RESEARCH ARTICLE
James A. Schaefer
Department of Biology, Trent University, Peterborough, ON, Canada
Climate change portends serious implications for Arctic vegetation. Understanding these effects is likely to be enhanced with long-term observations from permanent plots. I evaluated three decades of change in tundra vegetation from 80 permanent plots on south-eastern Victoria Island, Nunavut, Canada. I compared baseline (1991 and 1992) and contemporary (2019 and 2022) periods in the cover and frequency of graminoids, mosses and common species of forbs, shrubs and lichens. I found substantial shifts in cover of several species and growth forms—an increase in graminoids, decreases in Dryas integrifolia, Polygonum viviparum and Saxifraga oppositifolia, and marginally significant declines in mosses and Cassiope tetragona, but no detectable changes in other groups. The decline in Dryas integrifolia was more pronounced at lower elevations and was noticeable as patches of apparent mortality, inside the plots and elsewhere. The shifts in species abundance were not significantly correlated with each other, nor with changes in soil depth. These changes, manifest as communities with more abundant graminoids, are consistent with expected climate change effects in colder regions of the Arctic. Repeated observations of permanent plots can aid in detecting and understanding long-term ecological change.
Keywords
Climate change; permanent plots; tundra; Dryas integrifolia; Polygonum viviparum; Saxifraga oppositifolia
Abbreviations
NMDS: non-metric multidimensional scaling
SD: standard deviation
Citation: Polar Research 2023, 42, 9560, http://dx.doi.org/10.33265/polar.v42.9560
Copyright: Polar Research 2023. © 2023 J.A. Schaefer. This is an Open Access article distributed under the terms of the Creative Commons Attribution-NonCommercial 4.0 International License (http://creativecommons.org/licenses/by-nc/4.0/), permitting all non-commercial use, distribution, and reproduction in any medium, provided the original work is properly cited.
Published: 08 December 2023
Competing interests and funding: The author reports no conflict of interest.
This project received in-kind support from Polar Knowledge Canada, Polar Continental Shelf Project and Trent University, and funding from the Arctic Species Conservation Fund (WWF-Canada), Kenneth M. Molson Charitable Foundation, Northern Studies Training Program (Polar Knowledge Canada), Symons Trust for Canadian Studies and Trent University.
Correspondence James A. Schaefer, Department of Biology, Trent University, 2140 East Bank Drive, Peterborough, ON, K9L 0G2, Canada. E-mail: jschaefer@trentu.ca
To access the supplementary material, please visit the article landing page
In four decades, the Arctic has exhibited unprecedented, rapid rises in temperature, driven by climate change. The region has warmed almost four times faster than the global average (Rantanen et al. 2022), accompanied by more frequent extremes in temperature and precipitation (Graham et al. 2017; Walsh et al. 2020). Arctic amplification portends serious implications for the biota. Tundra plants, given their key role in ecosystem functioning across trophic levels, represent valuable candidates for monitoring and understanding climate effects (Graae et al. 2009; Myers-Smith et al. 2011; Elmendorf, Henry, Hollister, Björk, Boulanger-Lapointe et al. 2012; Bjorkman et al. 2020; Collins et al. 2021).
The anticipated impacts of climate change have spawned an immense effort to document, interpret and project shifts in the abundance and composition of Arctic vegetation. Although responses may vary, general patterns have emerged. Notably, in the High Arctic where mean summer temperatures do not exceed 10 °C, increases in graminoids are common, whereas in the relatively warmer Low Arctic, shrubs tend to proliferate (Elmendorf, Henry, Hollister, Björk, Bjorkman et al. 2012; Bjorkman et al. 2020; Harris et al. 2021; Heijmans et al. 2022). Shrubification may be driven by increased temperatures that extend the growing season and enhance growth (Myers-Smith et al. 2011; Collins et al. 2021). The proliferation of graminaceous and woody plants is often linked to large-scale ‘greening’ of the tundra—increases in plant productivity and cover, typically at warm, high-elevation sites and with rising summer air temperatures and soil moisture. While less common, ‘browning’—the converse of these conditions—has been documented at several locations, often owing to the die-off of shrubs (Berner et al. 2020).
Nonetheless, discerning changes in Arctic vegetation is a challenge, often clouded by pronounced spatial heterogeneity (Schaefer & Messier 1995b; Ju & Masek 2016), mismatches between short-term and long-term responses (Hill & Henry 2011; Elmendorf, Henry, Hollister, Björk, Bjorkman et al. 2012) and truncated baselines (Mihoub et al. 2017). These are serious impediments to inference. Permanent plots represent a straightforward, yet powerful solution (Elmendorf, Henry, Hollister, Björk, Boulanger-Lapointe et al. 2012; Bjorkman et al. 2020; Harris et al. 2021). Indeed, when extended over decades, repeat observations provide both spatial precision and extended duration. Despite their utility, however, long-term, plot-level studies of Arctic flora remain uncommon (Jorgenson et al. 2015; Bjorkman et al. 2020).
Here, I used permanent plots to examine decadal changes in the abundance and composition of vegetation on south-eastern Victoria Island, Arctic Canada. I capitalized on extant data from 80 such plots (Fig. 1) where, in 1991 and 1992, I measured floral abundance and composition as well as soil depth (Schaefer & Messier 1994). To assess changes over the past three decades, I replicated those measurements during 2019 and 2022. Consistent with climate change effects (Bush & Lemmen 2019), I anticipated greening of the tundra, manifesting as an increase in graminoids, typical of comparatively cold regions in the High Arctic (Kapfer & Grytnes 2017; Myers-Smith et al. 2020), rather than increases in deciduous shrubs, typical of warmer, lower-latitude regions (Myers-Smith et al. 2011; Elmendorf, Henry, Hollister, Björk, Bjorkman et al. 2012; Elmendorf, Henry, Hollister, Björk, Boulanger-Lapointe et al. 2012; Bjorkman et al. 2020; Harris et al. 2021).
Fig. 1 The study area on south-eastern Victoria Island, Nunavut, Canada, 1991–2022, illustrating the arrangement of permanent plots along two transects. The contour interval is 25 m.
My study took place near Wellington Bay, Nunavut, Canada (69 °25’15”N, 106 °16’32”W). During 1991–93, I quantified vegetation and snow-cover as part of a study of the behaviour and habitat selection of muskoxen (Schaefer & Messier 1994, 1995a, b). The area is classified as non-tussock sedge dwarf-shrub moss tundra of Subzone D: moist tundra, dominated by sedges and dwarf shrubs <40 cm in height (Walker et al. 2005).
Since the late 1940s, temperatures have risen substantially in the nearby community of Cambridge Bay, 60 km to the south-east—by 0.30 C°/decade in mean July temperature (Panchen 2016; Buchkowski et al. 2020) and by 0.40 C°/decade in mean annual temperature (Buchkowski et al. 2020). Since 1960, winter snow depth has increased by 1.1 cm/decade (Lam et al. 2022). For the period relevant to my study, I computed from the most recent Environment Canada records (https://climate.weather.gc.ca) that the average July temperature during 1971–1992 was 7.9 °C, compared to 9.4 °C during 1993–2014. From 1971 to 2014, on average, the mean July temperature rose by 0.49 C°/decade (p = 0.009); total July precipitation rose by 4.3 mm/decade (p = 0.033).
My observations were derived from plots centred at aluminum stakes, established in 1991. In August of that year, using a topographic map and 100-m tape, my field assistant and I erected the stakes systematically along two transects, each 5.8 km long (Fig. 1). One transect ran south to north, the other west to east. Each transect comprised 30 stakes at 200-m intervals, plus 10 ‘additional’ stakes along the transect, erected 50 m from the first stake and every third stake thereafter. My study comprised 80 stakes in total (Schaefer & Messier 1994).
During 2019 and 2022, I returned to the study area and found all but two of the original stakes. For the two missing stakes, we re-established their locations by interpolating between the pair of neighbouring stakes. We recorded the geographic coordinates of each stake using GPS (Fig. 1).
For this assessment, I compared observations of vegetation and soil from the baseline period, 6–8 and 14 August 1991 and 10–11 and 20 August 1992 (Schaefer & Messier 1994), with those from the contemporary period, 10–13 August 2019 and 13–16 August 2022. I used consistent protocols for these measurements (Schaefer & Messier 1994). We laid a 1 × 1-m plot, centred at each stake and aligned approximately in four cardinal directions and composed of 16 25 × 25-cm contiguous subplots. In each subplot, we estimated the cover of each common species of shrubs, forbs and lichens, as well as the broad categories of graminoids and mosses, in classes of 1%, 5%, 10%, 20%, 30% … 100%. Hereafter, I refer to all such categories as species, irrespective of taxonomic level. In addition, at each plot, we measured the depth of soil to rock or to permafrost using a metal rod. I also determined elevation, recorded as the lower bound of each 10-m contour interval from 1:50 000 digital topographic maps (CanVec Series, Natural Resources Canada).
I treated the 1-m2 plot as the experimental unit. I used two expressions of abundance for each species: cover and frequency (Bonham 2013). For cover, I averaged the values of cover in the 16 subplots. For frequency, I computed the percentage of the 16 subplots that were occupied.
There were some differences in field protocols between periods. During 1991 and 1992, we did not record soil depth in five of the plots. As well, during 1991 and 1992, in the additional plots, we estimated coverage in the whole 1-m2 plot (in classes of 1%, 5%, 10%, 20%, 30% … 100%) rather than in each of 16 subplots. Hence, to make these vegetation observations comparable between periods, I converted the 2019 and 2022 data in the additional plots to the same format as in 1991 and 1992: I rounded the average cover in the 16 subplots to the nearest cover class (1%, 5%, 10%, 20%, 30% … 100%) for the whole plot.
These data, plus contemporary photographs of the plots, are available at Borealis, the Canadian Dataverse Repository (dois: 10.5683/SP3/Z9LXDP and 10.5683/SP3/ZRK48T).
To evaluate changes between baseline and contemporary periods, I applied a combination of multivariate and univariate statistics. I retained species with ≥10% frequency, in aggregate for all plots across both periods. I conducted these analyses using Statistica version 13.3 (Tibco), except for the ordination and autocorrelation analyses, for which I used PAST version 4.13 (Hammer et al. 2001).
To characterize the change in each species’ abundance across the study area, I calculated the mean cover (and SD) from all 80 plots. To express changes between periods, I computed differences as c – b, where c is the mean cover during the contemporary period and b is the mean cover during the baseline period; I also computed the proportional change between periods as (c – b) / b × 100%. Finally, I calculated the mean frequency (and SD) from all 60 plots (i.e., where subplots were used in both periods).
To test for changes in vegetation abundance, I applied Wilcoxon matched pairs tests (given the lack of normality in paired differences) to the differences in cover and in frequency of each species. Because I considered double-zeros uninformative, I included only cases where the species was present in the plot during at least one of the periods. I omitted plots that were, for example, devoid of soil and vegetation, such as raised beaches (n = 3) and lakes (n = 2). To control the family-wise error rate, given these multiple tests, I applied a Bonferroni correction (i.e., α = 0.05 ÷ 13 species ≈ 0.004). I tested the assumption of independence among the plots by computing Moran’s I on the differences in graminoid cover (a key study outcome) as a function of the spacing between plot pairs. This correlogram revealed no significant autocorrelation, even at the shortest distance classes (Supplementary Fig. S1). The assumption of independence appears to be satisfied.
In our measurements of soil depth, we could not discern the substrate, whether permafrost or rock. On south-eastern Victoria Island, permafrost is typically 0.5–1.0 m deep (Kim et al. 2021). Therefore, to provide a reasonable approximation of changes in active soil thickness, I focussed on plots where soil was more likely underlain by permafrost rather than rock, i.e., where soil depth ≥50 cm (during 1991 and 1992). I applied Wilcoxon-matched pairs tests to those plots.
To test for correspondence among plot-level changes in vegetation as well as with physical features, I computed Spearman rank correlations to the differences in cover (and in soil depth) among the species displaying significant change between periods: graminoids, Dryas integrifolia, Polygonum viviparum and Saxifraga oppositifolia (Table 1). To control the family-wise error rate, I applied a Bonferroni correction (i.e., α = 0.05 ÷ 10 correlations = 0.005). I also tested whether these vegetation changes were related to elevation. I computed gamma coefficients (given the numerous ties) between elevation and the changes in cover of these same four species, again with a Bonferroni correction (i.e., α = 0.05 ÷ 4 correlations ≈ 0.01). Finally, given the differences in topography between North and South transects, I tested for differences between transects in the changes in cover of these four species using Mann–Whitney tests.
| Species or group | Code | Period | Cover | Frequency | ||||||||
| Mean (%) | SD | Wilcoxon-matched pairs test | Mean (%)a | SD | Wilcoxon-matched pairs test | |||||||
| nb | Z | p | nb | Z | p | |||||||
| Graminoids | GRA | 1991, 1992 | 19.08 | 15.89 | 73 | 2.951 | 0.0032 | 91.4 | 26.6 | 56 | 0.943 | 0.3454 |
| 2019, 2022 | 22.70 | 16.73 | 92.6 | 25.2 | ||||||||
| Dryas integrifolia | DRY | 1991, 1992 | 17.97 | 12.73 | 69 | 5.574 | <0.0001 | 76.3 | 37.0 | 53 | 0.943 | 0.3458 |
| 2019, 2022 | 11.51 | 9.84 | 74.4 | 36.4 | ||||||||
| Salix spp. | SSP | 1991, 1992 | 4.12 | 5.01 | 61 | 1.411 | 0.1582 | 42.7 | 35.0 | 46 | 1.038 | 0.2994 |
| 2019, 2022 | 3.56 | 4.81 | 39.4 | 34.7 | ||||||||
| Salix richardsonii | SAR | 1991, 1992 | 2.77 | 5.99 | 38 | 0.120 | 0.9047 | 14.2 | 26.8 | 29 | 1.171 | 0.2416 |
| 2019, 2022 | 2.55 | 4.94 | 16.3 | 27.8 | ||||||||
| Equisetum spp. | EQU | 1991, 1992 | 0.10 | 0.27 | 21 | 0.568 | 0.5700 | 7.0 | 20.3 | 15 | 0.471 | 0.6378 |
| 2019, 2022 | 0.13 | 0.30 | 6.7 | 19.1 | ||||||||
| Pedicularis spp. | PED | 1991, 1992 | 0.46 | 0.83 | 60 | 0.849 | 0.3958 | 14.4 | 16.4 | 50 | 1.000 | 0.3173 |
| 2019, 2022 | 0.38 | 0.64 | 11.7 | 16.7 | ||||||||
| Oxytropis spp. | OXY | 1991, 1992 | 0.86 | 2.00 | 32 | 2.019 | 0.0434 | 13.3 | 23.3 | 27 | 0.925 | 0.3550 |
| 2019, 2022 | 0.46 | 0.99 | 10.9 | 19.5 | ||||||||
| Polygonum viviparum | POL | 1991, 1992 | 0.35 | 0.39 | 53 | 3.752 | 0.0002 | 25.5 | 27.1 | 40 | 4.591 | <0.0001 |
| 2019, 2022 | 0.20 | 0.34 | 9.5 | 17.4 | ||||||||
| Saxifraga oppositifolia | SAX | 1991, 1992 | 0.97 | 1.68 | 40 | 5.090 | <0.0001 | 21.9 | 28.9 | 31 | 4.552 | <0.0001 |
| 2019, 2022 | 0.10 | 0.25 | 4.6 | 9.8 | ||||||||
| Cassiope tetragona | CAS | 1991, 1992 | 0.94 | 2.81 | 15 | 2.229 | 0.0258 | 9.0 | 26.1 | 9 | 0.770 | 0.4412 |
| 2019, 2022 | 0.36 | 1.06 | 7.2 | 23.7 | ||||||||
| Mosses | MOS | 1991, 1992 | 4.06 | 5.34 | 74 | 2.575 | 0.0100 | 56.6 | 36.1 | 56 | 2.364 | 0.0181 |
| 2019, 2022 | 2.90 | 3.88 | 45.3 | 34.7 | ||||||||
| Cetraria cucullata | CEC | 1991, 1992 | 0.98 | 2.00 | 39 | 0.231 | 0.8175 | 26.4 | 36.4 | 30 | 2.179 | 0.0293 |
| 2019, 2022 | 0.95 | 1.88 | 20.9 | 33.2 | ||||||||
| Cetraria nivalis | CEN | 1991, 1992 | 0.15 | 0.43 | 20 | 0.189 | 0.8498 | 8.1 | 24.1 | 14 | 0.245 | 0.8068 |
| 2019, 2022 | 0.18 | 0.45 | 9.0 | 24.1 | ||||||||
| aFrequency expressed as percent occupancy in 25 × 25-cm subplots. bFor the Wilcoxon tests, n = number of paired 1 × 1-m plots where the species was present during at least one period. |
||||||||||||
To characterize shifts in vegetation communities, I carried out NMDS based on a matrix of euclidean distances (Kenkel & Orloci 1986) using the vegetation data from both periods. I tested for changes between periods with Wilcoxon-matched pairs tests on scores on each of the first two NMDS axes. To depict relationships of flora with the physical environment, I included soil depth and elevation as supplementary variables in the ordination. To test for relationships between these physical features and vegetation, as well as their consistency between periods, I computed Spearman correlations (for soil) and gamma (for elevation) to score on the first two NMDS axes, separately for each axis and each period. Again, to maintain a conservative family-wise error rate, I applied a Bonferroni correction (i.e., α = 0.05 ÷ 8 correlations ≈ 0.005).
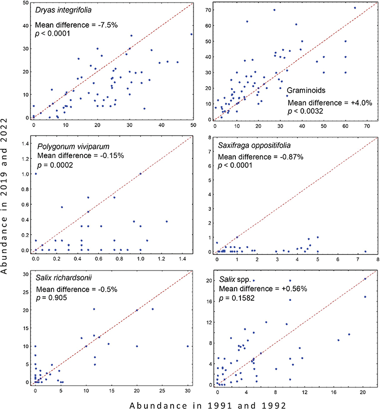
After three decades, the permanent plots at Wellington Bay displayed appreciable shifts in vegetation abundance and composition (Table 1, Fig. 2). Compared to the baseline period, the contemporary period showed an increase in graminoids (proportional change in cover = +19%) and declines in Dryas integrifolia (–36%), Polygonum viviparum (-43%) and Saxifraga oppositifolia (-90%; Fig. 2). The decline in Dryas integrifolia, in particular, was noticeable as patchy, apparent mortality of this shrub, in the plots and elsewhere (Fig. 3). I detected no significant changes in other forbs and shrubs, nor in lichens, although declines in the cover of Cassiope tetragona (p = 0.026) and in the cover (p = 0.010) and frequency (p = 0.018) of mosses were marginally statistically significant (Bonferroni-corrected α = 0.004; Table 1). Only species with the largest declines in cover showed significant changes in frequency: Polygonum viviparum (25.5 to 9.5%) and Saxifraga oppositifolia (21.9 to 4.6%). Soil was significantly deeper during the contemporary period when analysed across all plots (mean = +7.9 cm; n = 70, Z = 3.582, p < 0.001), but I found no significant change in the plots more likely underlain by permafrost, i.e., with ≥50 cm soil depth (n = 26, Z = 0.161, p = 0.872). Even within a plot, soil depth was often erratic.
Fig. 2 Cover of plant species between baseline (1991 and 1992) and contemporary (2019 and 2022) periods in the study area. The dashed line (Y = X) represents equality between periods. Results of the Wilcoxon-matched pairs test are shown in each panel.
Fig. 3 (a) An example of apparent dieback of Dryas integrifolia, photographed in August 2022. (b) A 1 × 1-m plot, photographed August 2019, in which the abundance of D. integrifolia declined by more than half compared to the baseline period—from 29.4% cover in 1991 to 12.6% cover in 2019.
I found little correspondence among these changes among species. Based on Spearman rank correlations, difference in soil depth was not significantly correlated with differences in the cover of graminoids, Dryas integrifolia, Polygonum viviparum and Saxifraga oppositifolia (-0.108 < rs < 0.075; p > 0.05). Nor were the differences in cover among these four species significantly correlated with each other (-0.383 < rs < 0.122; p > 0.01; Bonferroni-corrected α = 0.005). On the other hand, based on the gamma coefficient, differences in the cover of Dryas integrifolia were noticeably related to topography, with larger declines at lower elevations (γ = 0.267, n = 69, Z = 2.939, p = 0.003; Fig. 4). Similarly, given that the North transect traversed generally higher elevations (Fig. 1), the decline in D. integrifolia was more pronounced along the South transect (Mann–Whitney test; p = 0.043; Supplementary Table S1). Changes in the other three species were neither significantly related to elevation (p > 0.15) nor appreciably different between the two transects (p > 0.064), although Saxifraga oppositifolia showed marginally larger declines at higher elevations (γ = -0.250, n = 40, Z = 2.100, p = 0.034; Bonferroni-corrected α = 0.01).
Fig. 4 Proportional change in the cover of Dryas integrifolia in the study area, between baseline (1991 and 1992) and contemporary periods (2019 and 2022) relative to elevation. Elevation classes are expressed as the lower bound of each contour interval. Boxes denote 25th and 75th percentiles; lines inside the boxes indicate medians; whiskers indicate 90th and 10th percentiles; and points indicate outliers.
Despite the lack of correspondence in changes among species pairs, NMDS revealed a community shift toward more abundant graminoids coupled with reductions in several shrubs and forbs (Fig. 5). Compared to the baseline period, scores during the contemporary period were significantly lower on the first (n = 80, Z = 3.616, p < 0.001) and second axes (n = 80, Z = 4.720, p < 0.001; Bonferroni-corrected α = 0.005), reflecting the gain in graminoids and the losses in such species as Cassiope tetragona, Dryas integrifolia, Oxytropis spp., Polygonum viviparum and Saxifraga oppositifolia (Fig 5). Moreover, soil depth was correlated with the vegetation assemblages, as revealed by its negative correlations with scores on the first axis during the baseline (rs = -0.422, n = 74, p < 0.001) and contemporary periods (rs = -0.479, n = 79, p < 0.001), but not with scores on the second axis during either period (rs < 0.275, p > 0.017; Bonferroni-corrected α = 0.005). Elevation, too, was positively correlated with the scores on first NMDS axis during the contemporary period (γ = 0.236, n = 80, p = 0.005), a pattern that was only marginally significant during the baseline period (γ = 0.211, n = 80, p = 0.011). Scores on the second axis were not correlated with elevation during either period (-0.172 < γ < 0.008, p > 0.039; Bonferroni-corrected α = 0.005). Largely irrespective of period, graminoid-dominated communities were characterized by deeper soils and lower elevations (Fig. 5).
Fig. 5 NMDS of vegetation during baseline (1991 and 1992) and contemporary (2019 and 2022) periods. (a) Column scores of species; elevation (ELEV) and soil depth (SOIL) are included as supplementary variables (at 1:10 scale). Species codes as in Table 1. (b) Scores on the first two NMDS axes for plots during the baseline (1991 and 1992) and contemporary (2019 and 2022) periods.
On south-eastern Victoria Island, a region undergoing rapid climate change (Panchen 2016; Bush & Lemmen 2019; Buchkowski et al. 2020), I discovered pronounced shifts in vegetation after three decades: a marked increase in graminoids, along with substantial declines in Dryas integrifolia, Polygonum viviparum and Saxifraga oppositifolia (Table 1, Figs. 2, 5). Without repeated observations, these changes likely would have gone undetected. For example, when plots were treated as pairs, the rise in graminoid cover was evident in 63% of cases (i.e., 46/73 observations above the line of equality; Fig. 2), but this increase was statistically insignificant when the data were treated as independent samples (Mann–Whitney U test, n1 = n2 = 80, p = 0.130). The value of permanent plots is clear. Indeed, parsing out spatial variation and discerning temporal change in the Arctic may depend on longitudinal studies that span decades (Elmendorf, Henry, Hollister, Björk, Bjorkman et al. 2012; Panchen & Gorelick 2015; Panchen et al. 2021).
Nevertheless, despite the wealth of evidence of climate effects on Arctic flora (Elmendorf, Henry, Hollister, Björk, Bjorkman et al. 2012; Elmendorf, Henry, Hollister, Björk, Boulanger-Lapointe et al. 2012; Collins et al. 2021), observational studies such as mine may be prone to other, confounding influences. Here, two factors deserve consideration. First, caribou and muskoxen, important herbivores in the region, were numerous during the 1990s to mid-2000s; both species are likely food-limited (Schaefer & Messier 1995a; Tomaselli et al. 2018). However, caribou were transient in the study area; muskoxen displayed only modest grazing and browsing intensity (Schaefer & Messier 1995a), implying negligible effects of large herbivore foraging. Second, these permanent plots were also monitored for nival conditions during two winters, when we cut vertical snow profiles close to the stake and potentially disturbed the vegetation (Schaefer & Messier 1995b). I cannot entirely discount that this activity may have caused at least some of the vegetation change. My inferences should, therefore, be treated cautiously.
General patterns are emerging of how Arctic vegetation responds to climate change. These syntheses reveal, for instance, that warming often induces greening of the tundra, typically driven by the proliferation of shrubs at lower latitudes and graminoids at higher latitudes (Elmendorf, Henry, Hollister, Björk, Bjorkman et al. 2012; Elmendorf, Henry, Hollister, Björk, Boulanger-Lapointe et al. 2012; Bjorkman et al. 2020; Heijmans et al. 2022). At the same time, browning of the tundra, potentially serious declines in biomass and productivity, is not uncommon (Berner et al. 2020; Myers-Smith et al. 2020). Many responses are also site- and species-specific (Bjorkman et al. 2020), underscoring that ecology is rife with interactions.
My results largely align with these expectations. Most notably, the increase in graminoids was widespread and substantial—in three decades, a proportional change in cover of +19% (Table 1; Fig. 2). Graminoids often respond positively to warming (Kapfer & Grytnes 2017; Bjorkman et al. 2020) and perhaps more rapidly to weather conditions than other plant groups (Jorgenson et al. 2015). Increases in graminoids tend to prevail at colder Arctic sites (summer temperature <10 °C; Hill & Henry 2011; Elmendorf, Henry, Hollister, Björk, Bjorkman et al. 2012), such as Wellington Bay. As dominant plants (Schaefer & Messier 1994), such shifts in graminaceous vegetation likely constitute important changes at the ecosystem level (Hill & Henry 2011). Sedges and grasses are principal forages for muskoxen and caribou (Schaefer and Messier 1995a; COSEWIC 2017), and they differ markedly from other plant growth forms in their effects on nutrient cycling (Hobbie 1996).
The greening of the tundra is not universal, however (Berner et al. 2020). In my study, the decline in Dryas integrifolia—whose abundance fell by more than one-third (Fig. 2)—contributed to patchy browning at many locales (Fig. 3). This dwarf shrub is sensitive to temperature variations (Robinson & Henry 2018; Panchen 2022) and may exhibit recruitment failure in the face of temperature extremes (Panchen et al. 2021). The decline of D. integrifolia was more precipitous at lower elevations (Fig. 4) reflecting wetter conditions (Schaefer & Messier 1994), consistent with greater community responses in moist habitats (Elmendorf, Henry, Hollister, Björk, Boulanger-Lapointe et al. 2012; Bjorkman et al. 2020) and browning at low elevation (Berner et al. 2020). Rain-on-snow events, likely to increase in the Arctic (Walsh et al. 2020), can contribute to such browning (Phoenix & Bjerke 2016; Bjerke et al. 2017).
Although diminutive in stature, Polygonum viviparum and Saxifraga oppositifolia also displayed sharp reductions in both cover and frequency (Table 1), including their disappearance from several plots (Fig. 2). For Polygonum viviparum, responses to climate change have been variable. Under experimental conditions, this forb exhibited lower establishment after warming (Graae et al. 2009) and reduced physiological performance after successive heatwaves (Marchand et al. 2006). In observational studies, however, P. viviparum increased at some High Arctic sites over decades (Hill & Henry 2011; Kapfer & Grytnes 2017), whereas the species disappeared from an alpine site in Vermont over the course of a century (Zika 1993). Saxifraga oppositifolia appears susceptible to warming, drought stress and competition from other plants (Panchen & Gorelick 2015; Kobiv 2017; Opala-Owczarek et al. 2018), evident as lower growth and impaired reproductive performance (Stenström et al. 1997). While I am unaware of declines of S. oppositifolia elsewhere, Panchen & Gorelick (2015) reported the disappearance of five of 25 plants during seven years of monitoring, implying an appreciate rate of mortality. At Wellington Bay, corroboration of the decreasing trends in Polygonum viviparum, Saxifraga oppositifolia as well as the marginal declines in mosses and Cassiope tetragona (Table 1)—from local knowledge or extensive plant surveys, for instance—would be valuable.
Lack of change constitutes the most frequent response of Arctic vegetation to warming (Pattison et al. 2015; Bjorkman et al. 2020), including most species in my study (Table 1). I also failed to detect a change in soil depth (Hill & Henry 2011), a feature prone to year-to-year variation and inconsistent short-term trends (Smith et al. 2017). For the flora, the absence of change also implies some climatic resistance, at least over decades (Prach et al. 2010; Bjorkman et al. 2020; Jónsdóttir et al. 2023). The lack of shrubification—there were discernable increases neither in the erect willow Salix richardsonii nor in prostrate willows (Fig. 2)—reiterates patterns elsewhere in the High Arctic (Elmendorf, Henry, Hollister, Björk, Boulanger-Lapointe et al. 2012; Kapfer & Grytnes 2017; cf. Hill & Henry 2011), as well as at Walker Bay, 140 km to the south-west (Buchkowski et al. 2020). Declines in mosses—in my study, manifest in both cover and frequency, albeit marginally significant (Table 1)—is another widespread trend (Elmendorf, Henry, Hollister, Björk, Bjorkman et al. 2012; Elmendorf, Henry, Hollister, Björk, Boulanger-Lapointe et al. 2012; Bjorkman et al. 2020).
For deciphering vegetation change, my study highlights the leverage from repeated, spatially precise observations. At the same time, such mensurative studies may be prone to confounding influences (Collins et al. 2021), underscoring the need for corroboration and for caution in interpretation. After three decades at the Wellington Bay, the changes in vegetation—in particular, more abundant graminoids but no apparent change in willows—are consistent with shifts in relatively cold regions of the High Arctic. With continuing warming, where summer temperatures could soon exceed 10 °C, a transition to shrub expansion might be anticipated (Elmendorf, Henry, Hollister, Björk, Bjorkman et al. 2012). Sustained monitoring will be key to testing that hypothesis.
In ecology, understanding long-term change demands long-term investment (Lindenmayer et al. 2015). At the same time, the rapidity of Arctic climate change (Bush & Lemmen 2019; Rantanen et al. 2022) underscores the urgency to assembling key knowledge about the biota. Retrospective analyses from permanent plots can provide immediate opportunities to uncover long-term trends. Seizing opportunities for sustained monitoring, for example, using permanent plots and taking advantage of existing data sets, will be an important part of that effort.
The author thanks Joshua Russell, K. Marcus Schaefer and Peter Schaefer for their assistance in the field during 2019 and 2022. Staff from the Canadian High Arctic Research Station helped coordinate the field logistics. Two anonymous reviewers provided many constructive comments on the manuscript.
| Berner L.T., Massey R., Jantz P., Forbes B.C., Macias-Fauria M., Myers-Smith I., Kumpula T., Gauthier G., Andreu-Hayles L., Gaglioti B.V., Burns P., Zetterberg P., D’Arrigo R. & Goetz S.J. 2020. Summer warming explains widespread but not uniform greening in the Arctic tundra biome. Nature Communications 11, article no. 4621, doi: 10.1038/s41467-020-18479-5. |
| Bonham C.D. 2013. Measurements for terrestrial vegetation. 2nd edn. Oxford: John Wiley & Sons. |
| Bjerke J.W., Treharne R., Vikhamar-Schuler D., Karlsen S.R., Ravolainen V., Bokhorst S., Phoenix G.K., Bochenek Z. & Tømmervik H. 2017. Understanding the drivers of extensive plant damage in boreal and Arctic ecosystems: insights from field surveys in the aftermath of damage. Science of the Total Environment 599–600, 1965–1976, doi: 10.1016/j.scitotenv.2017.05.050. |
| Bjorkman A.D., García Criado M., Myers-Smith I.H., Ravolainen V., Jónsdóttir I.S., Westergaard K.B., Lawler J.P., Aronsson M., Bennett B., Gardfjell H., Heiðmarsson S., Stewart L. & Normand S. 2020. Status and trends in Arctic vegetation: evidence from experimental warming and long-term monitoring. Ambio 49, 678–692, doi: 10.1007/s13280-019-01161-6. |
| Buchkowski R.W., Morris D.W., Halliday W.D., Dupuch A.L., Morrissette-Boileau C. & Boudreau S. 2020. Warmer temperatures promote shrub radial growth but not cover in the central Canadian Arctic. Arctic, Antarctic, and Alpine Research 52, 582–595, doi: 10.1080/15230430.2020.1824558. |
| Bush E. & Lemmen D.S. 2019. Canada’s changing climate report. Ottawa: Government of Canada. |
| Collins C.G., Elmendorf S.C., Hollister R.D., Henry G.H.R., Clark K., Bjorkman A.D., Myers-Smith I.H., Prevey J.S., Ashton I.W., Assmann J.J., Alatalo J.M., Carbognani M., Chisholm C., Cooper E.J., Forrester C., Jonsdottir I.S., Klanderud K., Kopp C.W., Livensperger C., Mauritz M., May J.L., Molau U., Oberbauer S.F., Ogburn E., Panchen Z.A., Petraglia A., Post E., Rixen C., Rodenhizer H., Schuur E.A.G., Semenchuk P., Smith J.G., Steltzer H., Totland O., Walker M.D., Welker J.M. & Suding K.N. 2021. Experimental warming differentially affects vegetative and reproductive phenology of tundra plants. Nature Communications 12, article no. 3442, doi: 10.1038/s41467-021-23841-2. |
| COSEWIC. 2017 COSEWIC assessment and status report on the caribou (Rangifer tarandus) Dolphin and Union population in Canada 2017. Committee on the Status of Endangered Wildlife in Canada. Accessed on the internet at https://www.canada.ca/en/environment-climate-change/services/species-risk-public-registry/cosewic-assessments-status-reports/caribou-dolphin-union-2017.html on 18 July 2023. |
| Elmendorf S.C., Henry G.H.R., Hollister R.D., Björk R.G., Bjorkman A.D., Callaghan T.V., Collier L.S., Cooper E.J., Cornelissen J.H.C., Day T.A., Fosaa A.M., Gould W.A., Grétarsdóttir J., Harte J., Hermanutz L., Hik D.S., Hofgaard A., Jarrad F., Jónsdóttir I.S., Keuper F., Klanderud K., Klein J.A., Koh S., Kudo G., Lang S.I., Loewen V., May J.L., Mercado J., Michelsen A., Molau U., Myers-Smith I.H., Oberbauer S.F., Pieper S., Post E., Rixen C., Robinson C.H., Schmidt N.M., Shaver G.R., Stenström A., Tolvanen A., Totland Ø., Troxler T., Wahren C.H., Webber P.J., Welker J.M. & Wookey P.A. 2012. Global assessment of experimental climate warming on tundra vegetation: heterogeneity over space and time. Ecology Letters 15, 164–175, doi: 10.1111/j.1461-0248.2011.01716.x. |
| Elmendorf S.C., Henry G.H.R., Hollister R.D., Björk R.G., Boulanger-Lapointe N.M., Cooper E.J., Cornelissen J.H.C., Day T.A., Dorrepaal E., Elumeeva T.G., Gill M., Gould W.A., Harte J., Hik D.S., Hofgaard A., Johnson D.R., Johnstone J.F., Jónsdóttir I.S., Jorgenson J.C., Klanderud K., Klein J.A., Koh S., Kudo G., Lara M., Lévesque E., Magnússon B., May J.L., Mercado-Díaz J.A., Michelsen A., Molau U., Myers-Smith I.H., Oberbauer S.F., Onipchenko V.G., Rixen C., Martin Schmidt N., Shaver G.R., Spasojevic M.J., Þórhallsdóttir Þ.E., Tolvanen A., Troxler T., Tweedie C.E., Villareal S., Wahren C.H., Walker X., Webber P.J., Welker J.M. & Wipf S. 2012. Plot-scale evidence of tundra vegetation change and links to recent summer warming. Nature Climate Change 2, 453–457, doi: 10.1038/nclimate1465. |
| Graae B.J., Ejrnaes R., Marchand F.L., Milbau A., Shevtsova A., Beyens L. & Nijs I. 2009. The effect of an early-season short-term heat pulse on plant recruitment in the Arctic. Polar Biology 32, 1117–1126, doi: 10.1007/s00300-009-0608-3. |
| Graham R.M., Cohen L., Petty A.A., Boisvert L.N., Rinke A., Hudson S.R., Nicolaus M. & Granskog M.A. 2017. Increasing frequency and duration of Arctic winter warming events. Geophysical Research Letters 44, 6974–6983, doi: 10.1002/2017GL073395. |
| Hammer Ø., Harper D.A. & Ryan P.D. 2001. PAST: paleontological statistics software package for education and data analysis. Palaeontologia Electronica 4, article no. 1. |
| Harris J.A., Hollister R.D., Botting T.F., Tweedie C.E., Betway K.R., May J.L., Barrett R.T.S., Leibig J.A., Christoffersen H.L., Vargas S.A., Orejel M. & Fuson T.L. 2021. Understanding the climate impacts on decadal vegetation change in northern Alaska. Arctic Science 8, 878–898, doi: 10.1139/as-2020-0050. |
| Heijmans M.M.P.D., Magnússon R.Í., Lara M.J., Frost G.V., Myers-Smith I.H., van Huissteden J., Jorgenson M.T., Fedorov A.N., Epstein H.E., Lawrence D.M. & Limpens J. 2022. Tundra vegetation change and impacts on permafrost. Nature Reviews on Earth and Environment 3, 68–84, doi: 10.1038/s43017-021-00233-0. |
| Hill G.B. & Henry G.H.R. 2011. Responses of High Arctic wet sedge tundra to climate warming since 1980. Global Change Biology 17, 276–287, doi: 10.1111/j.1365-2486.2010.02244.x. |
| Hobbie S.E. 1996. Temperature and plant species control over litter decomposition in Alaskan tundra. Ecological Monographs 66, 503–522, doi: 10.2307/2963492. |
| Jónsdóttir I.S., Halbritter A.H., Christiansen C.T., Althuizen I.H.J., Haugum S.V., Henn J.J., Björnsdóttir K., Maitner B.S., Malhi Y., Michaletz S.T., Roos R.E., Klanderud K., Lee H., Enquist B.J. & Vandvik V. 2023. Intraspecific trait variability is a key feature underlying high Arctic plant community resistance to climate warming. Ecological Monographs 93, e1555, doi: 10.1002/ecm.1555. |
| Jorgenson J.C., Raynolds M.K., Reynolds J.H. & Benson A.M. 2015. Twenty-five year record of changes in plant cover on tundra of northeastern Alaska. Arctic, Antarctic, and Alpine Research 47, 785–806, doi: 10.1657/AAAR0014-097. |
| Ju J. & Masek J.G. 2016. The vegetation greenness trend in Canada and US Alaska from 1984–2012 Landsat data. Remote Sensing of Environment 176, 1–16, doi: 10.1016/j.rse.2016.01.001. |
| Kapfer J. & Grytnes J.A. 2017. Large climate change, large effect? Vegetation changes over the past century in the European High Arctic. Applied Vegetation Science 20, 204–214, doi: 10.1111/avsc.12280. |
| Kenkel N.C. & Orloci L. 1986. Applying metric and nonmetric multidimensional-scaling to ecological-studies—some new results. Ecology 67, 919–928, doi: 10.2307/1939814. |
| Kim K., Lee J., Ju H., Jung J.Y., Chae N., Chi J., Kwon M.J., Lee B.Y., Wagner J. & Kim J.S. 2021. Time-lapse electrical resistivity tomography and ground penetrating radar mapping of the active layer of permafrost across a snow fence in Cambridge Bay, Nunavut Territory, Canada: correlation interpretation using vegetation and meteorological data. Geosciences Journal 25, 877–890, doi: 10.1007/s12303-021-0021-7. |
| Kobiv Y. 2017. Response of rare alpine plant species to climate change in the Ukrainian Carpathians. Folia Geobotanica 52, 217–226, doi: 10.1007/s12224-016-9270-z. |
| Lam H.M., Geldsetzer T., Howell S.E.L. & Yackel J. 2022. Snow depth on sea ice and on land in the Canadian Arctic from long-term observations. Atmosphere–Ocean 2022, 217–233, doi: 10.1080/07055900.2022.2060178. |
| Lindenmayer D.B., Burns E.L., Tennant P., Dickman C.R., Green P.T., Keith D.A., Metcalfe D.J., Russell-Smith J., Wardle G.M., Williams D., Bossard K., de Lacey C., Hanigan I., Bull C.M., Gillespie G., Hobbs R.J., Krebs C.J., Likens G.E., Porter J. & Vardon M. 2015. Contemplating the future: acting now on long-term monitoring to answer 2050’s questions. Austral Ecology 40, 213–224, doi: 10.1111/aec.12207. |
| Marchand F.L., Kockelbergh F., van de Vijver B., Beyens L. & Nijs I. 2006. Are heat and cold resistance of Arctic species affected by successive extreme temperature events? New Phytologist 170, 291–300, doi: 10.1111/j.1469-8137.2006.01659.x. |
| Mihoub J.B., Henle K., Titeux N., Brotons L.S., Brummitt N.A. & Schmeller D.S. 2017. Setting temporal baselines for biodiversity: the limits of available monitoring data for capturing the full impact of anthropogenic pressures. Scientific Reports 7, article no. 41591, doi: 10.1038/srep41591. |
| Myers-Smith I.H., Forbes B.C., Wilmking M., Hallinger M., Lantz T., Blok D., Tape K.D., Macias-Fauria M., Sass-Klaassen U., Lévesque E., Boudreau S., Ropars P., Hermanutz L., Trant A., Collier L.S., Weijers S., Rozema J., Rayback S.A., Schmidt N.M., Schaepman-Strub G., Wipf S., Rixen C., Menard C.B., Venn S., Goetz S., Andreu-Hayles L., Elmendorf S., Ravolainen V., Welker J., Grogan P., Epstein H.E. & Hik D.S. 2011. Shrub expansion in tundra ecosystems: dynamics, impacts and research priorities. Environmental Research Letters 6, article no. 045509, doi: 10.1088/1748-9326/6/4/045509. |
| Myers-Smith I.H., Kerby J.T., Phoenix G.K., Bjerke J.W., Epstein H.E., Assmann J.J., John C., Andreu-Hayles L., Angers-Blondin S., Beck P.S.A., Berner L.T., Bhatt U.S., Bjorkman A.D., Blok D., Bryn A., Christiansen C.T., Cornelissen J.H., Cunliffe A.M., Elmendorf S.C., Forbes B.C., Goetz S.J., Hollister R.D., de Jong R., Loranty M.M., Macias-Fauria M., Maseyk K., Normand S., Olofsson J., Parker T.C., Parmentier F.J., Post E., Schaepman-Strub G., Stordal F., Sullivan P.F., Thomas H.J.D., Tømmervik H., Treharne R., Tweedie C.E., Walker D.A., Wilmking M. & Wipf S. 2020. Complexity revealed in the greening of the Arctic. Nature Climate Change 10, 106–117, doi: 10.1038/s41558-019-0688-1. |
| Opala-Owczarek M., Piroznikow E., Owczarek P., Szymanski W., Luks B., Kepski D., Szymanowski M., Wojtun B. & Migala K. 2018. The influence of abiotic factors on the growth of two vascular plant species (Saxifraga oppositifolia and Salix polaris) in the High Arctic. Catena 163, 219–232, doi: 10.1016/j.catena.2017.12.018. |
| Panchen Z.A. 2016. The impact of climate change on flowering and fruiting phenology of Arctic plants in Nunavut, Canada. PhD thesis, Carleton University, Ottawa, doi: 10.22215/etd/2016-11673. |
| Panchen Z.A. 2022. Plant reproductive phenology along an elevation gradient in the extreme environment of the Canadian High-Arctic. Plant Ecology and Diversity 15, 213–226, doi: 10.1080/17550874.2022.2147804. |
| Panchen Z.A., Frei E.R. & Henry G.H.R. 2021. Increased Arctic climate extremes constrain expected higher plant reproductive success in a warmer climate. Arctic Science 8, 680–699, doi: 10.1139/as-2020-0045. |
| Panchen Z.A. & Gorelick R. 2015. Flowering and fruiting responses to climate change of two Arctic plant species, purple saxifrage (Saxifraga oppositifolia) and mountain avens (Dryas integrifolia). Arctic Science 1, 45–58, doi: 10.1139/as-2015-0016. |
| Pattison R.R., Jorgenson J.C., Raynolds M.K. & Welker J.M. 2015. Trends in NDVI and tundra community composition in the Arctic of NE Alaska between 1984 and 2009. Ecosystems 18, 707–719, doi: 10.1007/s10021-015-9858-9. |
| Phoenix G.K. & Bjerke J.W. 2016. Arctic browning: extreme events and trends reversing Arctic greening. Global Change Biology 22, 2960–2962, doi: 10.1111/gcb.13261. |
| Prach K., Košnar J., Klimešová J. & Hais M. 2010. High Arctic vegetation after 70 years: a repeated analysis from Svalbard. Polar Biology, 33, 635–639, doi: 10.1007/s00300-009-0739-6. |
| Rantanen M., Karpechko A.Y., Lipponen A., Nordling K., Hyvärinen O., Ruosteenoja K., Vihma T. & Laaksonen A. 2022. The Arctic has warmed nearly four times faster than the globe since 1979. Communications Earth & Environment 3, 168, doi: 10.1038/s43247-022-00498-3. |
| Robinson S.V.J. & Henry G.H.R. 2018. High Arctic plants show independent responses to pollination and experimental warming. Botany 96, 385–396, doi: 10.1139/cjb-2017-0200. |
| Schaefer J.A. & Messier F. 1994. Composition and spatial structure of plant communities on southeastern Victoria Island, Arctic Canada. Canadian Journal of Botany 72, 1264–1272, doi: 10.1139/b94-154. |
| Schaefer J.A. & Messier F. 1995a. Habitat selection as a hierarchy: the spatial scales of winter foraging by muskoxen. Ecography 18, 333–344, doi: 10.1111/j.1600-0587.1995.tb00136.x. |
| Schaefer J.A. & Messier F. 1995b. Scale-dependent correlations of Arctic vegetation and snow cover. Arctic and Alpine Research 27, 38–43, doi: 10.1080/00040851.1995.12003095. |
| Smith S.L., Chartrand J., Duchesne C. & Ednie M. 2017. Report on 2016 field activities and collection of ground thermal and active layer data in the Mackenzie Corridor, Northwest Territories. Open File 8303. Ottawa: Geological Survey of Canada. |
| Stenström M., Gugerli F. & Henry G.H.R. 1997. Response of Saxifraga oppositifolia L. to simulated climate change at three contrasting latitudes. Global Change Biology 3, 44–54, doi: 10.1111/j.1365-2486.1997.gcb144.x. |
| Tomaselli M., Kutz S., Gerlach C. & Checkley S. 2018. Local knowledge to enhance wildlife population health surveillance: conserving muskoxen and caribou in the Canadian Arctic. Biological Conservation 217, 337–348, doi: 10.1016/j.biocon.2017.11.010. |
| Walker D.A., Raynolds M.K., Daniëls F.J.A., Einarsson E., Elvebakk A., Gould W.A., Katenin A.E., Kholod S.S., Markon C.J., Melnikov E.S., Moskalenko N.G., Talbot S.S., Yurtsev B.A. & the Other Members of the CAVM Team. 2005. The circumpolar Arctic vegetation map. Journal of Vegetation Science 16, 267–282, doi: 10.1111/j.1654-1103.2005.tb02365.x. |
| Walsh J.E., Ballinger T.J., Euskirchen E.S., Hanna E., Mård J., Overland J.E., Tangen H. & Vihma T. 2020. Extreme weather and climate events in northern areas: a review. Earth-Science Reviews 209, 103324, doi: 10.1016/j.earscirev.2020.103324. |
| Zika P.F. 1993. Historical species loss in the alpine zone of Camels-Hump, Vermont. Bulletin of the Torrey Botanical Club 120, 73–75, doi: 10.2307/2996666. |