvalues indicated that the above explanatory variables accounted for a significant (999 permutations, P<0.01) portion of pigment distribution variations.

Fig 7
Fig. 7  Biplot resulting from the redundancy analysis.

Employing the two subsets of environmental and spatial variables, we used variance partitioning (Borcard et al. 1992) to separate the amount of variance in the pigment data each group could explain. Spatial and environmental variables together could account for 67.2% of the variation in pigment diversity and biomass within our study lakes. Environmental variation alone accounted for 50.9% of the variation, pure geographical variation accounted for 11.1% and the joint effect of geography and environment accounted for 38%. Neither the spatial nor the environmental variables considered in the analysis could explain 32.8% of the variation in pigment diversity and biomass.

A classical microscopy-based approach to the diversity of algal species in the same lakes in Victoria Land was carried out using the ANTADATA database (Fumanti & Cavacini 2005). Examining the data in ANTADATA from the limited number of lakes in the present study that have also been investigated in previous studies shows a general increase in species number from Granite Harbour (11 species, near Kar Plateau) to Inexpressible Island (30 species), Northern Foothills (28 species), Gondwana (35 species) and Edmonson Point (49 species).

Discussion

This study shows that algal biomass and diversity measured by sedimentary lacustrine pigments decrease with increasing latitude, though the effect of environmental variations corresponding to latitude seems to be mediated by local physical and biological conditions. Multiple regression models are necessary for a deeper understanding of data variations. For instance, the small Pond E at Edmonson Point (Fig. 2) was frequented by skuas that caused eutrophic conditions, explaining this pond’s outlier results. Likewise, points within the circle in Fig. 3 (Lake 14 and Lake 15 at Edmonson Point, Gondwana lakes, Lago Pantano, Lagoon at Inexpressible Island, Pozza Eneide, Depot Island, and Kar Plateau lakes and Lake F at Mt. Murray) had more nutrients than those located at similar latitudes, which may weaken the results from the classical univariate regression. However, even considering the high level of data variance, the negative relationship with latitude seems to be well supported.

This is in accordance with previous studies conducted along latitudinal gradients in Antarctica. Eukaryotic organisms recovered in Antarctic soils were influenced by the environmental conditions at each site (Lawley et al. 2004), and although bacterial diversity declined with increasing latitude, habitat-specific patterns appeared to be important with complex interactions between location, vegetation- and weather-related variables (Yergeau, Bokhurst et al. 2007; Yergeau, Newsham et al. 2007). The bacterioplankton composition in a latitudinal gradient of lakes from Argentinean Patagonia to maritime Antarctica was controlled by a combination of spatial (latitude and longitude) and environmental (e.g., phosphate) factors (Schiaffino et al. 2011). Local diversity generally relates to regional diversity, but local interactions may modify diversity at the community level (Stevens & Willing 2002).

Likewise, in a study recently conducted in the United States (Stomp et al. 2011), the species diversity of freshwater phytoplankton sampled from 540 lakes and reservoirs displayed strong biogeographical variation. Data analysis indicates that these large-scale biodiversity gradients were largely mediated by geographic variation in local environmental factors such as lake productivity (chl a concentration), lake area, lake depth and water temperature. Among all of the variables included in this study, chl a had the largest effect on phytoplankton biodiversity. Moreover, either a saturating or unimodal productivity diversity relationship was found, as documented in many other studies of terrestrial, marine and freshwater biodiversity (e.g., Dodson et al. 2000).

Lake morphology and conductivity have previously been shown to strongly influence the microbial mat structure and composition in the Larsemann Hills region (Sabbe et al. 2004), Bølingen Islands (Sabbe et al. 2004) and Rauer Islands (Hodgson et al. 2001). In particular, lake water depth was the most important variable explaining pigment composition of the microbial mats, along with turbidity, presumably on account of their impact on the light climate. Other variables (such as conductivity and oxygen) were also significant. The influence of conductivity on pigment composition may be related to changes in species composition (Hodgson et al. 2004).

Villaescusa et al. (2010) showed that the trophic status of the lakes of Byers Peninsula mediates both the abundance and the composition of bacterioplankton assemblages. Trophic status, in turn, is regulated both by external inputs from marine fauna and lake morphometry, ice and sediment dynamics. In the lakes of Victoria Land not only does the trophic status differ between lakes of the same zone but so does the ice cover (Supplementary Table S2). A study conducted to evaluate the effects on ecosystem structure of ice loss on several meromictic lakes along the northern coastline of Ellesmere Island showed that chl a concentrations and the relative importance of phytoplankton groups, estimated by photosynthetic marker pigments and microscopy, differed among the studied lakes during the open-water period, implying lake-specific differences in phytoplankton community structure under ice-free conditions. These differences are likely the result of the interplay of many factors including seasonal and interannual variation, catchment and local climatic characteristics, species colonization, nutrient supply and trophic interactions (Veillette et al. 2010).

A local community is assembled from a regional pool of species, the size and structure of which are influenced by regional processes, including the effects of the geophysical properties of the region, and broad-scale ecological or evolutionary processes such as species migration, invasions and speciation. Biogeographical variability is also introduced by differences in historical processes (Stevens 2006), for example, how long the bare ground has been exposed to colonization following glacial retreat or changes in sea level. At the last glacial maximum, most present ice-free areas were probably almost entirely ice-covered. Following glacial retreat, algal communities would have developed from viable propagules deposited on newly exposed substrata, predominantly through long-distance dispersal with wind as a fundamental vector (Muñoz et al. 2004). Favourable movement of air masses from north to south does occur (Wynn-Williams 1996). Evidence of these transport propagules is provided, for example, by the rare occurrence of exotic mosses in cultures of maritime Antarctic soils. However, the wind direction in Victoria Land is generally from south/south-east (Monaghan et al. 2005), with very high speeds recorded during winter, hindering the dispersal of organisms in a southward direction across Victoria Land. Microorganisms may be transported into and around Antarctica via air (Marshall 1996), ocean currents (Murray et al.1999) and animals (Broady & Smith 1994). Others might have derived from refugia within Antarctica and rock exposures that remained ice-free throughout the Pleistocene glaciations, for instance, areas of southern Victoria Land Dry Valleys (Stevens & Hogg 2003). Palaeolimnological data have demonstrated that some coastal oases of East Antarctica hosted terrestrial or freshwater faunas for up to 150 000 years (Hodgson et al. 2001).

The timing and extent of resource availability (e.g., nutrients and colonizable space) differ across terrestrial habitats, and these differences influence organisms. Thus, there are dramatic differences between organisms living a few tens of metres apart (Peck et al. 2006).

The ice-free areas in Antarctica have different sizes, are widely dispersed and can be considered islands surrounded by large areas of uninhabitable environment. Like islands, the ice-free areas have peculiar characteristics in terms of isolation and abiotic factors, so differences in assemblage between the ice-free areas are expected either in relation to isolation [the distance of separation could be considered as a surrogate of dispersal rate (Conrad et al. 1999)] and size of ice-free areas or because of intrinsic differences in the relevant processes operating in the different sites. In one study, the size of the nunatak and oasis influenced the abundance and taxonomic composition of microfauna in East Antarctica (Sohlenius & Boström 2005). The findings of Vyverman et al. (2007) suggest that historical processes constrain global patterns in regional and local diatom diversity, consistent with the theory of island biogeography and metacommunity concepts and probably underlying the endemism observed in the diatom floras in the Southern Hemisphere. The results of Vyverman et al. showed that there are latitudinal gradients in local and regional genus richness in the Southern Hemisphere. Patterns at a regional scale were explained by the degree of isolation of lake districts: the number of locally coexisting diatoms was constrained by the size of the regional diatom pool, habitat availability and the connectivity between habitats within lake districts.

As inland water bodies can be considered to be islands within a sea of land (Reche et al. 2005) and lakes also show a patchy distribution likely to generate dispersal constraints (Barbèran & Casamayor 2010), the strong structure we observed in the biogeographic patterns of Victoria Land lacustrine biota may be the norm in Antarctica.

Conclusions

Freshwater biomass and diversity measured by sedimentary lacustrine pigments decrease at increasing latitude. The outliers in the regression analysis and PCA indicate that the local environmental conditions could dramatically affect both biomass and diversity. The present study confirms that lakes are ideal sentinel ecosystems of environmental conditions. Moreover, since spatial (latitude and longitude) gradients are surrogates for temporal changes and can link temporal changes to climate, the study indicates that lakes are early and good indicators of environmental and climatic changes. The chemical approach based on pigment determination is relatively simple and rapid for preliminary studies at large spatial scales. Further investigations involving also phytoplankton and more detailed taxonomic approaches are necessary to validate pigment indices in the future.

References

Anning T., MacIntyre H.L., Pratt S.M., Sammes P.J., Gibb S. & Geider R.J. 2000. Photoacclimatation in the marine diatom Skeletonema costatum. Limnology & Oceanography 45, 1807–1817.

Barbèran A. & Casamayor E.O. 2010. Global phylogenetic community structure and β-diversity patterns in surface bacterioplankton metacommunities. Aquatic Microbial Ecology 59, 1–10.

Baudo R., Barbero P., Beltrami M. & Rossi D. 2000. Chemical composition of the sediment from Lake 20 (Antarctica). Journal of Limnology 59, 55–60. Publisher Full Text

Bergstrom D.M, Convey P. & Huiskes A.H.L. 2006. Trends in Antarctic terrestrial and limnetic ecosystems. Antarctica as global indicator. Dordrecht: Springer.

Bonilla S., Villeneuve V. & Vincent W.F. 2005. Benthic and planktonic algal communities in a High Arctic lake: pigment structure and contrasting responses to nutrient enrichment. Journal of Phycology 41, 1120–1130. Publisher Full Text

Borcard D., Legendre P. & Drapeau P. 1992. Partialling out the spatial component of ecological variation. Ecology 73, 1045–1055. Publisher Full Text

Borghini F. & Bargagli R. 2004. Changes of major ion concentrations in melting snow and terrestrial waters from northern Victoria Land, Antarctica. Antarctic Science 16, 107–115. Publisher Full Text

Borghini F., Colacevich A., Caruso T. & Bargagli R. 2008. Temporal variation in the water chemistry of northern Victoria Land lakes (Antarctica). Aquatic Sciences 70, 134–141. Publisher Full Text

Borghini F., Colacevich A., Caruso T. & Bargagli R. 2011. An update on sedimentary pigments in Victoria Land lakes (East Antarctica). Arctic, Antarctic and Alpine Research 43, 22–34. Publisher Full Text

Boyero L. 2002. Insect biodiversity in freshwater ecosystems: is there any latitudinal gradient? Marine and Freshwater Research 53, 753–755. Publisher Full Text

Broady P.A. 1996. Diversity, distribution and dispersal of Antarctic terrestrial algae. Biodiversity and Conservation 5, 1307–1335. Publisher Full Text

Broady P.A. & Smith R.A. 1994. A preliminary investigation of the diversity, survivability and dispersal of algae introduced into Antarctica by human activity. Proceedings of NIPR Symposium on Polar Biology 7, 185–197.

Cannone N. 2006. A network for monitoring terrestrial ecosystems along a latitudinal gradient in Continental Antarctica. Antarctic Sciences 18, 549–560. Publisher Full Text

Conrad K.F., Willson K.H., Harvey I.F., Thomas C.J. & Sherratt T.N. 1999. Dispersal characteristics of seven odonate species in an agricultural landscape. Ecography 22, 524–531. Publisher Full Text

Convey P. 1996. The influence of environmental characteristics on life history attributes of Antarctic terrestrial biota. Biological Reviews 71, 191–225. Publisher Full Text

Dodson S.I., Arnott S.E. & Cottingham K.L. 2000. The relationship in lake communities between primary productivity and species richness. Ecology 81, 2662–2679. Publisher Full Text

Falkowski P.G. & Raven J.A. 1997. Aquatic photosynthesis. Malden, MA: Blackwell Science.

Fanzutti G.P., Finocchiaro F., Simeoni U., Stefanini S. & Taviani M. 1989. Reconnaissance of some small lakes near the coast of northern Victoria Land (Antarctica): hydrobiological and sedimentological aspects. Bollettino di Oceanologia Teorica e Applicata 7, 17–24.

Fernandez-Carazo R., Verleyen E., Hodgson D.A., Roberts S.J., Waleron K., Vyverman W. & Wilmotte A. 2013. Late Holocene changes in cyanobacterial community structure in maritime Antarctic lakes. Journal of Paleolimnology 50, 15–31. Publisher Full Text

Field R., Hawkins B.A., Cornell H.V., Currie D.J., Diniz-Filho A.F., Guègan J., Kaufman D.M., Kerr J.T., Mittlebach G.G., Oberdorf T., O’Brien E.M. & Turner J.R. 2009. Spatial species-richness gradients across scales: meta-analysis. Journal of Biogeography 36, 132–147. Publisher Full Text

Fumanti B. & Cavacini P. 2005. ANTADATA: a database on biogeography of non-marine algae in continental Antarctica. CD-ROM. Rome: Sapienza University of Rome.

Gaston K.J. 2000. Global patterns in biodiversity. Nature 405, 220–227. PubMed Abstract | Publisher Full Text

Guilizzoni P., Libera V., Manca M., Mosello R., Ruggiu D. & Tartari G. 1992. Preliminary results of limnological research in Terra Nova Bay area (Antarctica). In R. Mosello et al. (eds.): Limnology on groups of remote lakes: ongoing and planned activities. Pp. 107–120. Verbania Pallanza: Italian Institute of Hydrobiology.

Guilizzoni P., Libera V., Tartari G., Mosello R., Ruggiu D., Manca M., Nocentini A., Contesini M., Panzani P. & Beltrami M. 1989. Indagine per una caratterizzazione limnologica di ambienti lacustri antartici. (Survey of limnological characteristics of Antarctic lake environments.) In B. Battaglia et al. (eds.): Atti del I Convegno di Biologia Antartica. (Proceedings of the first meeting on Antarctic biology.) Pp. 377–408. Padua: Edizioni Universitarie Patavine.

Hawes I. & Schwarz A.M. 1999. Photosynthesis in an extreme shade environment: benthic microbial mats from lake Hoare, a permanently ice-covered Antarctic lake. Journal of Phycology 35, 448–459. Publisher Full Text

Hillebrand H. 2004. On the generality of the latitudinal diversity gradient. American Naturalist 163, 192–211. PubMed Abstract | Publisher Full Text

Hodgson D.A., Noon P.E., Vyverman W., Bryant C.L., Gore D.B., Appleby P., Gilmour M., Verleyen E., Sabbe K., Jones V.J., Ellis-Evans J.C. & Wood P.B. 2001. Were the Larsemann Hills ice-free through the last glacial maximum? Antarctic Science 13, 440–454.

Hodgson D.A., Roberts D., McMinn A., Verleyen E., Terry B., Corbett C. & Vyverman W. 2006. Recent rapid salinity rise in three East Antarctic lakes. Journal of Paleolimnology 36, 385–406. Publisher Full Text

Hodgson D.A., Vyverman W., Verleyen E., Sabbe K., Leavitt P.R., Taton A., Squier A.H. & Keely B.J. 2004. Environmental factors influencing the pigment composition of in situ benthic microbial communities in East Antarctic lakes. Aquatic Microbial Ecology 37, 247–263. Publisher Full Text

Hurley J.P. & Watras C.J. 1991. Identification of bacteriochlorophylls in lakes via reverse-phase HPLC. Limnology and Oceanography 36, 307–315. Publisher Full Text

Jeffrey S.W., Mantoura R.F.C. & Wright S.W. 1997. Phytoplankton pigments in oceanography: guidelines to modern methods. Paris: UNESCO Publishing.

Kasprzak P., Padisàkc J., Koschel R., Krienitz L. & Gervai F. 2008. Chlorophyll a concentration across a trophic gradient of lakes: an estimator of phytoplankton biomass? Limnologica 38, 327–338. Publisher Full Text

Lami A., Musazzi S., Marchetto A., Buchaca T., Kernan M., Jeppensen E. & Guilizzoni P. 2009. Sedimentary pigments in 308 alpine lakes and their relation to environmental gradients. Advances in Limnology 62, 247–268.

Lawley B., Ripley S., Bridge P. & Convey P. 2004. Molecular analysis of geographic patterns of eukaryotic diversity in Antarctic soils. Applied and Environmental Microbiology 70, 5963–5967. PubMed Abstract | PubMed Central Full Text | Publisher Full Text

Leavitt P.R., Fritz S.C., Anderson N.J., Baker P.A., Blenckner T., Bunting L., Catalan J., Conley D.J., Hobbs W.O., Jeppesen E., Korhola A., McGowan S., Ruhland K., Rusak J.A., Simpson G.L., Soloveia N. & Wene J. 2009. Paleolimnological evidence of the effects on lakes of energy and mass transfer from climate and humans. Limnology and Oceanography 54, 2330–2348. Publisher Full Text

Leavitt P.R. & Hodgson D.A. 2001. Sedimentary pigments. In J.P. Smol et al. (eds.): Tracking environmental change using lake sediments. Pp. 295–325. Dordrecht: Kluwer Academic Publishers.

Leavitt P.R., Vinebrooke R.D., Donals D.B., Smol J.P. & Schindler D.W. 1997. Past ultraviolet radiation environments in lakes derived from fossil pigments. Nature 388, 457–459. Publisher Full Text

Libera V. 1993. Osservazioni fisico-limnologiche su un lago Antartico nell’ambito di una ricognizione dei corpi d’acqua dolce nell’area di Baia Terra Nova. (Physical and limnological studies of an Antarctic lake as part of a survey of freshwater bodies in the Terra Nova Bay.) In Atti del Seminario su “Il Ruolo delle Aree Remote nello Studio dei Cambiamenti Globali”. (Proceedings of the seminar “Role of remote areas in the study of global changes.”) Pp. 133–139. Rome: Italian National Research Council.

Lizotte M.P. 2008. Phytoplankton and primary production. In W.F. Vincent & J. Laybourn-Parry (eds.): Polar lakes and rivers. Limnology of Arctic and Antarctic aquatic ecosystems. Pp. 157–178. Oxford: Oxford University Press.

Maidana N.I., Izaguirre I., Vinocur A., Mataloni G. & Pizarro H. 2005. Diatomeas en una transecta patagónico-antártica. (Diatoms in a Patagonian–Antarctic transect.). Ecología Austral 15, 159–176.

Malandrino M., Abollino O., Buoso S., Casalino C.E., Gasparon M., Giacomino A., La Gioia C. & Mentasti E. 2009. Geochemical characterization of Antarctic soils and lacustrine sediments from Terra Nova Bay. Microchemical Journal 92, 21–31. Publisher Full Text

Marshall W.A. 1996. Biological particles over Antarctica. Nature 383, 680. Publisher Full Text

Monaghan A., Bromwich D.H., Powers J.G. & Manning K. 2005. The climate of the McMurdo, Antarctica, region as represented by one year of forecasts from the Antarctic mesoscale prediction system. Journal of Climate 18, 1174–1189. Publisher Full Text

Muñoz J., Felicisimo A.M., Cabezas F., Burgaz A.R. & Martìnez I. 2004. Wind as a long-distance dispersal vehicle in the Southern Hemisphere. Science 304, 1144–1147. Publisher Full Text

Murray A.E., Wu K.Y., Moyer C.L., Karl D.M. & Delong E.F. 1999. Evidence for circumpolar distribution of planktonic Archea in the Southern Ocean. Aquatic Microbial Ecology 18, 263–273. Publisher Full Text

Nadeau T.L., Howard-Williams C. & Castenholz R.W. 1999. Effects of solar UV and visible irradiance on photosynthesis and vertical migration of Oscillatoria sp. (Cyanobacteria) in an Antarctic microbial mat. Aquatic Microbial Ecology 20, 231–243. Publisher Full Text

Namsaraev Z., Mano M.J., Fernandez R. & Wilmotte A. 2010. Biogeography of terrestrial cyanobacteria from Antarctic ice-free areas. Annals of Glaciology 51, 1–7. Publisher Full Text

Peat H.J., Clarke A. & Convey P. 2007. Diversity and biogeography of the Antarctic flora. Journal of Biogeography 34, 132–146. Publisher Full Text

Peck L.S., Convey P. & Barnes D.K.A. 2006. Environmental constraints on life histories in Antarctic ecosystems: tempos, timings and predictability. Biological Reviews 81, 75–109. PubMed Abstract | Publisher Full Text

Peterson D. & Howard-Williams C. 2000. The Latitudinal Gradient Project. Report of an Antarctica New Zealand workshop. Christchurch, 15–16 August 2000. Christchurch: Antarctica New Zealand.

Petz W., Valbonesi A., Schiftner U., Quesada A. & Ellis-Evans J.C. 2007. Ciliate biogeography in Antarctic and Arctic freshwater ecosystems: endemism or global distribution of species? FEMS Microbiology Ecology 59, 396–408. PubMed Abstract | Publisher Full Text

Quayle W.C., Peck L.S., Peat H., Ellis-Evans J.C. & Harrigan P.R. 2002. Extreme responses to climate change in Antarctic lakes. Science 295, 645. PubMed Abstract | Publisher Full Text

Rautio M., Dufresne S., Laurion I., Bonilla S., Vincent W.F. & Christoffersen K.S. 2011. Shallow freshwater ecosystems of the circumpolar Arctic. Ecoscience 18, 204–222. Publisher Full Text

Reche I., Pulido-Villena E., Morales-Baquero R. & Casamayor E. 2005. Does ecosystem size determine aquatic bacterial richness? Ecology 86, 1715–1722. Publisher Full Text

Rozema J., Bjorn L.O., Bornman J.F., Gaberscik A., Hader D.P., Trost T., Germ M., Klisch M., Groniger A., Sinha R.P., Lebert M., He Y.Y., Buffoni-Hall R., de Bakker N.V.J., van de Staaij J. & Meijkamp B.B. 2002. The role of UV-B radiation in aquatic and terrestrial ecosystems—an experimental and functional analysis of the evolution of UV-absorbing compounds. Journal of Photochemistry and Photobiology B 66, 2–12. Publisher Full Text

Sabbe K., Hodgson D., Verleyen E., Taton A., Wilmotte A., Vanhoutte K. & Vyverman W. 2004. Salinity, depth and the structure and composition of microbial mats in continental Antarctic lakes. Freshwater Biology 49, 296–319. Publisher Full Text

Schiaffino M.R., Unrein F., Gasol J.M., Massana R., Balaguè V. & Izaguirre I. 2011. Bacterial community structure in a latitudinal gradients of lakes: the roles of spatial versus environmental factors. Freshwater Biology 56, 1973–1991. Publisher Full Text

Simmons G.M., Vestal J.R. & Wharton R.A. 1993. Environmental regulators of microbial activity in continental Antarctic lakes. In W.J. Green & I.E. Friedmann (eds.): Physical and biogeochemical processes in Antarctic lakes. Pp. 165–195. Washington, DC.: American Geophysical Union.

Smith H.G. 1992. Distribution and ecology of the testate rhizopod fauna of the continental Antarctic zone. Polar Biology 12, 629–634.

Smith H.G. 1996. Diversity of Antarctic terrestrial protozoa. Biodiversity and Conservation 5, 1379–1394. Publisher Full Text

Sohlenius B. & Boström S. 2005. The geographic distribution of metazoan microfauna on East Antarctic nunataks. Polar Biology 28, 439–448. Publisher Full Text

Stevens M.I. & Hogg I.D. 2003. Long-term isolation andrecent range expansion from glacial refugia revealed for the endemic springtail Gomphiocephalus hodgsoni from Victoria Land, Antarctica. Molecular Ecology 12, 2357–2369. PubMed Abstract | Publisher Full Text

Stevens R.D. 2006. Historical processes enhance patterns of diversity along latitudinal gradients. Proceedings of the Royal Society B 273, 2283–2289. PubMed Abstract | PubMed Central Full Text | Publisher Full Text

Stevens R.D. & Willig M. R. 2002. Geographical ecology at the community level: perspectives on the diversity of new world bats. Ecology 83, 545–560. Publisher Full Text

Stomp M., Huisman J., Mittelbach G.G., Litchman E. & Klausmeier C.A. 2011. Large-scale biodiversity patterns in freshwater phytoplankton. Ecology 92, 2096–2107. PubMed Abstract | Publisher Full Text

Taton A., Grubisic S., Balthasart P., Hodgson D.A., Laybourn-Parry J. & Wilmotte A. 2006. Biogeographical distribution and ecological ranges of benthic cyanobacteria in East Antarctic lakes. FEMS Microbiology Ecology 57, 272–289. PubMed Abstract | Publisher Full Text

Veillette J., Martineau M.-J., Antoniades D., Sarrazin D. & Vincent W.F. 2010. Effects of loss of perennial lake ice on mixing and phytoplankton dynamics: insights from High Arctic Canada. Annals of Glaciology 51, 56–70. Publisher Full Text

Villaescusa J.A., Casamayor E.O., Rochera C., Velázquez D., Chicote Á., Quesada A. & Camacho A. 2010. A close link between bacterial community composition and environmental heterogeneity in maritime Antarctic lakes. International Microbiology 13, 67–77. PubMed Abstract

Villanueva J., Grimalt J.O., de Wit R., Keely B. & Maxwell J.R. 1994. Chlorophyll and carotenoid pigments in solar saltern microbial mats. Geochemical and Cosmochemical Acta 58, 4703–4715. Publisher Full Text

Vincent W.F., Downes M.T., Castenholz R.W. & Howard-Williams C. 1993. Community structure and pigment organization of cyanobacteria-dominated microbial mats in Antarctica. European Journal of Phycology 28, 213–221. Publisher Full Text

Vincent W.F. & Laybourn-Parry J. 2008. Limnology of Arctic and Antarctic aquatic ecosystems. New York: Oxford University Press.

Vincent W.F. & Quesada A. 1994. Ultraviolet radiation effects on cyanobacteria: implications for Antarctic microbial ecosystems. In C.S. Weiler & P.A. Penhale (eds.): Ultraviolet radiation in Antarctica: measurements and biological effects. Pp. 111–124. Washington, DC: American Geophysical Union.

Vopel K. & Hawes I. 2006. Photosynthetic performance of benthic microbial mats in Lake Hoare, Antarctica. Limnology & Oceanography 5, 1801–1812.

Vyverman W., Verleyen E., Sabbe K., Vanhoutte K., Sterken M., Hodgson D., Mann D.G., Juggins S., Van de Vijver B., Jones V., Flower R., Roberts D., Chepurnov V.A., Kilroy C., Vanormelinger P. & de Wever A. 2007. Historical processes constrain patterns in global diatom diversity. Ecology 88, 1924–1931. PubMed Abstract | Publisher Full Text

Whitehead K. & Hedges J.I. 2002. Analysis of mycosporine-like amino acids in plankton by liquid chromatography electrospray ionization mass spectrometry. Marine Chemistry 80, 27–39. Publisher Full Text

Wynn-Williams D.D. 1996. Antarctic microbial diversity: the basis of polar ecosystem processes. Biodiversity and Conservation 5, 1271–1293. Publisher Full Text

Yergeau E., Bokhorst S., Huiskes A.H.L., Boschker H.T.S., Aerts R. & Kowalchuk G.A. 2007. Size and structure of bacterial, fungal and nematode communities along an Antarctic environmental gradient. FEMS Microbiology Ecology 59, 436–451. PubMed Abstract | Publisher Full Text

Yergeau E., Newsham K.K., Pearce D.A. & Kowalchuk G.A. 2007. Patterns of bacterial diversity across a range of Antarctic terrestrial habitats. Environmental Microbiology 9, 2670–2682. PubMed Abstract | Publisher Full Text

Yuan Y.V., Westcott N.D., Hu C. & Kitts D.D. 2009. Mycosporine-like amino acid composition of the edible red alga Palmaria palmata (dulse) harvested from the west and east coasts of Grand Manan Island, New Brunswick. Food Chemistry 112, 321–328. Publisher Full Text