RESEARCH ARTICLE

Nitrogen isotope fractionation explains the 15N enrichment of Antarctic cryptogams by volatilized ammonia from penguin and seal colonies

Stef Bokhorst1, Richard van Logtestijn1, Peter Convey2 & Rien Aerts1

1Department of Ecological Science, Vrije Universiteit Amsterdam, Amsterdam, the Netherlands;

2British Antarctic Survey, Natural Environment Research Council, High Cross, Cambridge, UK

Abstract

Vegetation near bird and seal rookeries typically has high δ15N signatures and these high values are linked to the enriched δ15N values of rookery soils. However, Antarctic cryptogams are mostly dependent on atmospheric ammonia (NH3) and volatized NH3 from rookeries is severely depleted in δ15N-NH3. So there is an apparent discrepancy between the isotopically depleted source (NH3) and δ15N-enriched vegetation. In this article, we aim to resolve this discrepancy to better understand the mechanisms and processes involved in isotopic changes during nitrogen transfer between Antarctic marine and terrestrial ecosystems. Under laboratory conditions, we quantified whether volatized NH3 affects the isotopic signature of cryptogams. NH3 volatilizing from penguin guano and elephant seal dung was depleted (44–49‰) in δ15N when captured on acidified filters, compared to the source itself. Cryptogams exposed to the volatized NH3 were enriched (18.8–23.9‰) in δ15N. The moss Andreaea regularis gained more nitrogen (0.9%) than the lichen Usnea antarctica (0.4%) from volatilized NH3, indicating a potential difference in atmospheric NH3 acquisition that is consistent with existing field differences in nitrogen concentrations and δ15N between mosses and lichens in general. This study clarifies the δ15N enrichment of cryptogams resulting from one of the most important nitrogen pathways for Antarctic vegetation.

Keywords
Lichen; moss; nitrogen pathway; nutrient transfer; ocean–land interaction

Abbreviations
ANOVA: analysis of variance
δ15N: nitrogen isotope
N: nitrogen
NH3: ammonia
NH4: ammonium
Tukey’s HSD: Tukey’s honestly significant difference test

Citation: Polar Research 2019, 38, 3355, http://dx.doi.org/10.33265/polar.v38.3355

Copyright: Polar Research 2019. © 2019 G.S. S. Bokhorst et al. This is an Open Access article distributed under the terms of the Creative Commons Attribution-NonCommercial 4.0 International License (http://creativecommons.org/licenses/by-nc/4.0/), permitting all non-commercial use, distribution, and reproduction in any medium, provided the original work is properly cited.

Published: 19 November 2019

Competing interests and funding: The authors report no conflict of interest.
This study was financially supported by the Netherlands Polar Programme (NPP-NWO 851.20.016). PC is supported by the Natural Environment Research Council core funding to the BAS British Antarctic Survey’s Biodiversity, Evolution and Adaptation team.

Correspondence to: Stef Bokhorst, Department of Ecological Science, Vrije Universiteit Amsterdam, De Boelelaan 1085, NL-1081 HV Amsterdam, The Netherlands. E-mail: s.f.bokhorst@vu.nl

To access the supplementary material, please visit the article landing page

Introduction

Nitrogen (N) stable isotopes are frequently used to identify N origin and transport between trophic levels in food webs, as δ15N increases, on average, by 2–3 units for every trophic step (Deniro & Epstein 1981; Hogberg 1997; Herman et al. 2000; Robinson 2001). At the base of the food web, the vegetation (primary producer) should reflect the isotopic signature of the N source it utilizes, although it is often challenging to quantify the isotopic signature of the various N sources. In areas with large sea bird or marine mammal colonies, huge amounts of marine-derived N are deposited through faeces and urine (Lindeboom 1984). Part of the N contained therein is volatilized as gaseous NH3, some of which is subsequently deposited downwind. The influence of marine-derived N, through bird and seal faecal deposition, is often reflected in terrestrial vegetation by enriched δ15N signatures (Erskine et al. 1998; Post et al. 1998; Ellis 2005; Ellis et al. 2006). However, although various studies have used stable isotopes to identify N isotope differences in Antarctic cryptogams and food webs (Cocks et al. 1998; Erskine et al. 1998; Huiskes et al. 2006; Bokhorst et al. 2007; Crittenden et al. 2015; Bokhorst & Convey 2016), a few studies have attempted to isotopically quantify the signature of the external N sources reaching the vegetation (Erskine et al. 1998; Bokhorst et al. 2007; Crittenden et al. 2015). These studies reported a wide range of atmospheric N isotope signatures (from −10‰ to +20‰) and provided contrasting explanations to match these with the δ15N signatures of the vegetation (e.g., isotopic fractionation, uptake of enriched particulate matter near colonies or uptake of depleted δ15N sources further from colonies). In this article, we aim to resolve these contrasting explanations to better understand the mechanisms and processes involved in isotopic changes during N transfer from marine vertebrates to Antarctic terrestrial ecosystems.

Volatilization of NH3 from guano is one of the main sources of N from penguin rookeries that can reach inland vegetation (Lindeboom 1984; Blackall et al. 2007). During volatilization, NH3(gas) is greatly depleted (>−30‰) in δ15N because the heavier 15N isotope remains in the substrate (Hogberg 1997), resulting in greatly enriched δ15N signatures of penguin rookery soils (Mizutani et al. 1985, 1986; Mizutani & Wada 1988; Cocks et al. 1998; Erskine et al. 1998; Zhu et al. 2009; Nie et al. 2014). This isotopically δ15N-enriched soil is often assumed to be the source for nearby vegetation as cryptogams and plants also have enriched δ15N signatures (Erskine et al. 1998; Crittenden et al. 2015), and this may well be the case for nearby growing grasses and other plant types that utilize soil N sources. However, many isotopically enriched mosses and lichens grow on rock surfaces while, at the same time, physical barriers and distance separate them from direct contact with penguins and seals and their isotopically enriched soils. In addition, N-fixation is typically very low or non-existent in Antarctic terrestrial ecosystems (Perez et al. 2017). These cryptogams, therefore, greatly depend on atmospheric N sources such as NH3 (Greenfield 1992a, b). The isotopically depleted δ15N-NH3 resulting from volatilization is not readily resolved with the enriched δ15N signatures of vegetation, unless fractionation occurs again at the interface between NH3(gas) and the vegetation (Heaton et al. 1997). Kirshenbaum et al. (1947) showed that when NH3(gas) reaches a chemical equilibrium with an NH4+(solution), there is a strong fractionation (>+30‰) in favour of NH4. The same chemical exchange reaction may occur on a moss or lichen surface, thereby resulting in an enriched δ15N–N source for the cryptogam. This fractionation process, although well recognized in the atmospheric sciences (Moore 1977; Heaton et al. 1997; Hayasaka et al. 2004), has so far been ignored as a pathway for N isotope enrichment of Antarctic cryptogams from neighbouring penguin rookeries.

In this study, we addressed three issues. Firstly, we quantified the N isotope fractionation of NH3 volatilizing from penguin and elephant seal faecal matter. Secondly, we investigated if isotopic fractionation (>+30‰) occurs when this volatilized NH3 comes into contact with a weak acidic substrate (e.g., Kirshenbaum et al. 1947; Heaton et al. 1997). Thirdly, we hypothesized that the above process also occurs on cryptogams, thereby isotopically enriching the cryptogams and explaining the high δ15N signatures observed in the field. Furthermore, we explored potential differences in isotopic enrichment between four common Antarctic moss and lichen species, as these tend to have different δ15N signatures when growing near penguin colonies (Bokhorst & Convey 2016; Bokhorst et al. 2019). By addressing these issues we aimed to clarify a potential mechanism behind δ15N enrichment of vegetation in the vicinity of Antarctic penguin and seal colonies.

Materials and Methods

To address the first two aims, we used 20 airtight clear plastic containers (340 ml), of which five received a soil solution (50 ml) from a penguin rookery substrate and five received a solution (50 ml) of elephant seal dung. A third set (n = 5) of containers received 0.5 ml NH3 solution (25%) to test the general principle of isotopic fraction during volatilization of NH3. The final set was a control containing only 0.5 ml water. The ornithogenic soil was collected from a penguin rookery (chinstrap; Pygoscelis antarctica) located on the northern beaches of Byers Peninsula (Livingston Island, 62°37’S 61°01’W) during February 2017. Samples consisted of five plastic tubes (50 ml) filled with a mixture of liquid and consolidated guano all collected a few metres apart. Elephant seal dung (Mirounga leonina) was collected from a puddle where liquid aggregated (four 50 ml tubes) at the edge of an elephant seal colony at Anchorage Island (67°61’S 68°22’W) during January 2017, along with one part-solidified dung sample collected near a seal rookery on Byers Peninsula. All samples were frozen (−20 °C) and shipped back to the Netherlands. The samples were thawed and the part-solidified dung tubes were topped up to 50 ml with tap water, and shaken to homogenize the sample and facilitate NH3 release, before adding to the experimental containers. A sub-sample (2 ml) of each guano/dung solution was freeze-dried to quantify the initial N concentration and δ15N signature. Isotopic δ15N signature and amount of N of all material was quantified by dry combustion in an NC 2500 elemental analyser (Carlo Erba, Rodana, Italy) coupled with a Deltaplus continuous-flow isotope ratio mass spectrometer (Thermo Finnigan). Isotopic values were expressed as:

δ15N (‰) = (Rsample/Rstandard − 1) × 1000,

where R is the 15N/14N ratio and atmospheric N2 (air) is the standard. Note that we could not quantify the δ15N signature of the NH3 solution.

To trap and measure volatilized NH3, we taped a glass microfiber filter (Whatman GF/D, 10 mm diameter), sealed in polytetrafluoroethylene tape, containing 20 μl KHSO4 (2.5 M) to the underside of each container’s lid. This acid strength should form an infinite NH3 sink not allowing for any isotopic fractionation (Heaton et al. 1997). To quantify the potential isotopic fractionation between NH3(gas) and NH4(solution) in each container, we taped a filter containing a weak acid (20 μl KHSO4 0.1 M), next to the other filter (sensu Heaton et al. 1997). The weaker acid strength should allow for the exchange of neutrons between NH3 and NH4+ resulting in an isotopically enriched δ15N source on the filter (Kirshenbaum et al. 1947). To retain within the measuring range of the elemental analyser and due to differences in NH3 trapping ability, the strong and weak acidified filters were retrieved after 1 and 3 h, respectively. The filters from each treatment were dried for one week, using eight separate incubators containing silica gel and a beaker with concentrated H2SO4 (96%),to avoid cross-contamination between samples or with other NH3 sources. Three 2.5 M filters (two from the NH3 and one from the penguin guano treatment) captured too much N to analyse with the mass spectrometer range settings used, and so were lost from the experiment.

To address the third aim, we placed ground samples (4.0 mg) of two moss species (Andreaea regularis and Sanionia uncinata) and two lichens (Umbillicaria antarctica and Usnea antarctica) separately in tin cups (5×8 mm, which could be directly used for the isotope analyses) in each of the five replicate containers containing water (control), NH3, penguin guano and elephant seal dung for five days. The longer exposure time to the volatized NH3 compared to the filters (see above) was used to allow for sufficient N to be absorbed by the cryptogam material to raise their initial N concentrations. Ground cryptogam samples were used to standardize the substrate so there was a fair comparison between species. Although the use of ground tissue prevents active uptake of N by cryptogams it provides a relevant organic substrate to test whether N isotope fractionation can occur on moss and lichen tissue. Henceforth, the species are referred to by their genus name alone. The tin cups were suspended half way along the side of each container to avoid any direct contact with the solutions. In addition, we added an empty tin cup as a control to quantify NH3 deposition in the absence of any organic material. These empty tin cups captured 0.25 ± 0.01, 1.08 ± 0.19, 0.58 ± 0.03 and 8.90 ± 0.52 μg N in the control, penguin guano, elephant seal dung and NH3 solution treatment, respectively. The 20 cryptogam samples (n = 5 for each species) were selected from a dried cryptogam collection obtained from Signy Island (60°71’S 45°59’W), Byers Peninsula and the islands near Rothera research station (67°61’S 68°22’W). We selected the cryptogam samples to ensure a range of N concentrations (0.19–3.63%) and of δ15N (−7.6 - +16.9‰) was present within each species (Supplementary Table S1). The N concentrations and δ15N signatures of these cryptogam species were analysed for a different study. To ensure a consistent water content of the organic material irrespective of species or origin we added 20 μl demi-water to each tin cup at the start of the experiment. The tin cups were dried for five days in desiccators containing silica gel after exposure treatments, before isotopic measurements. As pH differences between substrates can affect NH3 capture (Heaton et al. 1997) we also measured the pH of each ground cryptogam sample following the methods of Cornelissen et al. (2006).

Statistical analyses

Analyses of variance (ANOVAs) were used to test for differences in δ15N signatures between guano and dung samples, volatilized NH3 and NH4 signatures as well as the starting values of %N, δ15N and pH between cryptogam species. We used a linear mixed effects model; lme4 (Bates et al. 2015) and lmerTest (Kuznetsova et al. 2017), to identify changes in %N and δ15N as a result of treatments between species, with species and treatment as fixed factors and starting N (δ15N) concentrations as a random factor. Because of the low number of replicates per species, which is considered problematic for mixed effects models, we also compared the difference in %N and δ15N, between finish and start of the experiment, between sources and species using two-way ANOVA. Visual inspection of residual plots showed clear pattern formation but this was resolved by analysing the data without the control (water only) treatment after which there were no obvious deviations from homoscedasticity and normality. Values of p were obtained by likelihood ratio tests of the full model with the effect in question against the model without the effect in question. Note that the overall treatment differences between guano/dung sources and NH3 did not differ between the analyses with and without the control treatment. We used a factorial ANOVA to test for differences in N capture on the filters with weak (0.1 M) and strong acid (2.5 M) between treatments (NH3, penguin guano and elephant seal dung). Post-hoc Tukey HSD tests were used for pair-wise comparisons between species and treatments. Pearson correlation was used to test for significant correlations in changes of δ15N and %N with starting values of δ15N, %N and pH. All statistical analyses were performed using R (R CoreTeam 2015).

Results

Penguin guano and elephant seal dung had similar δ15N values of about 22‰ (Fig. 1, Table 1). The isotopic signature of the volatilized NH3 was −49.0 ± 1.5‰ and −44.4 ± 3.2‰ lower compared to the penguin guano and elephant seal dung, respectively, but did not differ between the two sources (Fig. 1, Table 1). The isotopic fractionation occurring between NH3(gas) and NH4(solution) was greater for penguin guano (69.4 ± 1.5) compared to elephant seal dung (47.9 ± 3.3) and that of the NH3 solution (50.3 ± 4.9). N capture on the filters with 2.5 M KHSO4 was higher (between 2.4 and 5.8 times; F1,21 = 57.9, p < 0.001) than the filters with 0.1 M KHSO4 (27.7 μg N ± 0.5). Overall N capture on filters was higher (Tukey HSD p < 0.05) for penguin guano (90.3 μg N ± 26.5) than for elephant seal dung (47.9 μg N ± 16.6).

 

Table 1 ANOVA results (F values) of δ15N and %N comparisons between guano and dung sources and cryptogam species as well as the change in δ15N-NH3 due to volatilization, the exchange of δ15N between NH3(gas)-NH4(solution) and chi-square values from a linear mixed effect model to compare changes in δ15N and %N between cryptogam species exposed to guano/dung from penguins or elephant seals and NH3. Note that the lme results did not include the control treatment as described in the Materials and methods section.
Comparisons Variables F Sum of squares p Chi-square p
Guano/dung sourcea Start δ15N 0.3 2.2 0.603
Change in δ15Nb Volatilization (source NH3) 1.3 45.4 0.289
Fractionation (NH3–NH4) 9.2 1146.5 0.007
Cryptogam speciesc
Starting values δ15N 2.9 335.3 0.069
%N 0.4 1.0 0.724
pH 7.9 2.5 0.002
Change in δ15Nd Species 1.2 419.0 0.324 6.8 0.658
Source 2.8 656.0 0.071 11.6 0.168
S×S 0.0 25.0 1.000 0.5 0.998
Change in %Nd Species 23.9 2.4 <0.001 48.8 <0.001
Source 181.4 18.0 <0.001 127.0 <0.001
S×S 3.6 1.1 0.001 25.7 <0.001
aDegree of freedom for guano/dung source (1,8). bDegree of freedom for change in δ15N (1,7 and 2,9). cDegree of freedom for cryptogam species (3,16). dANOVA change in δ15N and N (species: 3,48 and source: 2,48).

Fig 1
Fig. 1  δ15N signatures of penguin guano and elephant seal dung at the start of the experiment (left of the dashed line), the δ15N signature of the volatilized NH3 from the guano/dung and NH3 and that of NH4 which results from 15N exchange between NH3(gas) and NH4(solution). Bars are means of 3–5 replicate samples with standard error as error bars. Analysis of variance results are shown in Table 1.

There was no significant difference in δ15N or %N values between cryptogam species at the start of the experiment (Table 1). Andreaea had the lowest pH (4.5) and Sanionia the highest (5.5) while the lichen pH values were intermediate (5.0 for both species) and not significantly different from either of the mosses. δ15N of all cryptogam species was strongly enriched after exposure to guano, dung or NH3 compared to control samples (Fig. 2, Table 1). The change in the N concentration of cryptogams was in general larger after exposure to NH3 (+1.36 ± 0.09%) compared to penguin guano (+0.66 ± 0.05%) and elephant seal dung (+0.51 ± 0.05%) with the latter two also being significantly different (Tukey HSD p = 0.002) (Fig. 3, Table 1).

Fig 2
Fig. 2  Species-specific changes in δ15N signature after exposure to penguin guano, elephant seal dung, NH3 or water (control). Change in δ15N is plotted against the cryptogam N concentration at the start of the experiment. Andreaea and Sanionia are mosses while Umbilicaria and Usnea are lichens. Each symbol represents an individual cryptogam sample.

Fig 3
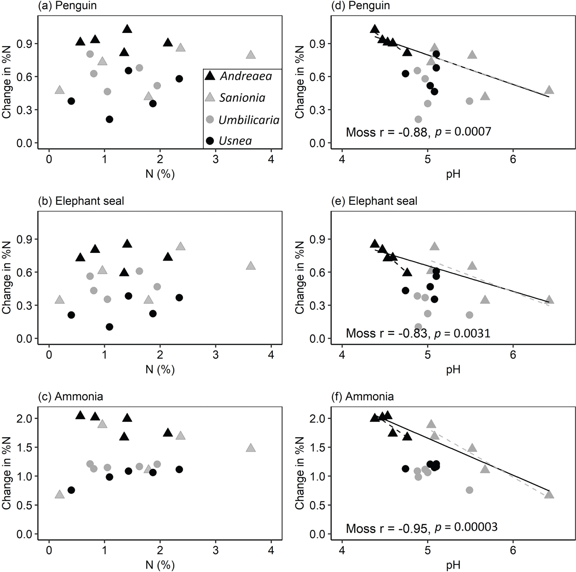
Fig. 3  Species-specific changes in N concentration (%N) after exposure to penguin guano, elephant seal dung or NH3. Change in %N is plotted against the cryptogam (a-c) N concentration and (d-f) pH at the start of the experiment. Andreaea and Sanionia are mosses while Umbilicaria and Usnea are lichens. Each symbol represents an individual cryptogam sample. Significant regression lines are shown for individual mosses (dashed lines) and all moss data combined (solid line) %N change against pH.

δ15N enrichment did not differ between cryptogam species but was negatively correlated (r = −0.8, p < 0.001, across all cryptogams) with the N concentration of the cryptogams (Fig. 2). δ15N enrichment was not correlated to starting δ15N signatures of the cryptogams (Supplementary Fig. S1), or their pH (data not shown). N enrichment was highest for Andreaea compared to the other species (Table 1, Fig. 3). NH3 affected the N concentration of Andreaea more (1.89%, Tukey HSD p < 0.05) than the other species (between 1.00% and 1.36%) and, when exposed to penguin guano or elephant seal dung, Andreaea showed larger (Tukey HSD p < 0.05) N enrichment (0.92% and 0.74%, respectively) compared to Usnea (0.44% and 0.26%). N enrichment was not related to the cryptogam initial N concentrations. N enrichment was negatively correlated to moss pH (r values between −0.82 and −0.95, p < 0.05 for the different N sources) while there was no such correlation for the lichens (Fig. 3). A linear model on tissue N change with moss pH and species (Andreaea and Sanionia) as factors indicates that, pH was the main factor behind the observed changes in N after exposure to penguin guano (pH: β = −0.27, p = 0.019, species: β = 0.01, p = 0.918), elephant seal dung (pH: β = −0.32, p = 0.011, species: β = 0.13, p = 0.285) and NH3 (pH: β = −0.85, p < 0.001, species: β = 0.32, p = 0.029). There was no correlation between cryptogam pH and N concentrations.

Discussion

This study presents the first experimental evidence showing that volatized NH3, with an isotopically depleted signature, from penguin and seal rookeries can isotopically enrich the N isotope signature of Antarctic cryptogams. These findings provide a direct pathway for N isotope enrichment of epilithic cryptogams, avoiding particulate matter deposition and soil N uptake routes. Moreover, our study also shows that volatized NH3 from penguin and seal rookeries is an important N source for Antarctic cryptogams. Furthermore, there were clear differences in N enrichment between cryptogam species, which may explain the observed species differences in isotope signature recorded in the field (Bokhorst & Convey 2016).

The δ15N signature of the volatilized NH3 was more than 40‰ depleted compared to the guano and dung samples where the heavier isotopes remain behind. This isotopic fractionation is the main reason for the δ15N enrichment of penguin and seal rookery soils (Mizutani et al. 1985, 1986), and corroborated our own data from fresh penguin faecal matter with δ15N signatures of 1.2 ± 0.6‰ for P. antarctica and 6.2 ± 0.6‰ for P. papua (unpublished data) while rookery soils were enriched to 22.2 ± 1.5‰. The penguin-derived δ15N-NH3 ranged between −32.7‰ and −21.2‰, which is much lower than atmospheric signature values reported from Antarctica (Erskine et al. 1998; Crittenden et al. 2015), Mexico (McFarlane et al. 1995) and Japan (Mizutani & Wada 1985; Hayasaka et al. 2004), but this may in part result from the different NH3 trapping methods (active versus passive trapping and sink strengths), the δ15N signature of the N source and potential wind turbulence effects on trapping capability (Hogberg 1997). The elephant seal-derived δ15N-NH3 ranged between −29.6‰ and –6.7‰, with the highest value coming from a solid dung sample while the more depleted values were from a dung-contaminated puddle adjacent to a wallow. These isotopic differences suggest that local topography affecting water accumulation may affect the isotopic signature of volatilized NH3 under field conditions.

As expected, and in accordance with known theory (Kirshenbaum et al. 1947; Heaton et al. 1997), the δ15N-NH4 was greatly enriched compared to the volatized NH3 when captured on weakly acidified filters, which allowed for fractionation to occur. The measured isotope fractionation was higher than the +34‰ as established by Kirshenbaum et al. (1947). However, the experimental conditions differed greatly and isotopic fractionation between NH3(gas) and NH4(solution) can be influenced by the NH3 concentration and pH (Heaton et al. 1997). More importantly, our study provides a mechanism explaining the counterintuitive observation that Antarctic cryptogams can be enriched in δ15N by isotopically depleted δ15N-NH3 volatizing from guano soils and elephant seal dung. The isotopic signature of windblown material (+20‰) reported by Bokhorst et al. (2007) does not, in this light, represent NH3(gas) but is clearly the result of isotopic fractionation on the filters. The reported δ15N-NH3 of –10‰ from a penguin rookery on Marion Island (Erskine et al. 1998) may reflect a realistic depleted isotope value but that ignored the possibility of isotopic fractionation processes when suggesting an explanation for the high δ15N signatures of vegetation close to the rookery. Similarly, Crittenden et al. (2015) suggested that deposition of particulate matter was a major factor in the enriched δ15N signatures of lichens growing in the proximity of the penguin rookery. Although particulate matter deposition may be a factor in δ15N enrichment of the vegetation close to rookeries, the results of the current study show that enrichment can also result from isotopically depleted NH3.

There were no species-specific differences in δ15N enrichment after exposure to NH3. However, this lack of species differences may result from the excess NH3 provided under the experimental conditions and the relatively low number of replicates, whereas in the field much lower ambient concentrations of NH3 would cause capture by cryptogams to be influenced by species traits (Crittenden et al. 2015). δ15N gain was negatively correlated with the N content of the cryptogams resulting from N dilution by the substrate. The ground moss substrate of Andreaea gained more N than the other cryptogam species during exposure to NH3, suggesting that this moss is better at scavenging NH3 from the atmosphere. This may in part be the result of the lower pH (Fig. 3f), which would increase atmospheric NH3 capture (Melse & Ogink 2005). In addition, Andreaea also captured more N than the lichen Usnea when exposed to penguin guano or seal dung. The use of ground cryptogam samples is somewhat artificial but is indicative of potential NH3 scavenging differences between cryptogam species which is relevant under natural conditions, where lower NH3 concentrations would move across cryptogam patches and be attracted by them. Active uptake of NH3 from the atmosphere by mosses and lichens may further affect the isotopic signature resulting in species δ15N differences. However, it is very unlikely that active uptake will overcome the existing declining gradient in N and δ15N with distance to penguin colonies (Erskine et al. 1998; Crittenden et al. 2015; Bokhorst & Convey 2016). Soil N may also be a source of N, but if so its impact would be strongest among mosses as this group is better suited to utilize different soil N sources than lichens (Dahlman et al. 2004; Ayres et al. 2006; Song et al. 2016). Antarctic mosses tend to have higher δ15N signatures than lichens at equal distance to penguin rookeries (Bokhorst & Convey 2016; Bokhorst et al. 2019). These δ15N differences between mosses and lichens may result from the observed difference in N capture and would be enhanced for mosses by any δ15N-enriched soil N source.

In conclusion, our study addresses the counterintuitive observation that Antarctic cryptogams can be isotopically enriched by a depleted atmospheric δ15N-NH3 source, confirming that this can be explained by isotopic fractionation. In addition, tissue pH appears to play a role in N capture differences within and between cryptogam species, which could lead to inter-specific differences in isotopic enrichment.

Acknowledgements

The authors are grateful for the logistical support given by the British Antarctic Survey and the Spanish Antarctic Program during the fieldwork. They thank Stacey Adlard and Emily Davey for assistance with field sampling. This article was improved through constructive comments from two anonymous reviewers. SB and RvL designed and performed the experiment. SB was responsible for data analysis and SB, PC and RA wrote the article.

References

Ayres E., van der Wal R., Sommerkorn M. & Bardgett R.D. 2006. Direct uptake of soil nitrogen by mosses. Biology Letters 2, 286–288, doi: 10.1098/rsbl.2006.0455.

Bates D., Mächler M., Bolker B.M. & Walker S.C. 2015. Fitting linear mixed-effects models using lme4. Journal of statistical Software 67, 1–48, doi: 10.18637/jss.v067.i01.

Blackall T.D., Wilson L.J., Theobald M.R., Milford C., Nemitz E., Bull J., Bacon P.J., Hamer K.C., Wanless S. & Sutton M.A. 2007. Ammonia emissions from seabird colonies. Geophysical Research Letters 34, L10801, doi: 10.1029/2006GL028928.

Bokhorst S. & Convey P. 2016. Impact of marine vertebrates on Antarctic terrestrial micro-arthropods. Antarctic Science 28, 175–186, doi: 10.1017/s0954102015000607.

Bokhorst S., Convey P. & Aerts R. 2019. Nitrogen inputs by marine vertebrates drive abundance and richness in Antarctic terrestrial ecosystems. Current Biology 29, 1721–1727, doi: 10.1016/j.cub.2019.04.038.

Bokhorst S., Huiskes A., Convey P. & Aerts R. 2007. External nutrient inputs into terrestrial ecosystems of the Falkland Islands and the maritime Antarctic region. Polar Biology 30, 1315–1321, doi: 10.1007/s00300-007-0292-0.

Cocks M.P., Balfour D.A. & Stock W.D. 1998. On the uptake of ornithogenic products by plants on the inland mountains of Dronning Maud Land, Antarctica, using stable isotopes. Polar Biology 20, 107–111, doi: 10.1007/s003000050283.

Cornelissen J.H.C., Quested H.M., Logtestijn R.S.P., Perez-Harguindeguy N., Gwynn-Jones D., Diaz S., Callaghan T.V., Press M.C. & Aerts R. 2006. Foliar pH as a new plant trait: can it explain variation in foliar chemistry and carbon cycling processes among Subarctic plant species and types? Oecologia 147, 315–326, doi: 10.1007/s00442-005-0269-z.

Crittenden P.D., Scrimgeour C.M., Minnullina G., Sutton M.A., Tang Y.S. & Theobald M.R. 2015. Lichen response to ammonia deposition defines the footprint of a penguin rookery. Biogeochemistry 122, 295–311, doi: 10.1007/s10533-014-0042-7.

Dahlman L., Persson J., Palmqvist K. & Näsholm T. 2004. Organic and inorganic nitrogen uptake in lichens. Planta 219, 459–467, doi: 10.1007/s00425-004-1247-0.

Deniro M.J. & Epstein S. 1981. Influence of diet on the distribution of nitrogen isotopes in animals. Geochimica et Cosmochimica Acta 45, 341–351, doi: 10.1016/0016-7037(81)90244-1.

Ellis J.C. 2005. Marine birds on land: a review of plant biomass, species richness, and community composition in seabird colonies. Plant Ecology 181, 227–241, doi: 10.1007/s11258-005-7147-y.

Ellis J.C., Farina J.M. & Witman J.D. 2006. Nutrient transfer from sea to land: the case of gulls and cormorants in the Gulf of Maine. Journal of Animal Ecology 75, 565–574, doi: 10.1111/j.1365-2656.2006.01077.x.

Erskine P.D., Bergstrom D.M., Schmidt S., Stewart G.R., Tweedie C.E. & Shaw J.D. 1998. Subantarctic Macquarie Island—A model ecosystem for studying animal-derived nitrogen sources using 15N natural abundance. Oecologia 117, 187–193, doi: 10.1007/s004420050647.

Greenfield L.G. 1992a. Precipitation nitrogen at maritime Signy Island and continental Cape Bird, Antarctica. Polar Biology 11, 649–653, doi: 10.1007/BF00237961.

Greenfield L.G. 1992b. Retention of precipitation nitrogen by Antarctic mosses, lichens and fellfield soils. Antarctic Science 4, 205–206, doi: 10.1017/S0954102092000312.

Hayasaka H., Fukuzaki N., Kondo S., Ishizuka T. & Totsuka T. 2004. Nitrogen isotopic ratios of gaseous ammonia and ammonium aerosols in the atmosphere. Journal of Japan Society for Atmospheric Environment 39, 272–279, doi: 10.11298/taiki1995.39.6_272.

Heaton T.H.E., Spiro B., Madeline C. & Robertson S. 1997. Potential canopy influences on the isotopic composition of nitrogen and sulphur in atmospheric deposition. Oecologia 109, 600–607, doi: 10.1007/s004420050122.

Herman P.M.J., Middelburg J.J., Widdows J., Lucas C.H. & Heip C.H.R. 2000. Stable isotopes’ as trophic tracers: combining field sampling and manipulative labelling of food resources for macrobenthos. Marine Ecology Progress Series 204, 79–92, doi: 10.3354/meps204079.

Hogberg P. 1997. Tansley review no 95. 15N natural abundance in soil–plant systems. New Phytologist 137, 179–203, doi: 10.1046/j.1469-8137.1997.00808.x.

Huiskes A.H.L., Boschker H.T.S., Lud D. & Moerdijk-Poortvliet T.C.W. 2006. Stable isotope ratios as a tool for assessing changes in carbon and nutrient sources in Antarctic terrestrial ecosystems. Plant Ecology 182, 79–86, doi: 10.1007/s11258-005-9032-0.

Kirshenbaum I., Smith J.S., Crowell T., Graff J. & McKee R. 1947. Separation of the nitrogen isotopes by the exchange reaction between ammonia and solutions of ammonium nitrate. The Journal of Chemical Physics 15, 440–446, doi: 10.1063/1.1746562.

Kuznetsova A., Brockhoff P.B. & Christensen R.H.B. 2017. lmerTest package: tests in linear mixed effects models. Journal of statistical Software 82, 1–26, doi: 10.18637/jss.v082.i13.

Lindeboom H.J. 1984. The nitrogen pathway in a penguin rookery. Ecology 65, 269–277, doi: 10.2307/1939479.

McFarlane D.A., Keeler R.C. & Mizutani H. 1995. Ammonia volatilization in a Mexican bat cave ecosystem. Biogeochemistry 30, 1–8, doi: 10.1007/bf02181037.

Melse W.R. & Ogink W.M.N. 2005. Air scrubbing techniques for ammonia and odor reduction at livestock operations: review of on-farm research in the Netherlands. Transactions of the ASAE 48, 2303–2313, doi: 10.13031/2013.20094.

Mizutani H., Hasegawa H. & Wada E. 1986. High nitrogen isotope ratio for soils of seabird rookeries. Biogeochemistry 2, 221–247, doi: 10.1007/BF021801.

Mizutani H., Kabaya Y. & Wada E. 1985. Ammonia volatilization and high 15N/14N ratio in a penguin rookery in Antarctica. Geochemical Journal 19, 323–327, doi: 10.1007/BF02180160.

Mizutani H. & Wada E. 1988. Nitrogen and carbon isotope ratios in seabird rookeries and their ecological implications. Ecology 69, 340-349, doi: 10.2307/1940432.

Mizutani H. & Wada E. 1985. High-performance liquid chromatographic determination of uric acid in soil. Journal of Chromatography A 331, 359-369, doi: 10.1016/0021-9673(85)80042-X.

Moore H. 1977. The isotopic composition of ammonia, nitrogen dioxide and nitrate in the atmosphere. Atmospheric Environment 11, 1239–1243, doi: 10.1016/0004-6981(77)90102-0.

Nie Y.G., Liu X.D., Wen T., Sun L.G. & Emslie S.D. 2014. Environmental implication of nitrogen isotopic composition in ornithogenic sediments from the Ross Sea region, East Antarctica: Δ15N as a new proxy for avian influence. Chemical Geology 363, 91–100, doi: 10.1016/j.chemgeo.2013.10.031.

Perez C.A., Aravena J.C., Ivanovich C. & McCulloch R. 2017. Effects of penguin guano and moisture on nitrogen biological fixation in maritime Antarctic soils. Polar Biology 40, 437–448, doi: 10.1007/s00300-016-1971-5.

Post D.M., Taylor J.P., Kitchell J.F., Olson M.H., Schindler D.E. & Herwig B.R. 1998. The role of migratory waterfowl as nutrient vectors in a managed wetland. Conservation Biology 12, 910–920, doi: 10.1111/j.1523-1739.1998.97112.x.

R Core Team 2015. R: a language and environment for statistical computing. Vienna: R Foundation for Statistical Computing.

Robinson D. 2001. δ15N as an integrator of the nitrogen cycle. Trends in Ecology & Evolution 16, 153–162, doi: 10.1016/S0169-5347(00)02098-X.

Song L., Lu H.-Z., Xu X.-L., Li S., Shi X.-M., Chen X., Wu Y., Huang J.-B., Chen Q., Liu S., Wu C.-S. & Liu W.-Y. 2016. Organic nitrogen uptake is a significant contributor to nitrogen economy of subtropical epiphytic bryophytes. Scientific Reports 6, article no. 30408, doi: 10.1038/srep30408.

Zhu R.B., Liu Y.S., Ma E.D., Sun J.J., Xu H. & Sun L.G. 2009. Nutrient compositions and potential greenhouse gas production in penguin guano, ornithogenic soils and seal colony soils in coastal Antarctica. Antarctic Science 21, 427–438, doi: 10.1017/s0954102009990204.