RESEARCH ARTICLE

Hormone profiles from Cook Inlet, Bristol Bay and aquarium beluga whales

Shannon Atkinson1, Kendall L. Mashburn1, Daniel Vos2, Tracy A. Romano3 & Barbara Mahoney4

1Fisheries Department, College of Fisheries and Ocean Sciences, University of Alaska Fairbanks, Juneau, AK, USA; 2Vos Consulting, Anchorage, AK, USA; 3Mystic Aquarium, Mystic, CT, USA; 4National Marine Fisheries Service, Alaska Region, Anchorage, AK, USA

Abstract

Beluga whales (Delphinapterus leucas) from Cook Inlet (CI), Alaska, are listed as “endangered” because of dramatic declines in abundance, with no indications of population recovery. Serum samples from this population are exceedingly rare. Longitudinal samples from aquarium (AQ) belugas can potentially provide health assessment reference ranges for free-ranging beluga, including reproductive and metabolic hormones. We analysed serum hormone concentrations from CI (n = 6, three females and three males) and Bristol Bay (Alaska; BB; n = 5, four males and one female), alongside AQ (n = 3, two females and one male) belugas, to conduct physiological comparisons of reproductive hormones (progesterone, testosterone and total oestrogens) and metabolic hormones (total thyroxine, triiodothyronine and cortisol) in beluga serum. Oestrogen and progesterone profiles from January through May from two AQ female beluga were typical of non-pregnant, cycling females. CI and BB sex steroid concentrations were within AQ hormone ranges, with the exception of elevated progesterone concentrations in four potentially pregnant females. Both CI and BB belugas had elevated metabolic hormones, which may indicate greater metabolic effort required in the wild environment or capture response. Because sample collection from CI belugas is rare, analysis of even the few samples that we analysed may contribute to the conservation of the small and declining population of genetically distinct CI beluga whales. It is important that each sample collected from free-range CI belugas provides the maximum biological information possible. Continued comparison of hormones in AQ and free-ranging beluga will enhance the interpretation of health data in both groups.

Keywords
Delphinapterus leucas; reproductive hormones; progesterone; metabolic hormones; health assessments; endangered species

Abbreviations
AQ: aquarium
BB: Bristol Bay, AK
CI: Cook Inlet, AK
ng/ml: nanogram per millilitre
pg/ml: picogram per millilitre
SEM: standard error of the mean
TT3: total triiodothyronine
TT4: total thyroxine

Citation: Polar Research 2022, 41, 5525, http://dx.doi.org/10.33265/polar.v41.5525

Copyright: Polar Research 2022. © 2022 S. Atkinson et al. This is an Open Access article distributed under the terms of the Creative Commons Attribution-NonCommercial 4.0 International License (http://creativecommons.org/licenses/by-nc/4.0/), permitting all non-commercial use, distribution, and reproduction in any medium, provided the original work is properly cited.

Published: 23 June 2022

Competing interests and funding: The authors report no conflict of interest.
We gratefully acknowledge funding from the US National Marine Fisheries Service and the Idea Network for Biomedical Research and Education, through an Institutional Development Award from the National Institute of General Medical Sciences of the National Institutes of Health (grant no. P20GM103395) at the University of Alaska Fairbanks. The content is solely the responsibility of the authors and does not necessarily reflect the official views of the National Institutes of Health.

Correspondence to: Shannon Atkinson, Fisheries Department, College of Fisheries and Ocean Sciences, University of Alaska Fairbanks, 17101 Pt. Lena Loop Road, Juneau, 99801 AK, USA. E-mail: skatkinson@alaska.edu

Introduction

Interpreting the effects of endocrine disruptors in the environment on wildlife has highlighted the need to include hormone analyses in health assessments in beluga whales (Kavlock et al. 1996; Vos et al. 2000). The International Whaling Commission recognizes 29 beluga stocks, and five of these stocks inhabit Alaskan waters (International Whaling Commission 2000). The endangered CI beluga whales are a genetically distinct population facing potential extirpation because of their small population size and lack of knowledge about what factors restrict population recovery (O’Corry-Crowe & Lloyd 1997; O’Corry-Crowe 2002; Mosnier et al. 2015). Aerial surveys since 1993 conducted by the National Marine Fisheries Service estimate a 50% decrease in the CI population between 1994 (635 whales) and 1998 (347 whales; Hobbs et al. 2000; Hobbs et al. 2008). The CI beluga population continues to decline for reasons that are not fully understood (Angliss & Outlaw 2005; Shelden & Wade 2019).

In 2000, the CI beluga whale population was designated as depleted under the Marine Mammal Protection Act (65 FR 34590) and recognized as a Distinct Population Segment, under section 3(15) of the Endangered Species Act in 2000 (65 FR 38778), where it is currently listed as endangered (73 FR 62919, 22 October 2008; O’Corry-Crowe et al. 1997; Angliss & Outlaw 2005). Aerial surveys from 1978 to 2007 showed that the population’s range receded to the upper inlet (Hobbs et al. 2008; Rugh et al. 2010), and annual population estimations derived from the index counts of aerial surveys indicate population lows of 278 and 279 beluga whales in 2005 and 2018, respectively. A recent 10-year population trend indicates a decrease of 2.3% per year (Shelden & Wade 2019), and population viability analyses indicate a risk of extinction between 0 and 14% in the next 100 years (Hobbs et al. 2015; NMFS 2016).

Year-round residency in CI (Rugh et al. 2005; Rugh et al. 2010; Shelden et al. 2015), as well as geographic and genetic isolation from BB beluga whales, makes the CI population vulnerable to anthropogenic and environmental pressures. The CI beluga whale recovery plan (NMFS 2016) lists 10 types of threats to CI beluga, including (1) reduction in prey, (2) pollution, (3) disease, (4) noise, (5) habitat loss or degradation, (6) subsistence hunting, (7) predation, (8) unauthorized take, (9) catastrophic events (natural disasters, spills and mass strandings) and (10) cumulative or synergistic effects of multiple stressors. Whilst only three of these threats (noise, catastrophic events and cumulative and synergistic effects of stressors) warranted a high relative concern, they are all difficult to define, monitor or manage. Given the depleted status of this population, along with increases in human population growth and human activity in the nearby Municipality of Anchorage and Matanuska-Susitna Borough, AK, an increase in anthropogenic and/or environmental pressures could profoundly affect CI beluga whales.

AQ beluga whales can serve as a control population that is relatively free from anthropogenic and environmental stressors, and it is a common practice to compare these animals to free-ranging belugas, which are difficult to access (Cornell et al. 1988; Atkinson & Yoshioka 2007; Robeck et al. 2015). The use of AQ belugas provides a unique opportunity to use hormonal analyses for assessing physiological states of free-ranging belugas (Thompson et al. 2014; Flower et al. 2015), including serial sampling of known individuals with known reproductive histories to provide longitudinal profiles and reference ranges for reproductive or metabolic hormone concentrations (Spoon & Romano 2012). Using AQ beluga whales to provide benchmark concentration ranges is one method researchers use to overcome the challenges of collecting samples from free-ranging marine mammals (Pietraszek & Atkinson 1994; Mansour et al. 2002; Mashburn & Atkinson 2004, 2007; Kellar et al. 2006; Richard, Robeck et al. 2017; Legacki et al. 2020). Our overall goal was to analyse reproductive and metabolic hormones from AQ and free-ranging beluga whales. Specific objectives were to (1) use longitudinal serum sampling to establish a reference range of concentrations for three reproductive and three metabolic endocrine parameters from AQ beluga whales and (2) determine if CI and BB beluga endocrine concentrations fell within ranges established in AQ belugas. Although our sample is very small, findings from this work may contribute to the establishment of benchmark values in long-term health assessment protocols.

Methods

Animals

Serum samples were collected from three trained AQ adult beluga whales (one male and two females) housed at the Mystic Aquarium, Mystic, CT, in order to compare hormone measurements with wild whales (Table 1). The belugas were housed in a 750 000-gallon outdoor habitat with ongoing veterinary care and training for routine husbandry and handling for preventive health care and biological sampling. The male and females were not kept separated, except for short periods to facilitate routine husbandry procedures. All three belugas were collected from the wild with estimated ages of 26 years at the time of the study. The two AQ female belugas were not pregnant during the study. Morning sample collections were attempted twice weekly from the females and monthly from the male, from January to May 2006, which has historically been considered the pre-breeding season for these belugas. Samples were centrifuged immediately after collection and stored frozen at −20°C until assay.

 

Table 1 Beluga whale location, sex, estimated age class, body length and number of samples collected from each animal.
Beluga whale ID Sampling location Sex Estimated age classa Body length (cm) Total samples collected
Whale 1 Mystic F A 360 25
Whale 2 Mystic F A 360 20
Whale 3 Mystic M A <448b 8
CI02 Cook Inlet F S 340 1
CI03 Cook Inlet F A 367 1
CI05 Cook Inlet M S 390 1
CI06 Cook Inlet M S 355 1
CI07 Cook Inlet F A 374 1
CI08 Cook Inlet M A 375 1
BB01 Bristol Bay M A 418 1
BB02 Bristol Bay F A 325 1
BB03 Bristol Bay M A 348 1
BB04 Bristol Bay M A 414 1
BB05 Bristol Bay M A 371 1
aAdult (A), subadult (S).
bLength recorded closest to the year of sampling.

Serum samples were collected from six free-ranging CI belugas (three males and three females) and five free-ranging BB belugas (four males and one female), during capture and tagging procedures in 2002 and 2003 (Table 1; Shelden et al. 2018). CI whales were sampled in July and August 2002, and BB whales in May 2003. Blood samples were collected from the fluke veins within 30 minutes from the time of capture and prior to the attachment of satellite tags. Blood samples were kept on ice until centrifuged within six hours of collection, and the serum was frozen at −20°C until assay.

Hormone assays

Radioimmunoassays for three reproductive hormones—progesterone (Siemens Healthcare Diagnostics, Los Angeles, CA), testosterone and total oestrogen (MP Biomedicals, Solon, OH) and three metabolic hormones—TT4, TT3 and cortisol (Siemens Healthcare Diagnostics, Los Angeles, CA)—were analysed to assess their precision and accuracy for quality control purposes in beluga whale serum, following procedures previously used in other marine mammals (Atkinson et al. 1999; Oki & Atkinson 2004; Mashburn & Atkinson 2004, 2007; Myers et al. 2006; Villegas-Amtmann et al. 2009). Briefly, serial dilutions of pooled samples were run in each assay to determine pool displacement relative to the standard curve. Assay accuracy was determined by combining 50% of the total sample volume of a known standard mass of hormone with 50% of a pooled sample and run in an assay.

All samples for each assay were run, in duplicate, according to the manufacturer’s instructions on extracted serum in a single assay (n = 1 assay per hormone) to eliminate inter-assay variation. Intra-assay variation was 5% or less for each assay for each of two internal controls. All samples in each assay fell within the 20–80% binding range, and the coefficients of variation for the sample duplicates were all below 10%. Therefore, a single assay was performed for each hormone. In all cases, the sample volume was identical to the volumes of standards as specified by the manufacturer. See the Supplementary material for the cross-reactivities of antisera used in each assay, as provided by the manufacturer.

Data analysis

Hormone concentrations were determined after a log-logit transformation of the standard curve (Rodbard 1974). Hormones were plotted as concentration (y axis) versus date (x axis) from samples collected from January to May. From January to April, the AQ female belugas were considered in the pre-breeding season for this study, which equates to the follicular phase of the oestrous cycle (Katsumata 2010; Steinman et al. 2012). The luteal phase commenced with the first rise in progesterone, which could occur prior to April and indicates ovulatory activity (Robeck et al. 2005; Katsumata 2010; Steinman et al. 2012). Concentrations were plotted similarly for the AQ male from samples collected from January to the end of May. Breeding season hormone (oestrogen, testosterone and progesterone) concentrations, as well as metabolic hormones (TT4, TT3 and cortisol), were calculated for both female and male BB and CI belugas between April and August; these samples equate to the months when oestrous cycles occur in this species (Katsumata 2010; Robeck et al. 2010; Steinman et al. 2012). Because the sample size was too small, statistical comparisons amongst groups (AQ, BB and CI) were not feasible. Therefore, differences and similarities amongst groups (AQ, BB and CI) are presented qualitatively.

Results

For each assay, sample pools were serially diluted 1:2 and run as samples against the manufacturer’s standard curve. Displacement parallel to that of the standard exhibited by the serially diluted pools was taken as evidence of parallelism. Interference with assay accuracy and precision by the sample media were tested for each hormone assay by adding a dilution of each sample pool that had exhibited 50% binding in the previous parallelism test and running 50/50 sample volume pool/0 mass standard to determine pool mass. This 50/50 sample volume pool was repeated for each of the manufacturer’s standards, and all 50/50 samples were run, along with a normal standard curve, in duplicate as a normal assay. At the end of the assay, pool mass was subtracted from total calculated mass concentrations of the 50/50 sample pool/manufacturer’s standards and plotted for regression analysis. A slope of 1.0 and r 2 = 0.99 was considered ideal, with the x axis labelled as the standard added and the y axis was the standard measured after subtracting the mass of the pool. For all assays, displacement by the pools proved parallel, and there was little to no interference from the sample medium (Table 2). This was taken to indicate that the analytical quality control for all assays tested was achieved.

 

Table 2 Quality control procedures for six radioimmunoassays utilized with AQ and free-ranging beluga whales. All sample pools exhibited displacement parallel to that of the standard curves in each of the assays.
Assay hormone Standard ranges Assay accuracy Assay sensitivity
Progesterone 0.05–40.0 ng/ml y = −0.06 ± 0.95x; r2 = 0.99 0.04 ng/ml
Total oestrogens 1.25–100 pg/ml y = −0.49 ± 1.34x; r2 = 0.99 1.07 pg/ml
Testosterone 0.06–10.0 ng/ml y = −0.02 ± 1.18x; r2 = 0.99 0.05 ng/ml
Cortisol 5.0–500 ng/ml y = 0.12 ± 1.06x; r2 = 0.99 5.0 ng/ml
TT4 5.0–240 ng/ml y = 0.19 ± 0.81x; r2 = 0.99 4.7 ng/ml
TT3 0.1–6.0 ng/ml y = 2.07 ± 1.06x; r2 = 0.99 0.14 ng/ml

Reproductive hormones

Total oestrogen concentrations from AQ female belugas during the pre-breeding season were typical of non-pregnant cetaceans, reflecting ovulatory events (Fig. 1). The end of the follicular phase was marked by a pre-ovulatory rise in total oestrogen in AQ female belugas (Fig. 1a), just prior to a progesterone increase, indicating ovulation (Fig. 1). AQ female beluga concentrations of testosterone were non-detectable, or at the limit of detection, for the duration of the sampling period (data not shown).

Fig 1
Fig. 1 Concentrations of serum progesterone (ng/ml) and total oestrogens (pg/ml) from two AQ adult female beluga whales. All samples were collected between January and May. Note that the scales are different for the two female belugas.

The single AQ male exhibited an increase in both testosterone and progesterone levels, with a concomitant decrease in oestrogen after January (Fig. 2). Beginning in February, both testosterone and progesterone concentrations showed a parallel gradual decrease over the pre-breeding and early breeding seasons, with a return to the initial concentrations (observed in January) by mid-May (Fig. 2). Testosterone concentrations in the AQ male beluga were an order of magnitude higher than progesterone concentrations over the same time period (Fig. 2). This pattern coincided with 60–75% reduction in total oestrogen concentrations following the January sample (Fig. 2). Whilst this difference is visible, the small sample size precludes robust statistical analysis.

Fig 2
Fig. 2 Monthly concentrations of testosterone (ng/ml), progesterone (ng/ml) and total oestrogens (pg/ml) from an AQ adult male beluga whale. All samples were collected between January and May.

Mean progesterone concentrations were elevated in both the CI and the BB female belugas compared to those of the AQ females and all males, either during the pre-breeding (January to April) or breeding seasons (post-April) and likely were indicative of pregnancy (Fig. 3a). Mean total oestrogen concentrations did not appear different between any of the belugas (Fig. 3b). There were no apparent differences between the mean testosterone concentrations between any groups of male beluga whales (Fig. 4).

Fig 3
Fig. 3 Median and percent quartiles (10–90%) of concentrations of (a) progesterone (ng/ml) and (b) total oestrogens (pg/ml) in AQ and free-ranging beluga whales. The concentrations for AQ whales were divided into pre-breeding (January–March) and breeding (April–June) seasons. Comparison of AQ, BB and CI for both male (M) and female (F) beluga whales in the pre-breeding (pre) and breeding seasons. The number of samples for each is indicated (n).

Fig 4
Fig. 4 Median and percent quartiles (10–90%) of concentrations of testosterone (ng/ml) from AQ and free-ranging beluga whales. The concentrations for AQ whales were divided into pre-breeding (January–March) and breeding (April–August) seasons. Comparison of AQ, BB and CI for both male (M) and female (F) beluga whales in the pre-breeding (pre) and breeding seasons. The number of samples for each is indicated (n).

Metabolic hormones

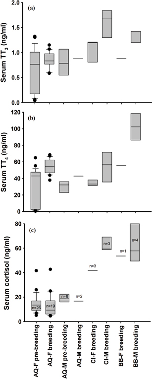
AQ beluga whales exhibited a high degree of variability in TT4 during the pre-breeding and breeding seasons (Fig. 5). Samples from AQ females during the designated breeding season had the highest TT4 concentrations of the three AQ belugas (AQ females = 54.22 ± 1.74 ng/ml; AQ male = 42.75 ± 9.55 ng/ml). CI and BB males had the highest mean (±SEM) circulating concentrations of TT3 (CI = 1.61 ± 0.16 ng/ml; BB = 1.28 ± 0.08 ng/ml) and TT4 (CI = 54.82 ± 10.44 ng/ml; BB = 102.45 ± 8.56 ng/ml; Fig. 5). TT3 in the CI males was over double the concentration for the AQ animals (0.77 ± 0.05 ng/ml), and TT4 in BB males was over double the concentration found in the AQ animals (40.22 ± 2.84 ng/ml). The potentially pregnant free-ranging females had concentrations of TT3 (CI = 1.07 ± 0.13 ng/ml; BB = 0.88 ng/ml) and TT4 (CI = 34.27 ± 2.021 ng/ml; BB = 55.60 ng/ml) in the range of the AQ whales.

Fig 5
Fig. 5 Median and percent quartiles (10–90%) of concentrations of (a) TT3, (b) TT4 and (c) cortisol in AQ and free-ranging beluga whales. The concentrations for AQ whales were divided into pre-breeding (January–March) and breeding (April–June) seasons. Comparison of AQ, BB and CI for both male (M) and female (F) beluga whales in the pre-breeding (pre) and breeding seasons. The number of samples for each is indicated (n).

Mean (±SEM) cortisol concentrations for both the CI and BB female (CI = 41.70 ± 1.00 ng/ml; BB = 53.60 ng/ml) and male beluga (CI = 62.43 ± 3.34 ng/ml; BB = 63.83 ± 9.64 ng/ml) were over double those of AQ beluga whales (females 14.57 ± 1.48 and 12.34 ± 1.89 ng/ml for pre-breeding and breeding, respectively; males 19.47 ± 2.12 and 16.75 ± 0.05 ng/ml for pre-breeding and breeding, respectively; Fig. 5). There were neither apparent differences between CI and BB whales nor clear differences between the designated pre-breeding and breeding seasons with the AQ whales (Fig. 5).

Discussion

The longitudinal collection of serum samples from three AQ beluga whales and quality control tests of technique accuracy and precision allowed for the measurement of six endocrine parameters. This study used AQ beluga endocrine concentration ranges as a qualitative index for individual samples collected from free-ranging beluga whales from two populations in Alaska, including the endangered CI population. Health assessments for small or declining marine mammal populations need to consider the factor(s) that limit or restrict the growth of the population or threats that may keep the population small (Coulson et al. 2001; Oli & Dobson 2003; Atkinson et al. 2019). Comparative studies are useful in determining natural physiological variability and can help validate predictive models. For example, calving intervals are estimated to be two to three years, with a gestation length of more than one year in belugas from the eastern Chukchi Sea (Suydam 2009). In the case of CI beluga whales, the potential threats of highest concern are the cumulative or synergistic effects of multiple stressors (NMFS 2016), and studies focused on risk factors such as contaminants suggest a resulting decrease in reproductive success (Becker et al. 2000). Multiple stressors, and combinations thereof, can act differently based on the overall health or reproductive status of individual marine mammals (Atkinson et al. 2015), and perhaps the greatest contribution of the present study was our access to serum samples from CI belugas. Whilst the sample size was small (n = 6), those samples represent approximately 2% of the surviving population, which is substantial. This population has been sampled less than once every decade, enhancing the value of these samples for designing future studies.

Historically, samples from AQ belugas have assisted in the development of basic health assessment parameters, such as haematology, serum chemistry (Cornell et al. 1988) and hormonal profiles (Steinman et al. 2012; Thompson et al. 2014; Flower et al. 2015; Richard, Dunn et al. 2017; Legacki et al. 2020), which have been used as an index for free-ranging beluga whales (St. Aubin et al. 2001; Robeck et al. 2018). The use of AQ belugas as a control population to establish reference ranges has both advantages and disadvantages. Advantages include the use of whales that come from stable environments, are typically in good health, with low or absent parasite loads and are trained for non-invasive biological sampling, which results in reduced stress responses in comparison to free-ranging cetaceans (St. Aubin & Geraci 1988; Desportes et al. 2007). These characteristics allow AQ beluga samples to serve as an index or reference for measurements of physiological parameters that can be used for free-ranging belugas, such as those in CI and BB. Disadvantages include (1) the difficulty of statistical comparisons with small sample sizes from both AQ and free-ranging animals from small or declining populations; (2) AQ belugas and statistical comparisons using repeated samples against single point samples from free-ranging populations; and (3) the reality that AQ animals typically do not experience the rigours of the free-ranging environment and, therefore, may not be representative of the physiology of their free-ranging counterparts (Atkinson et al. 2015). In addition, the collection of samples from pregnant AQ belugas, however scientifically valuable, may be neither routinely nor commonly collected. Thus, this study took advantage of the opportunity to access samples from both AQ and free-ranging beluga whales.

Determining the magnitude of effects on beluga populations from multiple risk factors requires assessments of, and an increase in our understanding of, their reproductive biology. Fortunately, an increasing number of studies have focused on reproductive rates, or the hormonal sequence that controls these rates, for both free-ranging and AQ beluga whales (Høier & Heide-Jørgensen 1994; Katsumata 2010; Robeck et al. 2010; Steinman et al. 2012; Hansen et al. 2017; Goertz et al. 2019; Shelden, Burns et al. 2019; Shelden, Robeck et al. 2019), allowing managers to assess population viability with greater accuracy. Serum progesterone concentrations during an eight-year sampling period in one AQ non-pregnant female beluga range 0.1–15.7 ng/ml (Katsumata 2010). In a study encompassing 35 AQ whales, Robeck et al. (2005) found that the mean luteal phase progesterone concentration was 1.3 ± 0.4 ng/ml, with 70.4% of these luteal phases occurring March through May. Twenty beluga whales in that study exhibited two ovulatory events during the breeding season (Robeck et al. 2005), and AQ beluga whales were determined to be facultative-induced ovulators (Steinman et al. 2012). The mean of the highest progesterone concentrations during the luteal phase for the AQ females in the present study (Fig. 1), as well as the BB whales, fell within the range cited by Katsumata (2010), whereas the CI beluga whales exhibited concentrations well above either group. It is important to note, however, that the assay systems employed in the present study were not the same as those used in Katsumata’s study, and any concentration differences could potentially be attributed to differences in methodology and should be interpreted with caution. Moreover, the sampling period for the AQ belugas in the present study weas in the spring (January to May) and not during late July/early August for the CI beluga whales. Because the late summer and early fall coincide with the period for Alaskan beluga pregnancies, the high concentrations may represent pregnant females. Høier & Heide-Jørgensen (1994) found that pregnant female free-ranging belugas exhibited a concentration of 9.3 ng/ml. In our study, possible comparisons of progesterone concentrations in AQ whales to free-ranging whales, which included luteal and follicular phases but not pregnancy, led us to conclude that the free-ranging females were most likely pregnant. However, the low sample size precludes definitive statements about reproductive status or determining threshold concentrations for progesterone to be used for pregnancy detection in free-ranging belugas.

The AQ male beluga exhibited the most variable concentrations of testosterone in January (mean = 3.51 ± 3.51 ng/ml). This is similar to concentrations reported by Robeck et al. (2005). Concentrations for the month of February were much more tightly clustered (mean = 5.34 ± 0.72 ng/ml) and continually decreased until reaching non-breeding season concentrations of approximately 0.44 ng/ml. Of interest in the AQ male, the increased testosterone concentration in January coincided with a parallel progesterone profile that was approximately half the concentration (7 ng/ml vs. 3.5 ng/ml). There was also a decrease in total oestrogens, which could potentially reflect a seasonal aromatase suppression, preventing the conversion of androgens to oestrogens (Atkinson & Yoshioka 2007; Robeck et al. 2018). However, the small sample size means that we cannot rule out that the increase in oestrogen we observed in January could be an outlier. Because sample collection from free-ranging animals is rare, the ability to observe biosynthetic and metabolic changes associated with hormones and their precursors within these wild populations is exceedingly difficult, which serves to underscore the importance of data collected from AQ animals for use as a reference index.

There have been several studies of beluga metabolic hormones and thyroid and adrenal gland functions in response to potentially stressful environments and events, including capture and handling (St. Aubin & Geraci 1988, 1992; Spoon & Romano 2012; Flower et al. 2015; Hansen et al. 2017), in response to organohalogenated contaminants (De Guise et al. 1995; Villanger et al. 2011) and in response to diurnal variation (Schmitt et al. 2010). Whilst it is not usually advisable to compare absolute concentrations of hormones from different assays (Atkinson et al. 2015), the availability of reference hormonal biological parameters is very helpful to qualitatively ascertain the physiological state of animals (St. Aubin et al. 2001). There were highly variable concentrations of TT3 and TT4 at different sampling times between all groups of belugas, with the BB and CI males having the highest concentrations of TT3 and TT4, respectively. This is consistent with the thyroid gland being sensitive to both internal and external environments (St. Aubin et al. 2001; Schmitt et al. 2010). Cortisol concentrations in the free-ranging belugas were also elevated above AQ whales. Although interpreting these hormone concentrations is limited by the small sample size, the data appear to agree with several factors: the rigours of living in a free-range environment necessitate a metabolically and physically active way of life that may include substantial time foraging whilst dealing with potential or perceived threats to the individual’s survival (Atkinson et al. 2015). Conversely, the stable and controlled AQ environment does not require animals to search or hunt for food and does not necessarily require large energetic outputs, which is reflected in their reduced metabolic hormones (Ortiz et al. 2000; Desportes et al. 2007). The lack of apparent differences in cortisol concentrations between male and female free-ranging belugas could reflect the need for both sexes to deal with the potential or perceived stressors in the wild, or it may be an artifact induced by the capture and handling of whales prior to blood sample collection; it could also be influenced by age, reproductive status or season.

Conclusions

The advantages of health assessments for small or declining populations are numerous, and access to even a few samples from the CI beluga population is a rare and unique opportunity. Wildlife managers are sometimes familiar with individuals in small populations, allowing for details of their life history events to be taken into consideration in health assessments of an individual or the overall health of the population. Reproductive status is clearly an important determinant, in which poor reproductive success is a primary cause of population declines. Likewise, the cumulative or synergistic effects of multiple stressors in an individual’s internal or external environment can dictate the ability of a small population to thrive. Access to AQ beluga whales, where multiple or longitudinal sampling was combined with the ability to get snapshot samples from free-ranging belugas, some of which are currently listed as endangered, will enable resource managers to improve and increase options for protecting the small and declining population of genetically distinct CI beluga whales. It is important that each limited sample collected from free-range belugas provides the maximum biological information possible. Interpretation of data improves as more information is gathered, and the accuracy of analyses is enhanced over time. This is especially important in the case of severely limited populations, where samples from individual animals constitute a significant segment of that population. This study provides concentrations for multiple physiological markers in CI and BB belugas in addition to the longitudinal concentrations from AQ belugas, which will be useful in developing reference ranges and ensuring accurate definition of physiological status of single-point samples from free-ranging beluga whales, from which samples are exceedingly rare.

Acknowledgements

The authors thank the National Marine Fisheries Service for logistical support of the field efforts, the husbandry and veterinary staff of Mystic Aquarium for assistance with sample collection and Ms Angela Kameroff-Steeves for assistance with manuscript preparation. Samples were collected under NMFS Scientific Research Permits 957 and 782-1438 and Mystic Aquarium Marine Mammal Protection Act Permit 42-1642-02/3. This constitutes scientific manuscript contribution #263 from the Sea Research Foundation, Inc.

References

Angliss R.P. & Outlaw R.B. 2005. Alaska marine mammal stock assessments, 2005. NOAA Technical Memorandum NMFS-AFSC-161. Seattle: Alaska Fisheries Science Center, National Marine Fisheries Service, National Oceanic and Atmospheric Administration, US Department of Commerce.

Atkinson S., Combelles C., Vincent D., Nachtigall P., Pawloski J. & Breese M. 1999. Monitoring of progesterone in captive female false killer whales, Pseudorca crassidens. General and Comparative Endocrinology 115, 323–332, doi: 10.1006/gcen.1999.7319.

Atkinson S., Crocker D., Houser D. & Mashburn K. 2015. Stress physiology in marine mammals: how well do they fit the terrestrial model? Journal of Comparative Physiology 185, 463–486, doi: 10.1007/s00360-015-0901-0.

Atkinson S., Gendron D., Branch T.A., Mashburn K.L., Melica V., Enriquez-Paredes L.E. & Brownell R.L. Jr. 2019. Determination of pregnancy rates and biomarkers from the blubber of eastern north Pacific blue whales. Marine Mammal Science 36, 6–28, doi: 10.1111/mms.12616.

Atkinson S. & Yoshioka M. 2007. Endocrinology of reproduction. In D.L. Miller (ed.): Reproductive biology and phylogeny of cetacea. Whales, dolphins and porpoises. Pp. 171–192. Enfield, NH: Science Publishers.

Becker P.R., Krahn M.M., Mackey E.A., Demiralp R., Schantz M.M., Epstein M.S., Donais M.K., Proter B.J., Muir D.C.G. & Wise S.A. 2000. Concentrations of polychlorinated biphenyls (PCB’s), chlorinated pesticides, and heavy metals and other elements in tissue of belugas, Delphinapterus leucas, from the Cook Inlet, Alaska. Marine Fisheries Review 62, 81–98.

Cornell L.H., Duffield D.S., Joseph B.E. & Stark B. 1988. Hematology and serum chemistry values in the beluga (Delphinapterus leucas). Journal of Wildlife Diseases 24, 220–224, doi: 10.7589/0090-3558-24.2.220.

Coulson T., Mace G.M., E. Hudson E. & Possingham H.P. 2001. The use of abuse of population viability analysis. Trends in Ecology and Evolution 16, 219–221, doi: 10.1016/s0169-5347(01)02137-1.

De Guise S., Martineau D., Beland P. & Fournier M. 1995. Possible mechanisms of action of environmental contaminants on St. Lawrence beluga whales (Delphinapterus leucas). Environmental Health Perspectives 103, 73–77, doi: 10.1289/ehp.95103s473.

Desportes G., Buholzer L., Anderson-Hansen K., Blanchet M-A., Acquarone M., Shepard G., Brando S., Vossen A. & Siebert U. 2007. Decrease stress; train your animals: the effect of handling methods on cortisol levels in harbour porpoises (Phocoena phocoena) under human care. Aquatic Mammals 33, 286–292, doi: 10.1578/AM.33.3.2007.286.

Flower J.E., Allender M.C., Giovanelli R.P., Summers S.D., Spoon T.R., St. Leger J.A., Goertz C.E., Dunn J.E., Romano T.A., Hobbs R.C. & Tuttle A.D. 2015. Circulating concentrations of thyroid hormone in beluga whales (Delphinapterus leucas): influence of age, sex and season. Journal of Zoo Wildlife Medicine 46, 456–467, doi: 10.1638/2014-0127.1.

Goertz C.E., Burek-Huntington K., Royer K., Quakenbush L., Clauss T., Hobbs R. & Kellar N.M. 2019. Comparing progesterone in blubber and serum to assess pregnancy in wild beluga whales (Delphinapterus leucas). Conservation Physiology 7, p.coz071, doi: 10.1093/conphys/coz071.

Hansen M., Villanger G.D., Bechshoft T., Levin M., Routti H., Kovacs K.M. & Lydersen C. 2017. Circulating thyroid hormones and associated metabolites in white whales (Delphinapterus leucas) determined using isotope-dilution mass spectrometry. Environmental Research 156, 128–131, doi: 10.1016/j.envres.2017.03.027.

Hobbs R.C., Rugh D.J. & DeMaster D.P. 2000. Abundance of belugas, Delphinapterus leucas, in Cook Inlet, Alaska, 1994-2000. Marine Fisheries Review 62, 37–45.

Hobbs R.C., Shelden K.E.W., Rugh D.J. & Norman S.A. 2008. 2008 Status review and extinction risk assessment of Cook Inlet belugas (Delphinapterus leucas). AFSC Processed Report 2008-02. Seattle: Alaska Fisheries Science Center, National Marine Fisheries Service, National Oceanic and Atmospheric Administration, US Department of Commerce.

Hobbs R.C., Shelden K.E.W., Rugh D.J., Sims C.L. & Waite J.M. 2015. Estimated abundance and trend in aerial counts of beluga whales, Delphinapterus leucas, in Cook Inlet, Alaska, 1994–2012. Marine Fisheries Review 77, 11–31, doi: 10.7755/MFR77.1.2.

Høier R. & Heide-Jørgensen M.P. 1994. Steroid hormones and prolactin in the beluga (Delphinapterus leucas) from west Greenland. Meddelelser om Grønland, Bioscience 39, 227–238.

International Whaling Commission 2000. Report of the small cetacean subcommittee. 1999. Grenada. Journal of Cetacean Research Management, Suppl. 2. 235–257.

Katsumata E. 2010. Study on reproduction of captive marine mammals. Journal of Reproduction and Development 56, 1–8, doi: 10.1262/jrd.09-212e.

Kavlock R.J., Daston G.P., DeRosa C., Fenner-Crisp P., Gray L.E., Kaattari S., Lucier G., Luster M., Mac M.J., Maczka C., Miller R., Moore J., Rolland R., Scott G., Sheehan D.M., Sinks T. & Tilson H.A. 1996. Research needs for the risk assessment of health and environmental effects of endocrine disruptors: a report of the U.S. EPA-sponsored workshop. Environmental Health Perspectives 104, Suppl. 4, 715–740, doi: 10.1289/ehp.96104s4715.

Kellar N.M., Trego M.L., Marks C.I. & Dizon A.E. 2006. Determining pregnancy from blubber in three species of delphinids. Marine Mammal Science 22, 1–16, doi: 10.1111/j.1748-7692.2006.00001.x.

Legacki E.L., Robeck T.R., Steinman K.J. & Conley A.J. 2020. Comparative analysis of steroids in cyclic and pregnant killer whales, beluga whales and bottlenose dolphins by liquid chromatography tandem mass spectrometry. General and Comparative Endocrinology 285, article no. 113273, doi: 10.1016/j.ygcen.2019.113273.

Mansour A.A.H., McKay D.W., Lien J., Orr J.C., Banoub J.H., Oien N. & Stenson G. 2002. Determination of pregnancy status from blubber samples in minke whales (Balaenoptera acutorostrata). Marine Mammal Science 18, 112–120, doi: 10.1111/j.1748-7692.2002.tb01022.x.

Mashburn K.L. & Atkinson S. 2004. Evaluation of adrenal function in serum and feces of Steller sea lions (Eumetopias jubatus): influences of molt, gender, sample storage, and age on glucocorticoid metabolism. General and Comparative Endocrinology 136, 371–381, doi: 10.1016/j.ygcen.2004.01.016.

Mashburn K.L. & Atkinson S. 2007. Seasonal and predator influences on adrenal function in adult Steller sea lions: gender matters. General and Comparative Endocrinology 150, 246–252, doi: 10.1016/j.ygcen.2006.08.009.

Mosnier A., Doniol-Valcroze T., Gosselin J.-F., Lesage V., Measures L.N. & Hammill M.O. 2015. Insights into processes of population decline using an integrated population model: the case of St. Lawrence Estuary beluga (Delphinapterus leucas). Ecological Modelling 314, 15–31, doi: 10.1016/j.ecolmodel.2015.07.006.

Myers M.J., Rea L.D. & Atkinson S. 2006. The effect of age, season and geographic region on thyroid hormones in Steller sea lions (Eumetopias jubatus). Comparative Biochemistry and Physiology A 145, 90–98, doi: 10.1016/j.cbpa.2006.05.004.

NMFS (National Marine Fisheries Service) 2016. Recovery plan for the Cook Inlet beluga whale (Delphinapterus leucas). Juneau National Marine Fisheries Service, Alaska Region, Protected Resources Division.

O’Corry-Crowe G.M. 2002. Beluga whale: Delphinapterus leucas. In W.F. Perrin et al. (eds.): Encyclopedia of marine mammals. Pp. 94–99. San Diego, CA: Academic Press.

O’Corry-Crowe G.M. & Lowry L.F. 1997. Genetic ecology and management concerns of the beluga whale (Delphinapterus leucas Pallas, 1776). In A.E. Dizon et al. (eds.): Molecular genetics of marine mammals: incorporating the proceedings of a workshop on the analysis of genetic data to address problems of stock identity as related to management of marine mammals. Pp. 249–276. Lawrence, KS: Society for Marine Mammalogy.

O’Corry-Crowe G.M., Suydam R.S., Rosenberg A., Frost K.J. & Dixon A.E. 1997. Phylogeography, population structure and dispersal patterns of the beluga whale Delphinapterus leucas in the western Nearctic revealed by mitochondrial DNA. Molecular Ecology 6, 955–970, doi: 10.1046/j.1365-294X.1997.00267.x.

Oki C. & Atkinson S. 2004. Diurnal patterns of cortisol and thyroid hormones in the harbor seal (Phoca vitulina) during summer and winter seasons. General and Comparative Endocrinology 136, 289–297, doi: 10.1016/j.ygcen.2004.01.007.

Oli M.K. & Dobson F.S. 2003. The relative importance of life-history variables to population growth rate in mammals: Cole’s prediction revisited. American Naturalist 161, 422–440, doi: 10.1086/367591.

Ortiz R.M., MacKenzie D.S. & Worthy G.A. 2000. Thyroid hormone concentrations in captive and free-ranging West Indian manatees (Trichechus manatus). Journal of Experimental Biology 203, 3631–3637, doi: 10.1242/jeb.203.23.3631.

Pietraszek J. & Atkinson S. 1994. Concentrations of estrone sulfate and progesterone in plasma and saliva, vaginal cytology, and bioelectric impedance during the estrous cycle of the Hawaiian monk seal (Monachus schauinslandi). Marine Mammal Science 10, 430–441, doi: 10.1111/j.1748-7692.1994.tb00499.x.

Richard J.T., Dunn J.L., Romano T.A., Sartini B.L., Schmitt T.L., Haulena M. & Vezzi N. 2017. Seasonal variation in testes size and density detected in belugas (Delphinaperus leucas) using ultrasonography. Journal of Mammalogy 98, 874–884, doi: 10.1093/jmammal/gyx032.

Richard J.T., Robeck T.R., Osborn S.D., Naples L., McDermott A., LaForge R., Romano T.A. & Sartini B.L. 2017. Testosterone and progesterone concentrations in blow samples are biologically relevant in belugas (Delphinapterus leucas). General and Comparative Endocrinology 246, 183–193, doi: 10.1016/j.ygcen.2016.12.006.

Robeck T.R., Monfort S.L., Calle P.P., Dunn L., Jensen E., Boehm J.R., Young S. & Clark S.T. 2005. Reproduction, growth and development in captive beluga (Delphinapterus leucas). Zoo Biology 24, 29–49, doi: 10.1002/zoo.20037.

Robeck T.R., O’Brien J.K. & Atkinson S. 2018. Reproduction. In F.M.D. Gulland et al. (eds.): CRC handbook of marine mammal medicine. 3rd edn. Pp. 169–207. Boca Raton, FL: CRC Press.

Robeck T.R., Schmitt L. & Osborn S. 2015. Development of predictive models for determining fetal age-at-length in belugas (Delphinapterus leucas) and their application toward in situ and ex situ population management. Marine Mammal Science 31, 591–611, doi: 10.1111/mms.12180.

Robeck T.R., Steinman K.J., Montano G.A., Katsumata E., Osborn S., Dalton L. & O’Brien J.K. 2010. Deep intra-uterine artificial inseminations using cryopreserved spermatozoa in beluga (Delphinapterus leucas). Theriogenology 74, 989–1001, doi: 10.1016/j.theriogenology.2010.04.028.

Rodbard D. 1974. Statistical quality control and routing data processing for radioimmunoassays and immunoradiometric assays. Clinical Chemistry 20, 1255–1270.

Rugh D.J., Shelden K.E.W. & Hobbs R. 2010. Range contraction in a beluga whale population. Endangered Species Research 12, 69–75, doi: 10.3354/esr00293.

Rugh D.J., Shelden K.E.W., Sims C.L., Mahoney B.A., Smith B.K., Litzky L.K. & Hobbs R.C. 2005. Aerial surveys of belugas in Cook Inlet, Alaska, June 2001, 2002, 2003, and 2004. NOAA Technical Memorandum NMFS-AFSC-149. Seattle: Alaska Fisheries Science Center, National Marine Fisheries Service, National Oceanic and Atmospheric Administration, US Department of Commerce.

Schmitt T.L., St. Aubin D.J., Schaefer A.M. & Dunn L.J. 2010. Baseline, diurnal variations, and stress-induced changes of stress hormones in three captive beluga whales, Delphinapterus leucas. Marine Mammal Science 26, 635–647, doi: 10.1111/j.1748-7692.2009.00366.x.

Shelden K.E.W., Burns J.J., McGuire T.L., Burek-Huntington K.A., Vos D.J., Goertz C.E.C. & Mahoney B.A. 2019. Reproductive status of female beluga whales from the endangered Cook Inlet population. Marine Mammal Science 36, 690–699, doi: 10.1111/mms.12648.

Shelden K.E.W., Goetz K.T., Hobbs R.C., Hoberecht L.K., Laidre K.L., Mahoney B.A., McGuire T.L., Norman S.A., O’Corry-Crowe G., Vos G., Ylitalo G.M., Mizroch S.A., Atkinson S., Burek-Huntington K.A. & Garner C. 2018. Beluga whale, Delphinapterus leucas, satellite-tagging and health assessments in Cook Inlet, Alaska, 1999 to 2002. NOAA Technical Memorandum NMFS-AFSC-369. Seattle: Alaska Fisheries Science Center, National Marine Fisheries Service, National Oceanic and Atmospheric Administration, US Department of Commerce.

Shelden K.E.W., Goetz K.T., Rugh D.J., Calkins D.G., Mahoney B.A. & Hobbs R.C. 2015. Spatiotemporal changes in beluga whale, Delphinapterus leucas, distribution: results from aerial surveys (1977-2014), opportunistic sightings (1975-2014), and satellite tagging (1999-2003) in Cook Inlet, Alaska. Marine Fisheries Review 77, 1–31, doi: 10.7755/MFR.77.2.1.

Shelden K.E.W., Robeck T.R., Goertz C.E.C., McGuire T.L., Burek-Huntington K.A., Vos D.J. & Mahoney B.A. 2019. Breeding and calving seasonality in the endangered Cook Inlet beluga whale population: application of captive fetal growth curves to fetuses and newborns in the wild. Marine Mammal Science 36, 700–708, doi: 10.1111/mms.12653.

Shelden K.E.W. & Wade P.R. (eds.) 2019. Aerial surveys, distribution, abundance, and trend of belugas (Delphinapterus leucas) in Cook Inlet, Alaska, June 2018. Seattle: Alaska Fisheries Science Center, National Marine Fisheries Service, National Oceanic and Atmospheric Administration, US Department of Commerce. AFSC Processed Report 2019-09. Seattle: Alaska Fisheries Science Center, National Marine Fisheries Service, National Oceanic and Atmospheric Administration, US Department of Commerce.

Spoon T.R. & Romano T.A. 2012. Neuroimmunological response of beluga whales (Delphinapterus leucas) to translocation and novel social environment. Brain Behavior and Immunity 26, 122–131, doi: 10.1016/j.bbi.2011.08.003.

St. Aubin D.J., Deguise S., Richard P.R., Smith T.G. & Geraci J.R. 2001. Hematology and plasma chemistry as indicators of health and ecological status in beluga whales, Delphinapterus leucas. Arctic 54, 317–331, doi: 10.14430/arctic791.

St. Aubin D.J. & Geraci J.R. 1988. Capture and handling stress suppresses circulating levels of thyroxine (T4) and triiodothyronine (T3) in beluga whales Delphinapterus leucas. Physiological Zoology 61, 170–175, doi: 10.1086/physzool.61.2.30156148.

St. Aubin D.J. & Geraci J.R. 1992. Thyroid hormone balance in beluga whales, Delphinapterus leucas: dynamics after capture and influence of thyrotropin. Canadian Journal of Veterinary Research 56, 1–5.

Steinman K.J., O’Brien J.K., Monfort S.L. & Robeck T.R. 2012. Characterization of the estrous cycle in female beluga (Delphinapterus leucas) using urinary endocrine monitoring and transabdominal ultrasound: evidence of facultative induced ovulation. General and Comparative Endocrinology 175, 389–397, doi: 10.1016/j.ygcen.2011.11.008.

Suydam R.S. 2009. Age, growth, reproduction, and movements of beluga whales from the eastern Chukchi Sea. PhD dissertation, School of Aquatic and Fishery Sciences, University of Washington, Seattle.

Thompson L.A., Spoon T.R., Goertz C.E., Hobbs R.C. & Romano T.A. 2014. Blow collection as a non-invasive method for measuring cortisol in the beluga (Delphinapterus leucas). PLoS One 9, e114062, doi: 10.1371/journal.pone.0114062.

Villanger G.D., Lydersen C., Kovacs K.M., Lie E., Skaare J.U. & Jenssen B.M. 2011. Disruptive effects of persistent organohalogen contaminants on thyroid function in white whales (Delphinapterus leucas) from Svalbard. Science of the Total Environment 409, 2511–2524, doi: 10.1016/j.scitotenv.2011.03.014.

Villegas-Amtmann S., Atkinson S. & Costa D.P. 2009. Low synchrony in the breeding cycle in Galapagos sea lions revealed by seasonal progesterone concentrations. Journal of Mammalogy 90, 1232–1237, doi: 10.1644/08-MAMM-A-319.1.

Vos J.G., Dybing E., Greim H.A., Ladefoged O., Lambré C., Tarazona J.V. & Vethaak A.D. 2000. Health effects of endocrine-disrupting chemicals on wildlife, with special reference to the European situation. Critical Reviews in Toxicology 30, 71–133, doi: 10.1080/10408440091159176.