RESEARCH NOTE

Hair mineral levels as indicator of wildlife demographics?—a pilot study of muskoxen

Jesper Bruun Mosbacher1, Jean-Pierre Desforges2,3,4, Anders Michelsen5,6, Sophia V. Hansson7, Mikkel Stelvig8, Igor Eulaers3,4, Christian Sonne3,4, Rune Dietz3,4, Bjørn Munro Jenssen3,9,10, Tomasz Maciej Ciesielski9, Syverin Lierhagen11, Trond Peder Flaten11, Gaël Le Roux7, Marie R. Aggerbeck12 & Niels Martin Schmidt3,4

1Department of Ecosystem and Public Health, University of Calgary, Calgary, AB, Canada
2Department of Environmental Studies and Sciences, The University of Winnipeg, Winnipeg, MB, Canada
3Department of Ecoscience, Aarhus University, Roskilde, Denmark
4Arctic Research Centre, Aarhus University, Aarhus, Denmark
5Department of Biology, University of Copenhagen, Copenhagen, Denmark
6Center for Permafrost, University of Copenhagen, Copenhagen, Denmark
7Laboratoire Ecologie Fonctionnelle et Environnement (UMR- 5245), CNRS, Université de Toulouse, Castanet Tolosan, France
8Copenhagen Zoo, Frederiksberg, Denmark
9Department of Biology, Norwegian University of Science and Technology, Trondheim, Norway
10Department of Arctic Technology, University Centre in Svalbard, Longyearbyen, Svalbard, Norway
11Department of Chemistry, Norwegian University of Science and Technology, Trondheim, Norway
12Department of Environmental Science, Aarhus University, Roskilde, Denmark

Abstract

The tight linkage between mineral status and health and demographics in animals is well documented. Mineral deficiencies have been coupled to population declines in wildlife. Current practices typically rely on liver, kidney and/or serum samples to assess mineral levels. Such destructive sampling strategies are, however, not feasible for remote or endangered populations. Hair may constitute an alternative tissue, sampled through non-invasive means, to investigate mineral levels in wildlife. In the pilot study presented here, we examine whether mineral levels in hair samples from a well-studied muskox (Ovibos moschatus) population in High-Arctic Greenland are associated with a vital rate and may, therefore, serve as indicators of wildlife population demographics. We show that inter-annual variations in levels of three minerals—copper, selenium and molybdenum—are associated with fluctuations in annual calf recruitment, with poor recruitment in years of low mineral levels in hair. Local environmental conditions also varied with calf recruitment but appeared to be less robust predictors of calf recruitment than hair mineral levels. Our results suggest that hair mineral levels may serve as an indicator of vital demographic rates and, ultimately, of wildlife population trends.

Keywords
Demographics; minerals; population dynamics; wool; Ovibos moschatus; calf recruitment

Abbreviations
CI: confidence interval
NDVI: normalized difference vegetation index
PCA: principal component analysis
SIMPER: similarity percentage, vegan statistical package

 

Citation: Polar Research 2022, 41, 8543, http://dx.doi.org/10.33265/polar.v41.8543

Copyright: Polar Research 2022. © 2022 J.B. Mosbacher et al. This is an Open Access article distributed under the terms of the Creative Commons Attribution-NonCommercial 4.0 International License (http://creativecommons.org/licenses/by-nc/4.0/), permitting all non-commercial use, distribution, and reproduction in any medium, provided the original work is properly cited.

Published: 09 November 2022

Competing interests and funding: The authors report no conflict of interest.
This research work was supported by The Carlsberg Foundation (CF17-0097), Brdr. Hartmann Foundation (A32156), 15. Juni Foundation and the Danish National Research Foundation (DNRF 100).

Correspondence: Niels Martin Schmidt, Department of Ecoscience, Aarhus University, Frederiksborgvej 399, DK-4000 Roskilde, Denmark. E-mail: nms@ecos.au.dk.

To access the supplementary material, please visit the article landing page

 

Introduction

Knowledge of abundances and population trends is at the core of animal conservation and management. In remote locations or among small or endangered populations, however, monitoring may be challenging. Various (bio)indicators offer practical alternatives, and indicators of animal health status are of particular interest as these may be closely linked to population demographics (Gaillard et al. 2000). In animals, levels of specific minerals are linked to health, survival and reproduction (Kincaid 2000; Underwood 2012), and mineral deficiencies have been associated with population declines (O’Hara et al. 2001; Flueck et al. 2012). Understanding how animal mineral levels and demographics are interlinked is, therefore, crucial for informing wildlife conservation and management strategies. Current management practices typically rely on assessing mineral levels in liver or serum samples (Kincaid 2000), which requires destructive sampling approaches or relies on hunted animals or found carcasses, all of which may be impractical for remote, endangered or declining populations. As a new approach to evaluate mineral status in wildlife, hair sampling and analysis represent a potential viable alternative that is increasingly being used in wildlife populations to assess element levels (e.g., O’Hara et al. 2001; Cygan-Szczegielniak et al. 2018). We, therefore, initiated a pilot study to examine whether mineral levels in hair can be used as an indicator of animal demographics.

Specifically, we investigated whether hair mineral levels are a better indicator of animal demographics than environmental conditions. We targeted a well-studied population of muskox (Ovibos moschatus) in north-east Greenland, from which we obtained hair samples collected over a 13-year period along with local data on calf recruitment (Schmidt et al. 2015) and environmental conditions. The muskox population has shown no clinical signs of mineral deficiency yet has experienced high inter-annual variability in calf recruitment (Supplementary Table S1), which, at least partly, has been attributed to winter conditions (Schmidt et al. 2015). Muskox wool grows from spring through summer and is shed in synchronized spring moults (Flood et al. 1989), making muskox wool a perfect candidate for the noninvasive examination of inter-annual fluctuations mineral levels in animals.

Materials and methods

We collected a total of 101 muskox wool samples from muskoxen from across 13 years over the period 2000–2017 (Supplementary Material) at Zackenberg in north-east Greenland (74°28’N, 20°34’W). The population is one of few well-studied muskox populations in the High Arctic, and, in the almost complete absence of predation, population dynamics is governed primarily by calf recruitment (Schmidt et al. 2015). Shed wool was collected opportunistically from individual clumps separated by a minimum 250 m (often many kilometres), and we assume they derived from different animals. We collected only freshly shed wool (based on consistency and colour) during the summer season (June–August) each year. Prior to chemical analysis, we removed guard hairs and vegetation and washed the wool twice in 96% ethanol and ultrapure water to remove external contamination. Wool samples were then oven-dried (50°C) for a minimum of 24 hr, acid digested and analysed using high-resolution inductively coupled plasma mass spectrometry. A full description of the procedures is given in the Supplementary Material.

To examine whether inter-annual variation in animal hair mineral levels could be linked to calf recruitment, we first split the muskox demography time series from Zackenberg (updated from Schmidt et al. [2015]) into high and low calf recruitment years (Supplementary Table S1). Calf recruitment rates, which are the number of calves per 100 adult females, expressed as a percent, which are above (below) 40% indicate increasing (declining) population size (Reynolds 1998; Schmidt et al. 2015). As wool samples originated from individuals of unknown sex and age, we averaged the mineral content across wool samples from a given year to arrive at an average estimate of the annual mineral level for the population. We focused on 10 essential minerals (Supplementary Table S1) that are known to affect ungulate physiology (Kincaid 2000).

We used a combination of univariate and multivariate approaches to examine whether variation in mineral levels could be linked to muskox recruitment. Because of the potential interaction between minerals (Underwood 2012), we first used PCA to test whether levels of the 10 minerals examined here could be used to separate calf recruitment years. We then used SIMPER analysis with the simper function with 99 permutations (vegan package; Oksanen et al. 2016) to determine the minerals contributing the most to the dissimilarity between the two recruitment groups. Dissimilarity analyses are commonly used in feeding ecology studies of wildlife to investigate differences between a priori selected groups of individuals (e.g., Oxtoby et al. 2017; Choy et al. 2020). To further improve our understanding of the importance of the various minerals, we then re-ran the PCA using only minerals that differed between recruitment groups (p < 0.10 because of the small sample size) to see if a reduced data set could differentiate recruitment groups (vegan package; Oksanen et al. 2016). Finally, to estimate thresholds in minerals levels of importance for muskox recruitment, we first used t-tests to compare the mineral levels between the two recruitment groups. For a more precise estimate of thresholds, we used linear regression to determine the mineral levels associated with a calf recruitment rate of 40% (see above). The number of wool samples in each year was included as a weighing factor, and we used robust variance estimation to relax assumptions of normal distribution.

As calf recruitment also may be linked directly to environmental conditions (Schmidt et al. 2015), we examined whether inter-annual variation in calf recruitment was associated with variations in local conditions related to snow conditions and forage availability (parameters given in the Supplementary Material), using the same approach as for the analyses of mineral levels described above.

Finally, we examined the correlation between the most influential minerals and environmental parameters.

All statistical analyses were conducted using the R software package, version 4.1.1 (R Core Team 2021).

Results and discussion

Muskox calf recruitment rates varied markedly from year to year, with approximately half the years in the study period classified as low calf recruitment years and half as high calf recruitment years (Supplementary Table S1). The PCA including all minerals was unable to separate high and low recruitment years (Fig. 1a), while the PCA including only the most influential minerals (Se, Mo and Cu; Supplementary Table S2) resulted in a clear separation between the two recruitment groups (Fig. 1b). Interestingly, Se and Mo alone were not able to fully separate the two recruitment groups in the PCA, and only by including Cu did the two groups completely separate. The PCA including all environmental parameters also failed to separate high and low calf recruitment years (Fig. 1c), as did the PCA with only the most influential environmental parameters, i.e., the onset of the snow season, the duration of the snow-free season and mean summer NDVI (Fig. 1d).

Fig 1
Fig. 1 PCA of the scaled annual mean levels of (a) all minerals, (b) only the most influential minerals, and the scaled local environmental conditions of (c) all environmental parameters and (d) only the most influential environmental parameters. See the Supplementary Material for further details. Numbers in PCA plots are the annual calf recruitment rates, with high calf recruitment years (>40%) shown in red and low calf recruitment years (<40%) in blue (Supplementary Table S1). Ellipses are the 95% probability ellipses.

Muskoxen at Zackenberg is not migratory and stays within the same area year-round (Beumer et al. 2019). It is, therefore, most likely inter-annual differences in access to forage and not differences in space use, which is the ultimate cause of the inter-annual variations in hair mineral levels. This was supported by the significant differences in environmental conditions between the two calf recruitment groups (Supplementary Table S2), but more importantly, our data suggested a positive association between hair Cu levels and the duration of the snow-free season (Supplementary Table S3). Nonetheless, compared to the environmental parameters, hair mineral levels appeared to be better predictors of demography than the environmental parameters examined here (Fig. 1), likely because of the integrative nature of hair: minerals are incorporated into hair during growth and remain metabolically inactive and chemically stable (Katz & Chatt 1994), thereby representing the conditions over the course of the entire period of growth. This is likely also why hair mineral levels are not always matched by levels in the liver, kidney or blood (Roug et al. 2015).

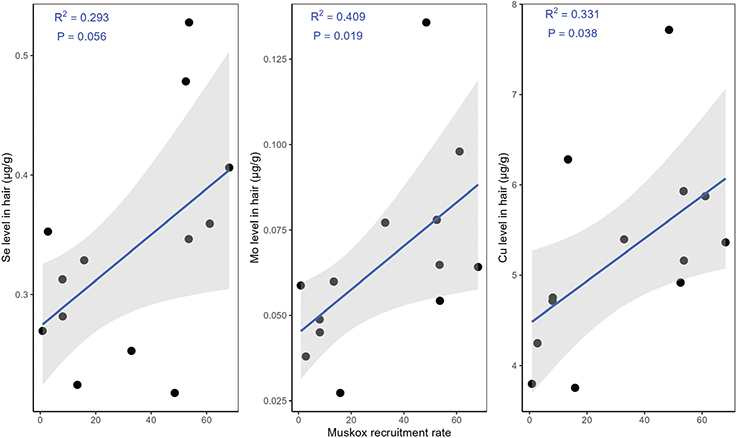
High calf recruitment years were associated with generally high levels of Se, Cu and Mo, and vice versa (Fig. 1b, Supplementary Tables S1, S2). Especially, Cu and Se are known to critically influence ungulate health and population dynamics (Kincaid 2000; Flueck et al. 2012). In muskoxen, Cu is particularly important for calf viability (Rombach et al. 2002b), and considerable amounts of Cu are transferred from the cow to the calf in the last trimester (Rombach et al. 2002a). Also, low calf recruitment has also been associated with low serum Cu in wild muskoxen (Barboza & Reynolds 2004). In our study, the inclusion of Cu was necessary for the complete separation between the two recruitment groups in the PCA. Hence, while animals may be influenced by single minerals, interactions between several minerals in imbalance may be important (Underwood 2012). At Zackenberg, Cu levels were high in 2010, but calf recruitment was low, likely because Se and Mo levels were low (Fig. 1b, Supplementary Table S1). Furthermore, years with very poor calf recruitment (less than 10%) were only observed when the levels of all three minerals were low, whereas poor and intermediate calf recruitment (10–40%) years were characterized by low levels of only two of these three minerals (Supplementary Table S1), indicating important interplay between individual minerals. Mineral levels in serum and liver of muskox are comparable to those of other ungulates (Blakley et al. 2000), but no prior information on hair mineral levels in muskoxen is available. Hence, we relied on other ungulate species for comparisons. The t-tests comparing mineral levels between recruitment groups yielded indications of thresholds for the same three minerals most influential in the SIMPER analysis (Supplementary Table S1). The linear regressions between muskox calf recruitment and the levels of Se, Mo and Cu were all significantly positive (Fig. 2), and we used these relationships to arrive at a more precise estimation of the thresholds in hair mineral levels associated with 40% calf recruitment: 5.30 μg g-1 for Cu (95% CI: 4.62–5.99), 0.34 μg g-1 for Se (95% CI: 0.28–0.41) and 0.07 μg g-1 for Mo (95% CI: 0.05–0.08). Similar thresholds in Cu and Se have been associated with detrimental effects on calf recruitment and survival in moose (Alces alces; O’Hara et al. 2001).

Fig 2
Fig. 2 Linear relationships between muskox recruitment rates and hair levels of the three most influential minerals (see text for further details). Shaded areas are the standard errors based on robust variance estimation.

The results of this pilot study suggest that the integrative nature of hair element levels can reveal inter-annual fluctuations in relative mineral levels, which, in turn, are associated with fluctuations in a vital demographic rate. Yet, we do not know the exact mechanism by which minerals levels may impact the various states of reproduction and calf survival in the Zackenberg muskox population. Still, the association between calf recruitment and mineral levels reported here point to the potential applicability of hair mineral levels as a practical bioindicator, obtained through non-invasive means, of wildlife demographics. Hair shows similar properties across mammal species, and our method may, therefore, be widely applicable in wildlife management and conservation. We do, however, also acknowledge that samples sizes in our study were limited, and the use of hair as a bioindicator for population demographics needs further examination, with respect to how minerals levels in various tissues are controlled, how mineral thresholds differ between species and how environmental conditions modulate the availability of plant minerals to herbivores.

Acknowledgements

We thank the Greenland Ecosystem Monitoring Programme for access to ecosystem data from Zackenberg. The authors wish to thank Frederic Candaudap and Aurélie Marquet (both at the ICP-MS platform at the Observatoirie Midi-Pyrenees, Toulouse France) for assistance with the ICP-MS analyses. We are indebted to all the people who collected and donated wool samples over the years, and to Dr Perry Barboza and an anonymous reviewer for valuable comments to our manuscript.

References

Barboza P.S. & Reynolds P.E. 2004. Monitoring nutrition of a large grazer: muskoxen on the Arctic refuge. International Congress Series 1275, 327–333, doi: 10.1016/j.ics.2004.09.040.
Beumer L.T., Van Beest F.M., Stelvig M. & Schmidt N.M. 2019. Spatiotemporal dynamics in habitat suitability of a large Arctic herbivore: environmental heterogeneity is key to sedentary lifestyle. Global Ecology and Conservation 18, e00647, doi: 10.1016/j.gecco.2019.e00647.
Blakley B.R., Kutz S.J., Tedesco S.C. & Flood P.F. 2000. Trace mineral and vitamin concentations in the liver and serum of wild muskoxen from Victoria Island. Journal of Wildlife Diseases 36, 301–307, doi: 10.7589/0090-3558-36.2.301.
Choy E., Giraldo C., Rosenberg B., Roth J., Ehrman A., Majewski A., Swanson H., Power M., Reist J. & Loseto L. 2020. Variation in the diet of beluga whales in response to changes in prey availability: insights on changes in the Beaufort Sea ecosystem. Marine Ecology Progress Series 647, 195–210, doi: 10.3354/meps13413.
Cygan-Szczegielniak D., Stanek M., Stasiak K., Roslewska A. & Janicki B. 2018. The content of mineral elements and heavy metals in the hair of red deer (Cervus elaphus L.) from selected regions of Poland. Folia Biologica 66, 133–142, doi: 10.3409/fb_66-3.14.
Flood P.F., Stalker M.J. & Rowell J.E. 1989. The hair follicle density and seasonal shedding cycle of the muskox (Ovibos moschatus). Canadian Journal of Zoology 67, 1143–1147, doi: 10.1139/z89-164.
Flueck W.T., Smith-Flueck J.M., Mionczynski J. & Mincher B.J. 2012. The implications of selenium deficiency for wild herbivore conservation: a review. European Journal of Wildlife Research 58, 761–780, doi: 10.1007/s10344-012-0645-z.
Gaillard J.M., Festa-Bianchet M., Yoccoz N.G., Loison A. & Toïgo C. 2000. Temporal variation in fitness components and population dynamics of large herbivores. Annual Review of Ecology and Systematics 31, 367–393, doi: 10.1146/annurev.ecolsys.31.1.367.
Katz S.A. & Chatt A. 1994. The use of hair as a biopsy tissue for trace elements in the human body. In: Application of hair as an indicator for trace elements exposure in man. A review. NAHRES-22. Pp. 1–23. Vienna: International Atomic Energy Agency.
Kincaid R.L. 2000. Assessment of trace mineral status of ruminants: a review. Journal of Animal Science 77, 1–10, doi: 10.2527/jas2000.77E-Suppl1x.
O’Hara T.M., Carroll G., Barboza P., Mueller K., Blake J., Woshner V. & Willetto C. 2001. Mineral and heavy metal status as related to a mortality event and poor recruitment in a moose population in Alaska. Journal of Wildlife Diseases 37, 509–522, doi: 10.7589/0090-3558-37.3.509.
Oksanen J., Blanchet F.G., Kindt R., Legendre P., Minchin P.R., O’Hara R.B., Simpson G.L., Solymos P., Henry M. & Stevens H. 2016. Vegan: community ecology package. R package version 2.3–5. Accessed on the internet at https://cran.r-project.org/web/packages/vegan/index.html on 12 October 2017.
Oxtoby L.E., Horstmann L., Budge S.M., O’Brien D.M., Wang S.W., Schollmeier T. & Wooller M.J. 2017. Resource partitioning between Pacific walruses and bearded seals in the Alaska Arctic and sub-Arctic. Oecologia 184, 385–398, doi: 10.1007/s00442-017-3883-7.
R Core Team. 2021. R: a language and environment for statistical computing. Vienna: R Foundation for Statistical Computing.
Reynolds P.E. 1998. Dynamics and range expansion of a reestablished muskox population. Journal of Wildlife Management 62, 734–744, doi: 10.2307/3802350.
Rombach E.P., Barboza P.S. & Blake J.E. 2002a. Costs of gestation in an Arctic ruminant: copper reserves in muskoxen. Comparative Biochemistry and Physiology Part C 134, 157–168, doi: 10.1016/S1532-0456(02)00222-3.
Rombach E.P., Barboza P.S. & Blake J.E. 2002b. Utilization of copper during lactation and neonatal development in muskoxen. Canadian Journal of Zoology 80, 1460–1469, doi: 10.1139/Z02-139.
Roug A., Swift P.K., Gerstenberg G., Woods L.W., Kreuder-Johnson C., Torres S.G. & Puschner B. 2015. Comparison of trace mineral concentrations in tail hair, body hair, blood, and liver of mule deer (Odocoileus hemionus) in California. Journal of Veterinary Diagnostic Investigation 27, 295–305, doi: 10.1177/1040638715577826.
Schmidt N.M., Pedersen S.H., Mosbacher J.B. & Hansen L.H. 2015. Long-term patterns of muskox (Ovibos moschatus) demographics in High Arctic Greenland. Polar Biology 38, 1667–1675, doi: 10.1007/s00300-015-1733-9.
Underwood E. 2012. Trace elements in human and animal nutrition. 5th edn. London: Academic Press.